技术栈
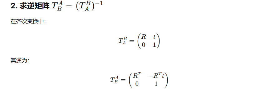
齐次变换矩阵运算
来点光吧
2025-12-13 12:48
例子,
线性代数
矩阵
上一篇:
单例模式-创建型
下一篇:
VPP中ACL实战配置指南与VPP的API使用初探
相关推荐
superior tigre
3 小时前
NumPy 基础使用方法(基础+矩阵运算+Attention)
线性代数
·
矩阵
·
numpy
计算机安禾
6 小时前
【数据结构与算法】第38篇:图论(二):深度优先搜索(DFS)与广度优先搜索(BFS)
数据结构
·
算法
·
矩阵
·
排序算法
·
深度优先
·
图论
·
宽度优先
AI科技星
7 小时前
全维度相对论推导、光速螺旋时空与北斗 GEO 钟差的统一理论
开发语言
·
线性代数
·
算法
·
机器学习
·
数学建模
_日拱一卒
8 小时前
LeetCode:矩阵置零
java
·
数据结构
·
线性代数
·
算法
·
leetcode
·
职场和发展
·
矩阵
学习永无止境@
9 小时前
MATLAB中矩阵转置
算法
·
matlab
·
fpga开发
·
矩阵
汀、人工智能
9 小时前
[特殊字符] 第106课:旋转图像
数据结构
·
算法
·
矩阵
·
数据库架构
·
数组
·
旋转图像
zd845101500
10 小时前
51单片机-矩阵按键程序代码
矩阵
·
51单片机
nihao561
1 天前
机器学习:阈值与混淆矩阵
人工智能
·
机器学习
·
矩阵
6Hzlia
1 天前
【Hot 100 刷题计划】 LeetCode 74. 搜索二维矩阵 | C++ 二分查找 (一维展开法)
c++
·
leetcode
·
矩阵
跨境麦香鱼
1 天前
2026 Pinterest账号运营攻略:多开养号与矩阵引流实战
大数据
·
人工智能
·
矩阵
热门推荐
01
GitHub 镜像站点
02
一周AI热点速览(2026.03.31-04.06):GPT-6曝光、谷歌开源Gemma 4、资本狂飙与模型军备竞赛
03
OpenClaw 请求超时 llm request timed out 怎么解决?3 种方案实测,附完整排查流程
04
AI 编程效率翻倍:Superpowers Skills 上手清单 + 完整指南
05
【STM32】HAL库 CubeMX 教程 --- 通用定时器 TIM2 定时
06
VMware Workstation Pro 17 虚拟机完整安装教程(2026最新)
07
Oh My Codex 快速使用指南
08
实测!Gemma 4 成功跑在安卓手机上:离线 AI 助手终于来了
09
CodeBuddy与WorkBuddy深度对比:腾讯两款AI工具差异及实操指南
10
UV安装并设置国内源