🌈个人主页: 秦jh__https://blog.csdn.net/qinjh_?spm=1010.2135.3001.5343
🔥 系列专栏: https://blog.csdn.net/qinjh_/category_13030435.html

目录
[通过 Qt Creator 生成信号槽代码](#通过 Qt Creator 生成信号槽代码)
[使用 Lambda 表达式定义槽函数](#使用 Lambda 表达式定义槽函数)
前言
💬 hello! 各位铁子们大家好哇。
今日更新了qt信号与槽的内容
🎉 欢迎大家关注🔍点赞👍收藏⭐️留言📝
信号和槽概述
在 Qt 中,用户和控件的每次交互过程称为一个事件。比如 "用户点击按钮" 是一个事件,"用户关 闭窗口" 也是一个事件。每个事件都会发出一个信号,例如用户点击按钮会发出 "按钮被点击" 的信 号,用户关闭窗口会发出 "窗口被关闭" 的信号。
Qt 中的所有控件都具有接收信号的能力,一个控件还可以接收多个不同的信号。对于接收到的每 个信号,控件都会做出相应的响应动作。例如,按钮所在的窗口接收到 "按钮被点击" 的信号后,会做 出 "关闭自己" 的响应动作;再比如输入框自己接收到 "输入框被点击" 的信号后,会做出 "显示闪烁的 光标,等待用户输入数据" 的响应动作。在 Qt 中,对信号做出的响应动作就称之为槽。
信号和槽是 Qt 特有的消息传输机制,它能将相互独立的控件关联起来。比如,"按钮" 和 "窗口" 本身是两个独立的控件,点击 "按钮" 并不会对 "窗口" 造成任何影响。通过信号和槽机制,可以将 "按 钮" 和 "窗口" 关联起来,实现 "点击按钮会使窗口关闭" 的效果。

信号的本质
信号是由于用户对窗口或控件进行了某些操作,导致窗口或控件产生了某个特定事件,这时 Qt 对 应的窗口类会发出某个信号,以此对用户的操作做出反应。因此,信号的本质就是事件。
那么在 Qt 中信号是通过什么形式呈现给使用者的呢?
信号的呈现形式就是函数, 也就是说某个事件产生了, Qt 框架就会调用某个对应的信号函数, 通 知使用者
在 Qt 中信号的发出者是某个实例化的类对象。
槽的本质
槽(Slot)就是对信号响应的函数。槽就是一个函数,与一般的 C++ 函数是一样的,可以定义在 类的任何位置( public、protected 或 private ),可以具有任何参数,可以被重载,也可以被直接调 用(但是不能有默认参数)。槽函数与一般的函数不同的是:槽函数可以与一个信号关联,当信号被 发射时,关联的槽函数被自动执行。
说明
- 信号和槽机制底层是通过函数间的相互调用实现的。每个信号都可以用函数来表示,称为信号函 数;每个槽也可以用函数表示,称为槽函数。例如: "按钮被按下" 这个信号可以用 clicked() 函数表 示,"窗口关闭" 这个槽可以用 close() 函数表示,假如使用信号和槽机制实现:"点击按钮会关闭窗口" 的功能,其实就是 clicked() 函数调用 close() 函数的效果。
- 信号函数和槽函数通常位于某个类中,和普通的成员函数相比,它们的特别之处在于:
- 信号函数用 signals 关键字修饰,槽函数用 public slots、protected slots 或者 private slots 修 饰。signals 和 slots 是 Qt 在 C++ 的基础上扩展的关键字,专门用来指明信号函数和槽函数;
- 信号函数只需要声明,不需要定义(实现),而槽函数需要定义(实现)。
信号函数的定义是 Qt 自动在编译程序之前生成的. 编写 Qt 应用程序的程序猿无需关注.
这种自动生成代码的机制称为 元编程 (Meta Programming) . 这种操作在很多场景中都能见 到.
信号和槽的使用
连接信号和槽
在 Qt 中,QObject 类提供了一个静态成员函数 connect() ,该函数专门用来关联指定的信号函数和槽 函数。
QObject 是 Qt 内置的父类. Qt 中提供的很多类都是直接或者间接继承自 QObject.
connect() 函数原型:

