
是思成呀:个人主页
前言:
C++ STL 中的
map和set是典型的关联式容器,二者均基于红黑树实现,核心差异仅在于存储的数据类型(set存储单个键值、map存储键值对)。本文聚焦于如何通过泛型编程和仿函数技术,基于红黑树底层结构封装出符合 STL 风格的map和set,重点体现代码复用和类型适配的设计思想。
目录
[一、先理清核心关联:map/set 与红黑树的绑定逻辑](#一、先理清核心关联:map/set 与红黑树的绑定逻辑)
[1.1 红黑树的泛型设计(核心适配层)](#1.1 红黑树的泛型设计(核心适配层))
[1.2 set 与红黑树的关联:极简适配](#1.2 set 与红黑树的关联:极简适配)
[1.3 map 与红黑树的关联:键值对适配](#1.3 map 与红黑树的关联:键值对适配)
[1.4 核心关联总结](#1.4 核心关联总结)
[2.1 迭代器的基础结构(封装红黑树节点)](#2.1 迭代器的基础结构(封装红黑树节点))
[2.2 迭代器 ++ 实现:找中序后继节点(核心难点)](#2.2 迭代器 ++ 实现:找中序后继节点(核心难点))
[场景 1:当前节点有右子树](#场景 1:当前节点有右子树)
[场景 2:当前节点无右子树](#场景 2:当前节点无右子树)
[2.3 迭代器 -- 实现:找中序前驱节点(对称逻辑)](#2.3 迭代器 -- 实现:找中序前驱节点(对称逻辑))
[2.4 红黑树的 begin/end 接口:迭代器的边界](#2.4 红黑树的 begin/end 接口:迭代器的边界)
[三、迭代器的使用:map/set 遍历的底层逻辑](#三、迭代器的使用:map/set 遍历的底层逻辑)
[3.1 set 遍历:迭代器返回键值](#3.1 set 遍历:迭代器返回键值)
[3.2 map 遍历:迭代器返回键值对](#3.2 map 遍历:迭代器返回键值对)
[4.1 map/set 共用红黑树的核心](#4.1 map/set 共用红黑树的核心)
[4.2 迭代器的核心逻辑](#4.2 迭代器的核心逻辑)
[五、拓展:const 迭代器(补充)](#五、拓展:const 迭代器(补充))
一、先理清核心关联:map/set 与红黑树的绑定逻辑
map 和 set 并非重新实现红黑树,而是通过 模板参数 + 仿函数,复用同一套红黑树代码,仅在 "存储数据类型 " 和 "键值提取方式" 上做差异化适配。
1.1 红黑树的泛型设计(核心适配层)
红黑树通过三个模板参数实现对 map/set 的通用支持,这是关联的基础:
template<class K, class T, class KOfT>
- K:键类型(如 map<int,V> 的 int,set<string> 的 string)
- T:节点存储的实际数据类型(map 存 pair<K,V>,set 存 K)
- KOfT:仿函数,用于从 T 中提取键 K(解决比较逻辑统一问题)

cpp
// 红黑树模板定义:适配 map/set 的核心
template<class K, class T, class KOfT>
class RBTree {
// 迭代器类型:对外暴露,供 map/set 复用
typedef __TreeIterator<T> iterator;
private:
RBTreeNode<T>* _root = nullptr; // 红黑树根节点
};
1.2 set 与红黑树的关联:极简适配
set 仅存储键值(无值关联),因此:
- 存储类型
T = K(节点直接存键); - 仿函数
SetKeyOfT直接返回键本身(无需提取); - 迭代器直接复用红黑树的
iterator,解引用返回键值。
核心代码:
cpp
template<class K>
class set {
// 仿函数:从 T=K 中提取键(直接返回自身)
struct SetKeyOfT {
const K& operator()(const K& key) {
return key;
}
};
public:
// 复用红黑树的迭代器:typename 声明嵌套类型(模板解析必须)
typedef typename RBTree<K, K, SetKeyOfT>::iterator iterator;
// 容器迭代器接口:直接调用红黑树的 begin/end
iterator begin() { return _t.begin(); }
iterator end() { return _t.end(); }
private:
// set 持有的红黑树对象:T=K,用 SetKeyOfT 提取键
RBTree<K, K, SetKeyOfT> _t;
};
1.3 map 与红黑树的关联:键值对适配
map 存储键值对 pair<K,V>,因此:
- 存储类型
T = pair<K,V>(节点存键值对); - 仿函数
MapKeyOfT从pair中提取first(键)用于比较; - 迭代器复用红黑树的
iterator,解引用返回pair<K,V>,支持->first/second访问。
核心代码:
cpp
template<class K, class V>
class map {
