技术栈
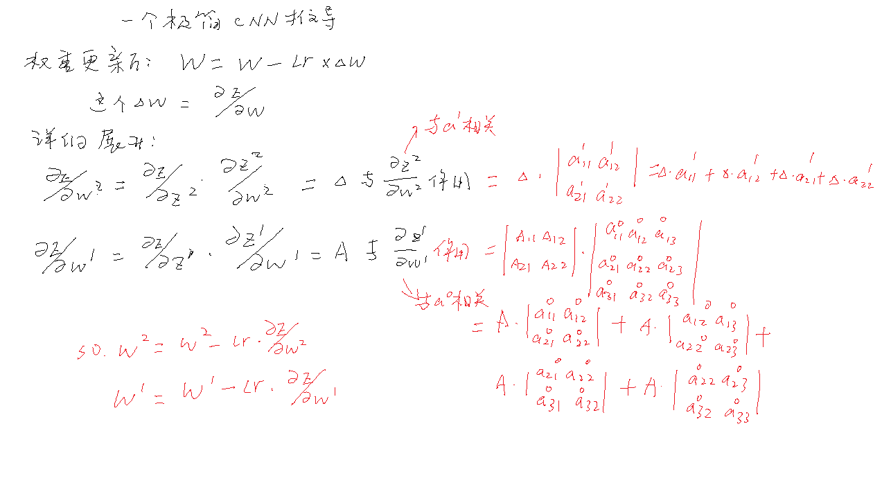
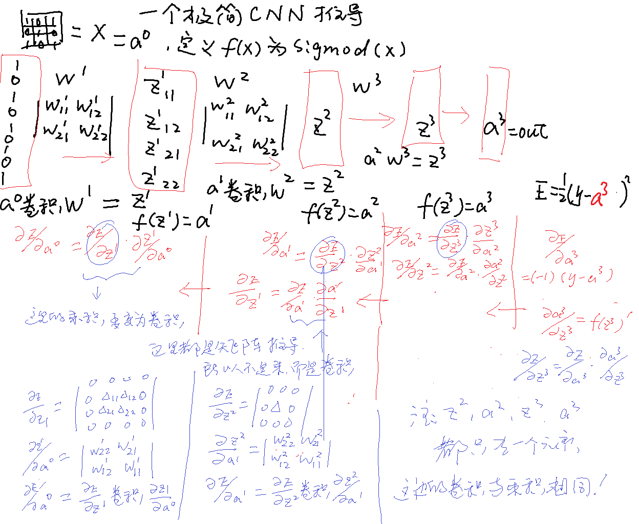
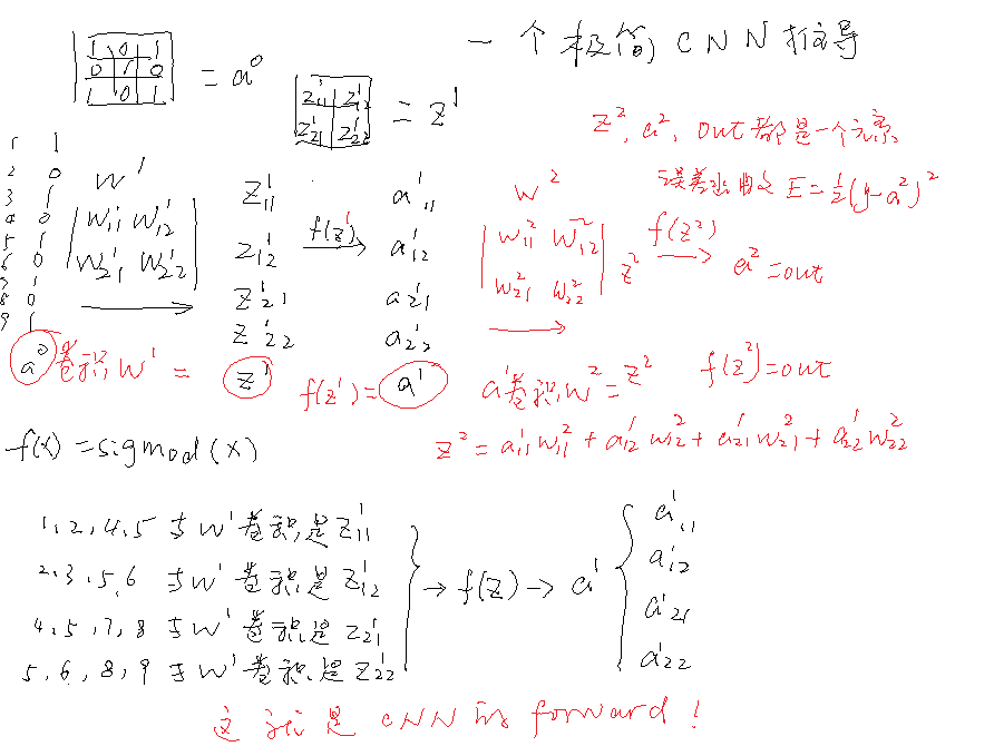
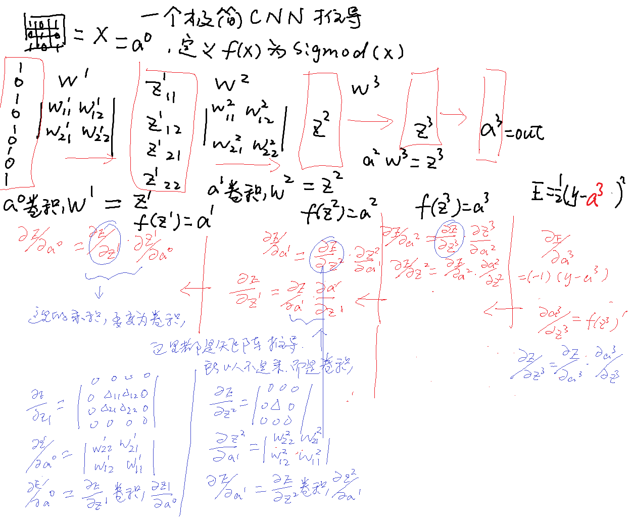
一个极简cnn推导
工业机器视觉设计和实现
2025-12-09 9:46
至于为什么反向传播卷积核翻转180度,网络上有很多介绍,这里就省略了。
忘了,权重更新,补上:
最后,就是w=w-lr*
,更新权重
20251209,补充,继续简化:
人工智能
上一篇:
U盘被分区了如何恢复里面的文件?
下一篇:
开放主机网口给路由器共享网络
相关推荐
晚霞的不甘
13 小时前
CANN 编译器深度解析:TBE 自定义算子开发实战
人工智能
·
架构
·
开源
·
音视频
愚公搬代码
13 小时前
【愚公系列】《AI短视频创作一本通》016-AI短视频的生成(AI短视频运镜方法)
人工智能
·
音视频
哈__
13 小时前
CANN内存管理与资源优化
人工智能
·
pytorch
极新
13 小时前
智启新篇,智创未来,“2026智造新IP:AI驱动品牌增长新周期”峰会暨北京电子商务协会第五届第三次会员代表大会成功举办
人工智能
·
网络协议
·
tcp/ip
island1314
13 小时前
CANN GE(图引擎)深度解析:计算图优化管线、内存静态规划与异构任务的 Stream 调度机制
开发语言
·
人工智能
·
深度学习
·
神经网络
艾莉丝努力练剑
13 小时前
