深度学习中的两个不确定性
偶然不确定性(Aleatoric Uncertainty,AU)
偶然不确定性又称为数据不确定性 ,是由于观测数据本身的噪声产生的(如人脸图像模糊、标注框边缘不准确、医疗图像采集设备噪声等)。
这类不确定性是数据固有 的特性,即使获取更多的观测样本,也无法降低 。
偶然不确定性通常反映输入数据中难以避免的随机扰动,它会在模型预测结果中累积体现出来。
认知不确定性(Epistemic Uncertainty,EU)
认知不确定性又称为模型不确定性 ,来源于模型结构、参数以及训练数据分布的不完善。
当模型训练数据不足、参数未充分学习或模型结构不合理时,模型对输入样本的预测会产生偏差,从而体现为认知不确定性。
与偶然不确定性不同,认知不确定性是可以通过增加训练样本数量或改进模型结构 而降低的。
例如,当输入样本位于训练数据分布之外(out-of-distribution, OOD)时,模型往往会表现出较高的认知不确定性。
Monte-Carlo Dropout(蒙特卡罗 Dropout)
Monte-Carlo Dropout(简称 MC Dropout)由 Gal 和 Ghahramani 于 2016 年提出,论文为:
Dropout as a Bayesian Approximation: Representing Model Uncertainty in Deep Learning (ICML 2016)
其核心思想是:通过在测试阶段保持 Dropout 激活状态,对同一输入样本进行多次随机前向传播,从而获得多个不同的输出结果。
由于每次 Dropout 的神经元激活不同,相当于从模型参数的分布中进行采样,因此可以近似模拟贝叶斯神经网络的采样过程。
理论原理
对于一个模型的输出结果,我们希望得到其方差来估计模型不确定性(尤其是认知不确定性)。
但由于训练好的模型参数是固定的,单次预测无法计算方差。
若我们能对同一输入样本进行 TTT 次预测,并且每次的预测结果 各不相同,那么就可以计算输出的方差:

其中:

在此过程中,Dropout 起到了近似参数采样的作用。
例如,当 dropout rate = 0.5 时,意味着每个神经元有 50% 的概率被丢弃,这相当于在测试阶段对模型参数进行伯努利分布采样。
因此,通过在测试时保持 Dropout 开启,并进行多次前向传播,我们即可得到模型输出分布的估计,从而估计模型不确定性。
估计不确定性
我们估计不确定性的目的是衡量模型对预测输出的信心程度 。
由于输入数据本身含有偶然不确定性,而模型参数学习不足又带来认知不确定性,因此模型预测输出的不确定性通常是二者的综合反映。
估计的方法可采用 Monte-Carlo Dropout,通过重复预测计算输出分布的均值与方差,进而同时捕获数据噪声与模型参数带来的不确定性。
对于回归问题,不确定性可以用输出值的方差来表示:

其中:

方差越大,说明模型对该样本的预测越不稳定、不自信;方差越小,则说明模型的预测较为确定。
利用不确定性训练模型
估计出模型不确定性后,我们不仅可以将其作为模型置信度的度量指标,还可以在训练过程中利用不确定性信息 ,提高模型的稳健性和泛化能力。
下面分别介绍在回归任务与分类任务中的常见做法。
(1)回归任务中的不确定性建模
在回归问题中,模型通常同时输出目标的均值 与方差:

其中, 为预测均值,
为预测的不确定性(方差)。
基于最大似然推导,可得到以下损失函数:

-
第一项是带权重的均方误差,表示预测与真实值的偏差;
-
第二项为正则化项,防止模型过度放大方差。
直观地看:
-
对高噪声样本(
大),模型降低其权重;
-
对低噪声样本(
小),模型更加信任其标签;
-
因此,模型能自动学习数据中噪声的不确定性结构,提高整体鲁棒性。
该思想来自 Kendall 和 Gal 在 2017 年的论文:
What Uncertainties Do We Need in Bayesian Deep Learning for Computer Vision? (NIPS 2017)
(2)分类任务中的不确定性建模
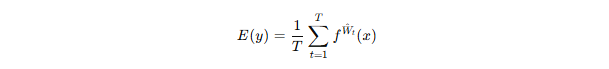
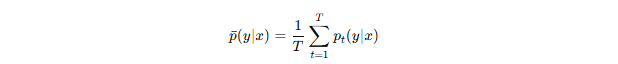
在分类任务中,模型输出类别概率分布 。
若使用 MC Dropout 进行 T 次预测,则可得到 T 个不同的概率分布:

最终平均预测为:

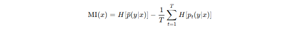
模型的不确定性可用熵(Entropy)表示:

熵值越大,模型越不确定。
此外,可利用**互信息(Mutual Information, MI)**分离认知与偶然不确定性:

其中:
-
:总体预测熵(总不确定性);
-
平均样本熵
:偶然不确定性;
-
两者差值即认知不确定性。
(3)不确定性在半监督与主动学习中的应用
-
半监督学习:利用不确定性筛选高置信度样本生成伪标签,或对高不确定样本施加一致性约束;
-
主动学习:高不确定性样本通常信息量更大,可优先选择进行人工标注;
-
医学影像分析:可生成不确定性热力图,辅助医生评估模型分割结果的可靠性与风险区域。
总结与展望
深度学习中的不确定性主要分为偶然不确定性 和认知不确定性 ,分别对应于数据噪声与模型参数的不确定来源。
通过 Monte-Carlo Dropout 等方法,可以在不改变网络结构的前提下,对模型输出进行多次采样估计,从而量化预测结果的置信度。
不确定性不仅是模型可靠性的重要指标,也可作为训练信号,引导模型关注高置信度区域或自适应调整样本权重。
未来研究中,不确定性估计将在半监督学习、主动学习、医学影像分析以及可信AI系统中发挥越来越重要的作用,为深度学习模型提供更加稳定、透明与可解释的决策依据。