CAS号:868141-12-2,UDP-6-N3-Galactose ,分子特点
化学名称:UDP-6-azido-galactose(UDP-6-N₃-Galactose)
CAS 号:868141-12-2
分子式:C₁₇H₂₄N₇O₁₆P₂
分子量:约 605.3 g/mol
性状:白色至淡黄色固体粉末,可溶于水,极少溶于有机溶剂。
储存条件:‑20 °C 避光干燥保存,以维持化学稳定性。

用途简介:UDP-6-N3-Galactose 是一种含叠氮(azide, N₃)修饰的活性糖核苷酸衍生物。其主要功能是作为糖转移酶底物,参与体外或体内糖基化反应,可将带有叠氮基的半乳糖单元转移到多糖、蛋白质或脂质上,实现化学标记。叠氮基的存在使得糖链在后续可以通过生物正交"点击"反应与荧光染料、亲和标签或其他功能分子共轭,从而用于糖组学研究、细胞表面标记及分子探针构建。
功能特点:
活性底物:UDP-6-N3-Galactose 可被多种 β-半乳糖转移酶(β-GalT)识别,用于催化糖基化反应。
叠氮功能化:6 位羟基被叠氮取代,不干扰转移酶识别,同时提供了可用于 SPAAC 或 CuAAC 点击化学的功能位点。
水溶性良好:可直接在生物缓冲液中使用,适合体外糖基化反应或细胞标记。
可用于标记:可与 DBCO-或环炔衍生荧光染料、亲和标签等反应,实现糖链可视化或功能化。
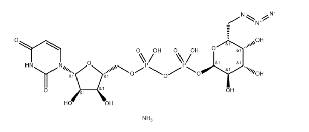
化学结构及特点
UDP-6-N3-Galactose 是由三部分组成的分子:
尿苷二磷酸(UDP):由尿嘧啶核苷(uridine)和两个磷酸基组成,为糖转移酶识别的活性核心。
半乳糖(Galactose):β-D-半乳糖结构,原 6 位羟基被叠氮基(N₃)取代。
叠氮修饰(6-N3):在半乳糖 C6 位引入叠氮基,为后续点击化学提供功能性"手柄"。
化学结构说明(文字版)
尿苷部分:
嘌呤环由碱基尿嘧啶构成,附着在 C1' 的核糖上,核糖为五碳糖,C2' 和 C3' 带羟基,C5' 连接磷酸二酯。
磷酸二酯链:
C5' 上连接的磷酸基通过磷酸二酯键与半乳糖 1' 碳相连,形成活性 UDP 连接。
半乳糖部分:
β-D-半乳糖环形结构,C1 连接 UDP,C2-C5 保持原羟基,C6 原羟基被 N₃ 取代。
叠氮功能位:
C6 位上的叠氮基是小而稳定的功能团,可与环炔或炔基衍生物进行快速、高选择性的 SPAAC(无铜点击)或 CuAAC(铜催化点击)反应。
分子特点
分子量较大(约 605 Da),极性高,水溶性好。
叠氮基稳定,但应避光及避免高温和强还原剂,以防分解。
能作为底物参与糖基化反应,同时为糖链修饰提供化学手段。
结构中含有多个氢键供体和受体,利于溶解于水及与蛋白酶结合。
应用示例
糖基化标记:在体外或体内,UDP-6-N3-Galactose 可被 β-半乳糖转移酶催化,将叠氮半乳糖转移至糖链、蛋白或脂质上。
荧光标记:通过 SPAAC 或 CuAAC 与 DBCO-FITC、DBCO-Cy3 等荧光探针偶联,实现糖链可视化。
生物正交功能化:叠氮基可与生物正交反应试剂结合,用于糖组学研究、细胞表面标记、受体追踪等。
糖代谢研究:可用作代谢标记前体,追踪细胞内半乳糖利用路径及糖链修饰动态。
总结来说,UDP-6-N3-Galactose(CAS 868141-12-2)是一种功能化的活性糖核苷酸,结合了糖转移底物和可点击化学叠氮基的双重特性,适合用于现代糖组学、细胞标记及化学生物学研究中。其结构中 UDP 提供酶识别,半乳糖环提供核心糖结构,C6 叠氮位提供后续功能化手段,使其成为生物正交标记领域的重要工具。