深度学习视觉任务:如何基于ops-cv定制图像预处理流程
人工智能
·
深度学习
禁默
13 小时前
大模型推理的“氮气加速系统”:全景解读 Ascend Transformer Boost (ATB)
人工智能
·
深度学习
·
transformer
·
cann
User_芊芊君子
13 小时前
CANN大模型加速核心ops-transformer全面解析:Transformer架构算子的高性能实现与优化
人工智能
·
深度学习
·
transformer
格林威
13 小时前
Baumer相机玻璃制品裂纹自动检测:提高透明材质检测精度的 6 个关键步骤,附 OpenCV+Halcon 实战代码!
人工智能
·
opencv
·
视觉检测
·
材质
·
工业相机
·
sdk开发
·
堡盟相机
点云SLAM
13 小时前
Concentrate 英文单词学习
人工智能
·
英文单词学习
·
雅思备考
·
concentrate
·
集中
·
浓缩 / 集中物
热门推荐
01
GitHub 镜像站点
02
Claude Code + GLM4.7 避坑指南:解决 Unable to connect to Anthropic services
03
OpenClaw Chrome扩展使用教程 - 浏览器中继控制
04
Linux下V2Ray安装配置指南
05
使用 1panel面板 部署 php网站
06
UV安装并设置国内源
07
openclaw配置教程(linux+局域网ollama)
08
从零搭建一个 PHP 登录注册系统(含完整源码)
09
Vue-skills的中文文档
10
Claude Code Skills 实用使用手册