参数说明:
- sender:信号的发送者;
- signal:发送的信号(信号函数);
- receiver:信号的接收者;
- method:接收信号的槽函数;
- type: 用于指定关联方式,默认的关联方式为 Qt::AutoConnection,通常不需要手动设定。
代码示例: 在窗口中设置一个按钮,当点击 "按钮" 时关闭 "窗口" .

click是一个slot函数,作用就是在调用的时候相当于点击了一下按钮。
clicked(过去分词形式,完事了,点完了),才是要触发的点击信号

查看内置信号和槽
系统自带的信号和槽通常是通过 "Qt 帮助文档" 来查询。
如上述示例,要查询 "按钮" 的信号,在帮助文档中输入:QPushButton,
- 首先可以在 "Contents" 中寻找关键字 signals,
- 如果没有找到, 继续去父类中查找. 因此我们去他的父类 QAbstractButton 中继续查找关键字 signals,

这里的 clicked() 就是要找的信号。槽函数的寻找方式和信号一样,只不过它的关键字是 slot 。
通过 Qt Creator 生成信号槽代码
1.新建项目,如下图为新建完成之后所包含的所有文件;
2、双击 widget.ui 文件,进入 UI 设计界面;
3、在 UI 设计窗口中拖入一个 "按钮" ,并且修改 "按钮" 的名称及字体大小等;

4.可视化生成槽函数;

当单击 "转到槽..." 之后,出现如下界面:对于按钮来说,当点击时发送的信号是:clicked(),所以此 处选择:clicked()

对于普通按钮来说, 使用 clicked 信号即可. clicked(bool) 没有意义的. 具有特殊状态的按 钮(比如复选按钮)才会用到 clicked(bool) .
5、自动生成槽函数原型框架
(1)在 "widget.h" 头文件中自动添加槽函数的声明;

说明:
自动生成槽函数的名称有一定的规则。槽函数的命名规则为:on_XXX_SSS,其中:
1、以 " on " 开头,中间使用下划线连接起来;
2、" XXX " 表示的是对象名(控件的 objectName 属性)。
3、" SSS " 表示的是对应的信号。
如:" on_pushButton_clicked() " ,pushButton 代表的是对象名,clicked 是对应的信号。
按照这种命名风格定义的槽函数, 就会被 Qt 自动的和对应的信号进行连接.
(2)在 "widget.cpp" 中自动生成槽函数定义.

6、在槽函数函数定义中添加要实现的功能. 实现关闭窗口的效果.

自定义信号和槽
基本语法
在 Qt 中,允许自定义信号的发送方以及接收方,即可以自定义信号函数和槽函数。但是对于自定义的 信号函数和槽函数有一定的书写规范。
1、自定义信号函数书写规范
- 自定义信号函数必须写到 "signals" 下;
- 返回值为 void,只需要声明,不需要实现;
- 可以有参数,也可以发生重载;
2、自定义槽函数书写规范
- 早期的 Qt 版本要求槽函数必须写到 "public slots" 下,但是现在高级版本的 Qt 允许写到类的 "public" 作用域中或者全局下;
- 返回值为 void,需要声明,也需要实现;
- 可以有参数,可以发生重载;
3、发送信号
使用 "emit" 关键字发送信号 。"emit" 是一个空的宏。"emit" 其实是可选的,没有什么含义,只 是为了提醒开发人员。
示例:


运行结果如下:
还可以:


运行结果如下:
只有点击按钮的时候,才会发送信号
带参数的信号和槽
Qt 的信号和槽也支持带有参数, 同时也可以支持重载.
此处我们要求, 信号函数的参数列表要和对应连接的槽函数参数列表一致.
此时信号触发, 调用到槽函数的时候, 信号函数中的实参就能够被传递到槽函数的形参当中.
通过这样的机制, 就可以让信号给槽传递数据了
其实信号的参数个数可以多于槽函数的参数个数,但是槽的参数个数不能多于信号参数个数.
但是实际开发中最好还是保持参数个数也能匹配一致.
示例:


运行结果:
按下按钮后,就发送信号,把参数传了过去。
传参可以起到复用代码的效果:


