关键词解释:动量梯度下降(Momentum Gradient Descent)
💡 动量法通过引入"惯性"机制,显著提升梯度下降的收敛速度与稳定性。
✅ 一、为什么需要动量?
标准梯度下降在遇到以下情况时表现不佳:
- 损失函数存在狭窄山谷 → 参数更新左右震荡;
- 梯度噪声大 → 路径杂乱;
- 局部极小值/鞍点 → 容易卡住。
动量法的核心思想:
让参数更新不仅依赖当前梯度,还继承历史梯度的方向,就像一辆有质量的车------转弯更稳,下坡更快。
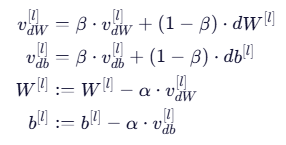
✅ 二、数学原理
动量梯度下降使用指数加权平均来平滑梯度:

其中:
:动量系数(通常取 0.9);
:学习率;
:速度(velocity),即梯度的历史加权平均。
📌 注:此处未使用偏差修正(bias correction),这是经典 Momentum 的常见做法。若需修正,可在初期除以
。
✅ 三、代码实现详解
3.1 初始化速度字典
def initialize_velocity(parameters):
L = len(parameters) // 2 # 网络层数
v = {}
for l in range(L):
v["dW" + str(l + 1)] = np.zeros_like(parameters["W" + str(l + 1)])
v["db" + str(l + 1)] = np.zeros_like(parameters["b" + str(l + 1)])
return v
✅ 作用:为每一层的权重和偏置初始化速度为零向量。
3.2 动量参数更新
def update_parameters_with_momentum(parameters, grads, v, beta, learning_rate):
L = len(parameters) // 2
for l in range(L):
# 更新速度(指数加权平均)
v["dW" + str(l + 1)] = beta * v["dW" + str(l + 1)] + (1 - beta) * grads["dW" + str(l + 1)]
v["db" + str(l + 1)] = beta * v["db" + str(l + 1)] + (1 - beta) * grads["db" + str(l + 1)]
# 使用速度更新参数
parameters["W" + str(l + 1)] -= learning_rate * v["dW" + str(l + 1)]
parameters["b" + str(l + 1)] -= learning_rate * v["db" + str(l + 1)]
return parameters, v
✅ 关键点:
- 先更新速度
v;- 再用
v更新参数;W对应dW,b对应db------ 一一对应,不可混淆。
✅ 四、测试与验证
parameters, grads, v = update_parameters_with_momentum_test_case()
parameters, v = update_parameters_with_momentum(
parameters, grads, v, beta=0.9, learning_rate=0.01
)
print("W1 =", parameters["W1"])
print("b1 =", parameters["b1"])
print("W2 =", parameters["W2"])
print("b2 =", parameters["b2"])
print("v['dW1'] =", v["dW1"])
print("v['db1'] =", v["db1"])
print("v['dW2'] =", v["dW2"])
print("v['db2'] =", v["db2"])
✅ 预期行为:
W1是矩阵(如(2, 2));b1是向量(如(1, 2));v["dW1"]与grads["dW1"]同维;- 所有值均为合理浮点数,无
nan或异常。
✅ 五、超参数建议
| 超参数 | 推荐值 | 说明 |
|---|---|---|
| β(beta) | 0.9 | 表示保留 90% 的历史梯度方向 |
| 学习率 α | 0.001 ~ 0.01 | 可配合学习率衰减使用 |
| 是否用偏差修正 | 否(经典 Momentum) | Adam 才常用修正 |
💡 经验法则 :
若训练初期 loss 下降缓慢,可尝试增大 β(如 0.95);
若震荡严重,可减小 β(如 0.8)。
✅ 六、动量 vs 标准 GD 对比
| 特性 | 标准梯度下降 | 动量梯度下降 |
|---|---|---|
| 收敛速度 | 慢 | 快 |
| 路径稳定性 | 震荡大 | 平滑 |
| 抗噪声能力 | 弱 | 强 |
| 实现复杂度 | 简单 | 略高(需维护 v) |
🌟 适用场景 :
几乎所有现代深度学习任务都推荐使用动量或其变体(如 Adam)。
✅ 七、总结
动量梯度下降 = 历史智慧 + 当前信息
它让优化过程不再"盲目跳跃",而是"带着记忆前行"。