// 仿函数:从 T=pair<K,V> 中提取键(pair.first)
struct MapKeyOfT {
const K& operator()(const pair<K, V>& kv) {
return kv.first;
}
};
public:
// 复用红黑树的迭代器
typedef typename RBTree<K, pair<K, V>, MapKeyOfT>::iterator iterator;
// 容器迭代器接口:调用红黑树的 begin/end
iterator begin() { return _t.begin(); }
iterator end() { return _t.end(); }
private:
// map 持有的红黑树对象:T=pair<K,V>,用 MapKeyOfT 提取键
RBTree<K, pair<K, V>, MapKeyOfT> _t;
};
1.4 核心关联总结
| 维度 | set 与红黑树的关联 | map 与红黑树的关联 |
|---|---|---|
| 存储类型 T | T = K(直接存键) | T = pair<K,V>(存键值对) |
| 键提取逻辑 | 仿函数直接返回 T(即 K) | 仿函数返回 T.first(pair 的键) |
| 迭代器复用 | 红黑树 iterator<T=K> | 红黑树 iterator<T=pair<K,V>> |
| 核心依赖 | 红黑树的中序遍历(保证键有序) | 红黑树的中序遍历(保证键有序) |
二、迭代器的核心实现:基于红黑树的中序遍历
map/set 的迭代器本质是红黑树节点指针的封装 ,其核心能力是通过重载 ++/-- 实现 "中序遍历"(红黑树中序遍历结果为有序序列,这是 map/set 有序性的根源)。
2.1 迭代器的基础结构(封装红黑树节点)
迭代器类的核心是持有红黑树节点指针,并重载基础运算符(解引用、箭头、比较),为遍历提供基础能力:
cpp
// 红黑树节点结构(迭代器的操作对象)
template<class T>
struct RBTreeNode {
RBTreeNode<T>* _left;
RBTreeNode<T>* _right;
RBTreeNode<T>* _parent;
T _data; // 存储的数据(set: K;map: pair<K,V>)
Colour _col;
RBTreeNode(const T& data) : _data(data), _col(RED),
_left(nullptr), _right(nullptr), _parent(nullptr) {}
};
// 迭代器核心类:封装节点指针,实现遍历逻辑
template<class T>
struct __TreeIterator {
typedef RBTreeNode<T> Node;
typedef __TreeIterator<T> Self;
Node* _node; // 核心:指向红黑树的节点
// 构造函数:接收节点指针初始化
__TreeIterator(Node* node) : _node(node) {}
// 1. 解引用运算符:返回节点存储的数据
// set:返回 K&;map:返回 pair<K,V>&
T& operator*() {
return _node->_data;
}
// 2. 箭头运算符:支持 map 迭代器 it->first/it->second
// 编译器优化:it-> 等价于 (*it). ,实际返回 &(_node->_data)
T* operator->() {
return &(_node->_data);
}
// 3. 比较运算符:判断迭代器是否指向同一节点(end() 是 nullptr)
bool operator!=(const Self& s) const {
return _node != s._node;
}
bool operator==(const Self& s) const {
return _node == s._node;
}
// 4. ++/-- 运算符:核心逻辑,下文重点讲解
Self& operator++();
Self& operator--();
};
2.2 迭代器 ++ 实现:找中序后继节点(核心难点)
map/set 迭代器的 ++ 对应红黑树的中序遍历后继节点(保证遍历结果有序),分两种场景处理:
场景 1:当前节点有右子树
后继节点是 "右子树的最左节点"(右子树中最小的节点):
cpp
Self& operator++() {
if (_node->_right) { // 场景1:有右子树,找右子树最左节点
Node* subLeft = _node->_right;
while (subLeft->_left) { // 一直向左找,直到无左孩子
subLeft = subLeft->_left;
}
_node = subLeft;
}
else { // 场景2:无右子树,向上找祖先节点
Node* cur = _node;
Node* parent = _node->_parent;
