PEM/AEM燃料电池模型,耦合多孔介质流动物理场,可以分析多孔介质孔隙率,渗透率等因素对极化曲线,水活度分布的影响。

最近在研究PEM/AEM燃料电池模型,发现耦合多孔介质流动物理场真是个有意思的活儿。这玩意儿不仅能分析多孔介质的孔隙率和渗透率,还能看看这些因素对极化曲线和水活度分布的影响。今天就来聊聊这个,顺便写点代码,看看能不能搞出点有意思的结果。

首先,我们得有个模型。假设我们已经在COMSOL里建好了一个基本的PEM/AEM燃料电池模型。接下来,我们要做的就是耦合多孔介质流动物理场。这个物理场主要用来描述气体在多孔介质中的流动和扩散。我们可以通过修改孔隙率和渗透率来观察它们对电池性能的影响。
python
import comsol
model = comsol.Model('PEM_AEM_Fuel_Cell')
# 添加多孔介质流动物理场
porous_flow = model.add_physics('PorousFlow')
# 设置孔隙率和渗透率
porous_flow.set_parameter('porosity', 0.5)
porous_flow.set_parameter('permeability', 1e-12)
# 运行模型
model.run()
这段代码很简单,就是创建了一个模型,然后添加了多孔介质流动物理场,并设置了孔隙率和渗透率。运行模型后,我们可以得到一些基本的结果。

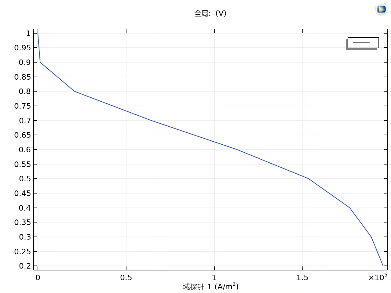
接下来,我们来看看这些参数对极化曲线的影响。极化曲线是燃料电池性能的一个重要指标,它描述了电池电压随电流密度的变化。我们可以通过改变孔隙率和渗透率,来观察极化曲线的变化。
python
import matplotlib.pyplot as plt
# 获取极化曲线数据
voltage = model.get_result('voltage')
current_density = model.get_result('current_density')
# 绘制极化曲线
plt.plot(current_density, voltage, label='Porosity=0.5, Permeability=1e-12')
plt.xlabel('Current Density (A/cm²)')
plt.ylabel('Voltage (V)')
plt.legend()
plt.show()
这段代码获取了模型运行后的电压和电流密度数据,并绘制了极化曲线。通过改变孔隙率和渗透率,我们可以得到不同的极化曲线,从而分析这些参数对电池性能的影响。

最后,我们来看看水活度分布。水活度是燃料电池中水分含量的一个重要指标,它影响着电池的性能和寿命。我们可以通过模型得到水活度的分布情况,并分析孔隙率和渗透率对它的影响。
python
# 获取水活度分布数据
water_activity = model.get_result('water_activity')
# 绘制水活度分布
plt.imshow(water_activity, cmap='viridis')
plt.colorbar(label='Water Activity')
plt.show()
这段代码获取了水活度分布数据,并用热图的形式展示出来。通过观察不同孔隙率和渗透率下的水活度分布,我们可以更好地理解这些参数对电池内部水分分布的影响。
总的来说,耦合多孔介质流动物理场是个挺有意思的研究方向。通过调整孔隙率和渗透率,我们可以深入分析这些参数对燃料电池性能的影响。希望今天的分享能给你带来一些启发,也欢迎大家一起讨论和探索。