技术栈
线性代数&【第三章:矩阵的逆】
狂野有理
2025-12-01 10:08
第三章:矩阵的逆
核心知识点讲解
1. 逆矩阵的存在性与唯一性
2. 逆矩阵的性质
3. 求解逆矩阵的方法
4. 逆矩阵的应用
二、典型例题与详解
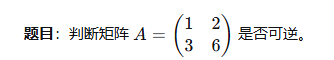
【例题1】:判断矩阵是否可逆
【例题2】:高斯若尔当法求逆矩阵
【例题3】:利用逆矩阵解线性方程组
【例题4】:逆矩阵的性质应用
第三章总结
线性代数
矩阵
上一篇:
Laravel学习-01预备阶段-02 Composer
下一篇:
逆向Sora 的 Web 接口包装成了标准的 OpenAI API 格式-系统架构
相关推荐
zd845101500
39 分钟前
51单片机-矩阵按键程序代码
矩阵
·
51单片机
nihao561
13 小时前
机器学习:阈值与混淆矩阵
人工智能
·
机器学习
·
矩阵
6Hzlia
17 小时前
【Hot 100 刷题计划】 LeetCode 74. 搜索二维矩阵 | C++ 二分查找 (一维展开法)
c++
·
leetcode
·
矩阵
跨境麦香鱼
17 小时前
2026 Pinterest账号运营攻略:多开养号与矩阵引流实战
大数据
·
人工智能
·
矩阵
AI科技星
18 小时前
基于四维速率恒为c公设的北斗GEO卫星昼夜钟差模型修正与实测验证
开发语言
·
人工智能
·
线性代数
·
算法
·
数学建模
6Hzlia
19 小时前
【Hot 100 刷题计划】 LeetCode 240. 搜索二维矩阵 II | C++ 巧妙利用单调性 (BST 法)
c++
·
leetcode
·
矩阵
Jasmine_llq
2 天前
《B3865 [GESP202309 二级] 小杨的 X 字矩阵》
线性代数
·
矩阵
·
条件判断算法
·
枚举算法(遍历算法)
·
规律模拟算法
杰杰桀桀桀
2 天前
4*4无时延矩阵键盘(非阻塞)--附代码链接
stm32
·
单片机
·
嵌入式硬件
·
矩阵
·
计算机外设
·
无时延矩阵键盘
阿Y加油吧
2 天前
二分查找进阶:搜索二维矩阵 & 查找元素首尾位置 深度解析
线性代数
·
算法
·
矩阵
songyuc
2 天前
【矩阵论】关于rank的几何解释:“观测者维度”
人工智能
·
矩阵
热门推荐
01
GitHub 镜像站点
02
一周AI热点速览(2026.03.31-04.06):GPT-6曝光、谷歌开源Gemma 4、资本狂飙与模型军备竞赛
03
OpenClaw 请求超时 llm request timed out 怎么解决?3 种方案实测,附完整排查流程
04
AI 编程效率翻倍:Superpowers Skills 上手清单 + 完整指南
05
MySQL表约束详解:8大核心约束实战指南
06
实测!Gemma 4 成功跑在安卓手机上:离线 AI 助手终于来了
07
Oh My Codex 快速使用指南
08
VMware Workstation Pro 17 虚拟机完整安装教程(2026最新)
09
CodeBuddy与WorkBuddy深度对比:腾讯两款AI工具差异及实操指南
10
UV安装并设置国内源