再添加一个按钮,运行:
这样我们点击哪个按钮,就会实现哪个功能。
通过这一套信号槽,搭配不同参数,就可以起到设置不同标题的效果。

Qt中如果要让某个类能够使用信号槽,就必须要在类最开始的地方,写下Q_OBJECT宏。这是硬性规定。这个宏能展开很多代码,涉及到qt内部原理,这里不深入研究。
信号与槽的连接方式
一对一
主要有两种形式,分别是:一个信号连接一个槽 和 一个信号连接一个信号。
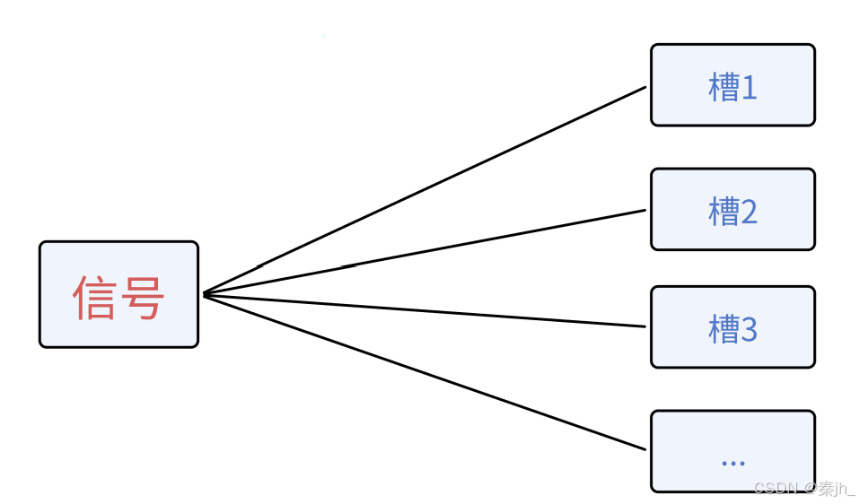
一对多
一个信号连接多个槽

多对一

示例:


不同的信号可以链接同一个槽,同一个槽也可以被不同的信号链接。
信号和槽的其他说明
信号与槽的断开
使用 disconnect 即可完成断开
disconnect 的用法和 connect 基本一致.
示例:



运行结果如下:
开始时,点击第一个按钮,就修改窗口标题,然后打印handleclick。接着点击按钮2来切换槽函数,再点击按钮1,窗口标题内容就变了,打印了handleclick2.
使用 Lambda 表达式定义槽函数
Qt5 在 Qt4 的基础上提高了信号与槽的灵活性,允许使用任意函数作为槽函数。
但如果想方便的编写槽函数,比如在编写函数时连函数名都不想定义,则可以通过 Lambda表达式 来 达到这个目的。
Lambda表达式 是 C++11 增加的特性。C++11 中的 Lambda表达式 用于定义并创建匿名的函数对 象,以简化编程工作。
Lambda表达式 的语法格式如下:

说明:

1、局部变量引入方式 [ ]
\] : 标识一个 Lambda表达式 的开始。不可省略。  **说明:** * 由于使用引用方式捕获对象会有局部变量释放了而Lambda函数还没有被调用的情况。如果执行 Lambda函数,那么引用传递方式捕获进来的局部变量的值不可预知。所以绝大多数场合使用的形 式为: \[=\] () { } * 早期版本的 Qt,若要使用Lambda表达式,要在 ".pro" 文件中添加: CONFIG += C++11 因为 Lambda表达式 是 C++11 标准提出的。Qt5 以上的版本无需手动添加,在新建项目时会自动 添加。  示例:  > 按下按钮后会打印日志。  > 如果想使用button这个变量,必须先捕获,因为它是在外面定义的。 #### 信号与槽的优缺点 **优点: 松散耦合** 信号发送者不需要知道发出的信号被哪个对象的槽函数接收,槽函数也不需要知道哪些信号关联了自 己,Qt的信号槽机制保证了信号与槽函数的调用。支持信号槽机制的类或者父类必须继承于 QObject 类。 **缺点: 效率较低** 与回调函数相比,信号和槽稍微慢一些,因为它们提供了更高的灵活性,尽管在实际应用程序中差别 不大。通过信号调用的槽函数比直接调用的速度慢约10倍(这是定位信号的接收对象所需的开销;遍 历所有关联;编组/解组传递的参数;多线程时,信号可能需要排队),这种调用速度对性能要求不是 非常高的场景是可以忽略的,是可以满足绝大部分场景。


按下按钮后,就发送信号,把参数传了过去。



