题目:
给定一个二叉树,找出其最小深度。
最小深度是从根节点到最近叶子节点的最短路径上的节点数量。
**说明:**叶子节点是指没有子节点的节点。
示例 1:

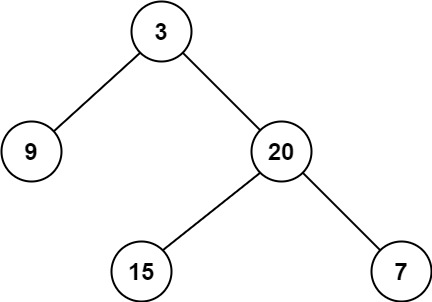
输入:root = [3,9,20,null,null,15,7]
输出:2
示例 2:
输入:root = [2,null,3,null,4,null,5,null,6]
输出:5
提示:
- 树中节点数的范围在
[0, 105]内 -1000 <= Node.val <= 1000
思路:
分类讨论:
1.左右子树都为空 返回1
2.左右子树有一个为空 返回深度(其中一个深度为0)加一
3.左右子树都不为空 返回最小深度加一
代码:
cs
/**
* Definition for a binary tree node.
* struct TreeNode {
* int val;
* struct TreeNode *left;
* struct TreeNode *right;
* };
*/
int minDepth(struct TreeNode* root) {
if(root == NULL){
return 0;
}
// 左右子树都为空 返回1
if(root -> left == NULL && root -> right == NULL){
return 1;
}
int l_depth = minDepth(root -> left);
int r_depth = minDepth(root -> right);
//左右子树有一个为空 返回深度加一(因为其中一个深度为0,可以直接返回l_depth + r_depth + 1)
if(root -> left == NULL || root -> right == NULL){
return l_depth + r_depth + 1;
}
//左右子树都不为空 返回最小深度加一
if(l_depth <= r_depth){
return l_depth + 1;
}
else{
return r_depth + 1;
}
}
总结:
注:最小深度是从根节点到最近叶子节点的最短路径上的节点数量,所以要考虑左右子树有一个为空的情况,不能直接返回0;