平衡因子
(左子树高度 - 右子树高度)的绝对值 <= 1
旋转操作
左旋:向左旋转,冲突的左孩变右孩


冲突的左孩变成了右孩,两个中序遍历是一致的,说明它俩是等价的。
右旋:向右旋转,重推的右孩变左孩


冲突的右孩变左孩
什么时候左旋,什么时候右旋
LL型
失衡节点:平衡因子 = 2
失衡节点左孩子:平衡因子 = 1
向右旋转,冲突的右孩变左孩

RR型
失衡节点:平衡因子 = -2
失衡节点左孩子:平衡因子 = -1
向右旋转,冲突的左孩变右孩

LR型
失衡节点:平衡因子 = 2
失衡节点左孩子:平衡因子 = -1
左旋左孩子,然后右旋

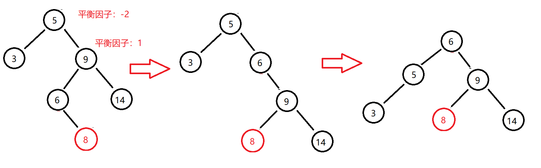
RL型
失衡节点:平衡因子 = -2
失衡节点左孩子:平衡因子 = 1
右旋右孩子,然后左旋

平衡二叉树插入

插入节点后如果导致多个祖先节点失衡,只需调整距离插入节点最近的失衡节点,其它失衡点会自然平衡