常见进制介绍以及之间的转换
1.表示
一般情况下,在数字后面用特点的字母(下标)表示该数的进制 二进制;B 十进制:D(可以省略O) 八进制:O 十六进制:H 同时也可以用数字后面加进制来表示。

2.限制
十进制的每位数字的范围:0~9 二进制的每位数字的范围:0~1 八进制的每位数字的范围:0~7 十六进制的每位数字的范围:0~F(f)
3.转换
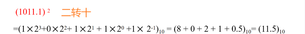
其他进制数转十进制数
其他进制数按位权展开,然后各项相加。 例如:

一般情况下,在数字后面用特点的字母(下标)表示该数的进制 二进制;B 十进制:D(可以省略O) 八进制:O 十六进制:H 同时也可以用数字后面加进制来表示。

十进制的每位数字的范围:0~9 二进制的每位数字的范围:0~1 八进制的每位数字的范围:0~7 十六进制的每位数字的范围:0~F(f)
其他进制数按位权展开,然后各项相加。 例如:
