技术栈
数学分析简明教程——6.3
shenghaide_jiahu
2025-12-16 11:09
1.
补充:
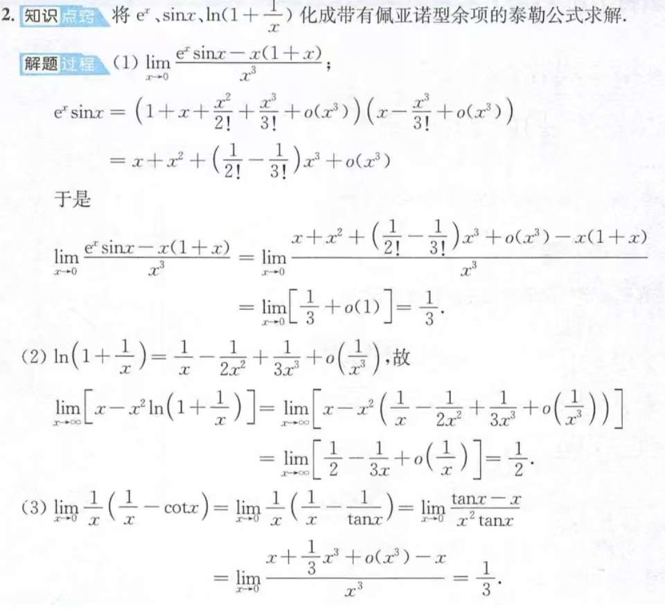
2.
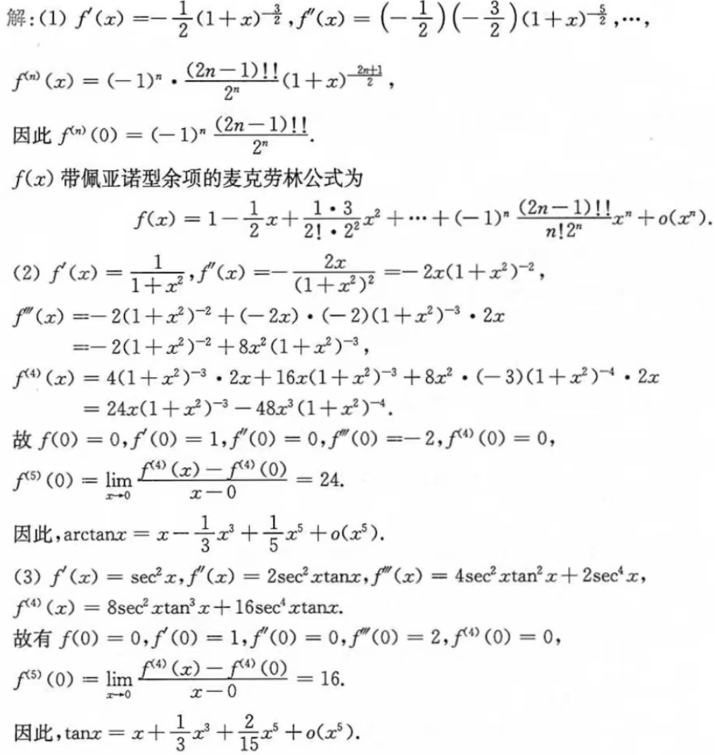
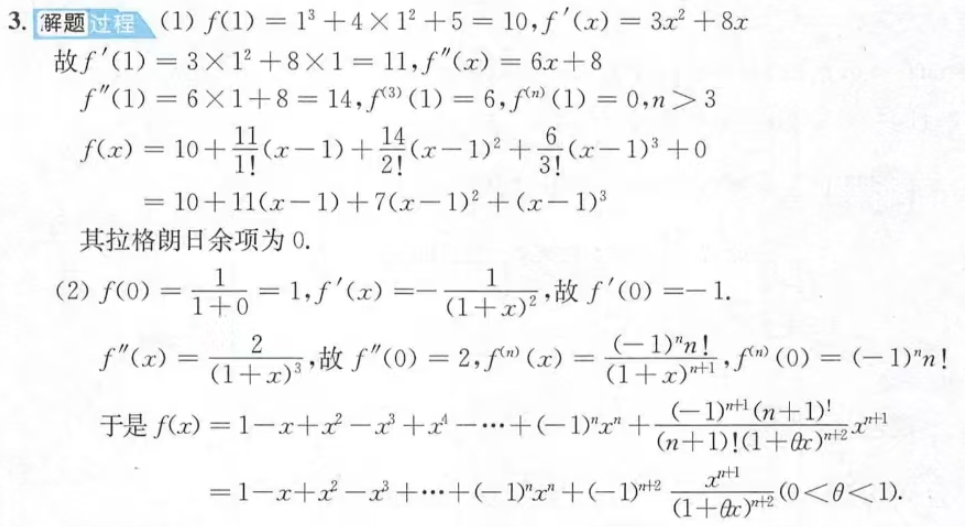
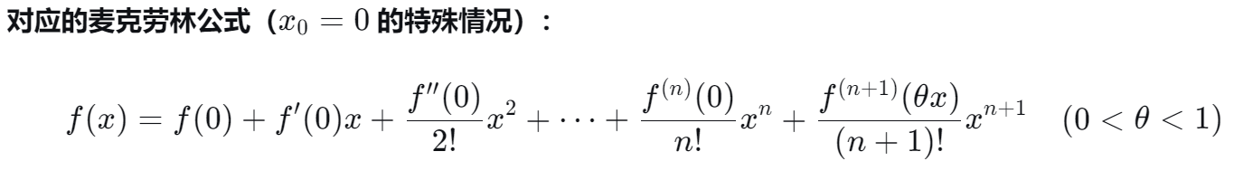
3.
4.
学习
上一篇:
JPG怎么转为PDF格式呢?分享四个转换工具
下一篇:
Unity打包Webgl后 本地运行测试
相关推荐
爱宇阳
1 分钟前
Supabase Self-Hosting with Docker 学习笔记
笔记
·
学习
·
docker
盟接之桥
15 分钟前
盟接之桥®说制造:从“制造”到“智造”,以品类品牌重塑制造业的生态未来
大数据
·
网络
·
人工智能
·
学习
·
制造
迷你可可小生
15 分钟前
图像视觉面经学习(一)
图像处理
·
人工智能
·
python
·
学习
自信15041305759
25 分钟前
重生之从0开始学习c++之类与对象(中)
c++
·
学习
AI_零食
28 分钟前
开源鸿蒙跨平台Flutter开发:快递单号批量查询应用
学习
·
flutter
·
华为
·
开源
·
harmonyos
·
鸿蒙
四谎真好看
30 分钟前
Redis学习笔记(高级篇2)
redis
·
笔记
·
学习
·
学习笔记
鱼鳞_
32 分钟前
Java学习笔记_Day26(不可变集合)
java
·
笔记
·
学习
AI_零食
38 分钟前
开源鸿蒙跨平台Flutter开发:密码生成器应用
网络
·
学习
·
flutter
·
华为
·
开源
·
harmonyos
·
鸿蒙
fengci.
1 小时前
LilCTF2025web(前半部分)
开发语言
·
网络
·
学习
·
php
zhangrelay
1 小时前
蓝桥云课一分钟-绚丽贪吃蛇-后续-cmake
笔记
·
学习
热门推荐
01
GitHub 镜像站点
02
一周AI热点速览(2026.03.31-04.06):GPT-6曝光、谷歌开源Gemma 4、资本狂飙与模型军备竞赛
03
OpenClaw 请求超时 llm request timed out 怎么解决?3 种方案实测,附完整排查流程
04
AI 编程效率翻倍:Superpowers Skills 上手清单 + 完整指南
05
MySQL表约束详解:8大核心约束实战指南
06
实测!Gemma 4 成功跑在安卓手机上:离线 AI 助手终于来了
07
VMware Workstation Pro 17 虚拟机完整安装教程(2026最新)
08
Oh My Codex 快速使用指南
09
CodeBuddy与WorkBuddy深度对比:腾讯两款AI工具差异及实操指南
10
UV安装并设置国内源