一、 LNA的核心设计目标与权衡
低噪声系数(NF): 这是LNA的首要任务。它决定了整个接收机系统的噪声基底。NF越小,系统灵敏度越高。
高增益: LNA需要提供足够的增益(通常为15-25dB),以放大微弱的接收信号,并使其远大于后续各级(如混频器)的噪声,从而抑制后级噪声的影响。
良好的线性度 : 用输入三阶交调点(IIP3) 和输入1dB压缩点(P1dB) 来衡量。它决定了LNA处理强干扰信号而不产生严重失真的能力。
输入/输出匹配: 通常要求输入端口良好匹配(如S11 < -10dB),以最大限度地传输信号功率并防止反射。输出端口也需匹配,以驱动后级电路。
稳定性: 在整个工作频带内,放大器必须无条件稳定,不能产生振荡。
核心权衡关系:
噪声与匹配: 最小噪声系数(NFmin)和最大功率传输(共轭匹配)所需的源阻抗通常不一致。
噪声与线性度: 优化噪声系数的偏置点和工作状态,往往与优化线性度的条件相冲突。
增益与线性度/稳定性: 高增益可能导致线性度恶化,并容易引发振荡。
二、 晶体管的选择与偏置
晶体管类型:
GaAs pHEMT: 在毫米波频段和极高频率应用中具有极低的噪声和出色的性能,是高性能LNA的首选。
SiGe HBT: 在低频到中高频段具有良好的噪声和线性度性能,并且易于与CMOS工艺集成。
CMOS: 在现代集成收发机中广泛应用。虽然传统上噪声性能不如III-V族器件,但先进纳米工艺已使其在数十GHz频段表现出色,成本低,集成度高。
偏置设计:
晶体管的偏置点(Ids/Vds for FETs, Ic/Vce for BJTs)对NF、增益和线性度有决定性影响。
存在一个使NF最小 的最佳偏置电流。这个电流通常远小于使增益最大的偏置电流。
偏置网络本身需要使用射频扼流圈(RFC)和旁路电容,以确保在射频通路呈现高阻抗,避免影响射频性能。
三、 噪声分析与阻抗匹配理论
这是LNA设计的核心理论
噪声参数:
一个二端口网络的噪声性能由四个噪声参数完整描述:
最小噪声系数(NFmin)
最佳源反射系数(Γopt): 使NF达到NFmin时信源端的反射系数。
等效噪声电阻(Rn): 描述了当源阻抗偏离Γopt时,NF恶化的速度。
等噪声系数圆:
在史密斯圆图上,可以绘制出等噪声系数圆。这些圆显示了所有能产生特定NF的源阻抗(ΓS)的位置。设计者可以在这些圆上权衡选择ΓS。
同时共轭匹配 vs. 噪声匹配
关键冲突 : 对于大多数晶体管,Γopt 和 Γin(为获得最大增益的匹配点)并不相同。因此,LNA的输入匹配设计是一个权衡过程。
-
功率匹配 : 当
Γin = Γs*且Γout = ΓL*时,实现最大功率传输和最大增益。 -
噪声匹配 : 当
Γs = Γopt时,实现最小噪声系数NFmin。
四、S参数进行****LNA设计
1. S参数的作用:
(1) 稳定性计算;
(2) 最大资用增益计算;
(3) 输入输出阻抗计算;
(4) 最佳源阻抗和负载阻抗;
(5) 转换增益计算;
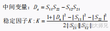
2. 稳定性分析:

如果K>1,则器件对于任何源和负载的组合都是无条件稳定的;如果K<1,则潜在不稳定
K<1的改进方法:
(1)重新选择静态工作点;
(2)更换晶体管;
(3)优化电路设计。
五、S参数设计实例
某BJT晶体管工作于900MHz时,当 静态工作点VCE=10V,IC=10mA时的 S参数为

放大器终端阻抗为50欧姆,设计晶体 管获得最大增益时的输入输出匹配 网络。

六、S参数等增益圆与固定增益设计
**固定增益意义:**对于级联LNA,要求第一级增益为固定值,避免后级出现负载过载,
因此通常要求增益不能为最大增益,而双共轭匹配会使增益过大;
可控的固定增益实现方法:采用选择性失配的的方式控制增益,通过等增益圆进行。
**选择性失配:**增益的大小由匹配 电路决定

等增益圆理论

等增益圆

晶体管工作于250MHz,VCE=5V,IC=5mA,该条件下S参数为 S11=0.277<-59°,S22=0.848<-31°,S12=0.078<93°,S21=1.92<64°,设计要求增益为9dB,源阻抗为Zs=35-j60Ω,负载是ZL=50-j50,稳定因子K>1。

S参数等增益圆电路设计