// 循环条件:当前节点是父节点的右孩子(说明还没找到后继)
while (parent && cur == parent->_right) {
cur = parent; // 向上移动
parent = parent->_parent;
}
// 退出循环:parent 是后继(或 parent=nullptr,即 end())
_node = parent;
}
return *this;
}
场景 2:当前节点无右子树
需沿父节点向上查找,直到找到第一个 "当前节点是其左孩子 " 的祖先节点(该祖先节点即为后继);若一直找到根节点仍未满足,则到达 end()(_node = nullptr)。
示例理解
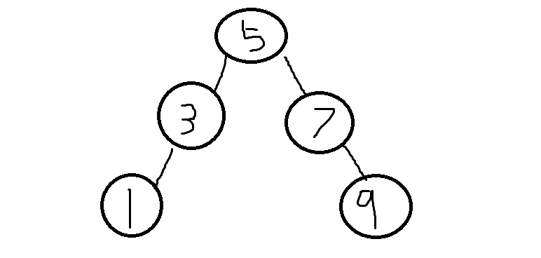
红黑树结构:5(root) <- 3 <- 1,5 -> 7 -> 9

迭代器指向1: 无右子树, 向上找, 3是1的父节点且1是3的左孩子 → 后继是3;
迭代器指向3: 有右子树 (空? 假设3右子树为空), 向上找, 5是3的父节点且3是5的左孩子 → 后继是5;
迭代器指向5: 有右子树,找右子树(7)的最左节点 → 7的左子树为空,因此后继是7;
迭代器指向9: 无右子树, 向上找, 7是9的父节点且9是7的右孩子 → 继续向上, 5是7的父节点且7是5的右孩子 → 继续向上, parent=nullptr → 后继是end()。
2.3 迭代器 -- 实现:找中序前驱节点(对称逻辑)
-- 对应红黑树的中序遍历前驱节点 ,逻辑与 ++ 对称:
cpp
Self& operator--() {
if (_node->_left) { // 场景1:有左子树,找左子树最右节点
Node* subRight = _node->_left;
while (subRight->_right) { // 一直向右找,直到无右孩子
subRight = subRight->_right;
}
_node = subRight;
}
else { // 场景2:无左子树,向上找祖先节点
Node* cur = _node;
Node* parent = _node->_parent;
// 循环条件:当前节点是父节点的左孩子(未找到前驱)
while (parent && cur == parent->_left) {
cur = parent;
parent = parent->_parent;
}
// 退出循环:parent 是前驱(或 parent=nullptr,即 begin() 之前)
_node = parent;
}
return *this;
}
2.4 红黑树的 begin/end 接口:迭代器的边界
红黑树为 map/set 提供统一的迭代器边界,与 T 类型无关:
cpp
template<class K, class T, class KOfT>
class RBTree {
public:
typedef __TreeIterator<T> iterator;
// begin():红黑树中序遍历的第一个节点(最左节点)
iterator begin() {
Node* cur = _root;
while (cur && cur->_left) { // 一直向左找,直到无左孩子
cur = cur->_left;
}
return iterator(cur);
}
// end():遍历的终止位置(空指针,不指向任何有效节点)
iterator end() {
return iterator(nullptr);
}
};
map/set 直接复用这两个接口:
cpp
// set 的 begin/end
iterator begin() { return _t.begin(); }
iterator end() { return _t.end(); }
// map 的 begin/end
iterator begin() { return _t.begin(); }
iterator end() { return _t.end(); }
三、迭代器的使用:map/set 遍历的底层逻辑
3.1 set 遍历:迭代器返回键值
cpp
void test_set() {
sicheng::set<int> s;
s.Insert(5);
s.Insert(3);
s.Insert(7);
s.Insert(1);
// 迭代器遍历:底层是红黑树的中序遍历
sicheng::set<int>::iterator it = s.begin();
while (it != s.end()) {
cout << *it << " "; // 输出:1 3 5 7(有序)
++it; // 调用 __TreeIterator::operator++()
}
}
*it:调用operator*(),返回红黑树节点的_data(即 int 键值);++it:找到下一个中序节点,保证遍历有序。
3.2 map 遍历:迭代器返回键值对
cpp
void test_map() {
sicheng::map<int, string> m;
m.Insert({1, "one"});
m.Insert({3, "three"});
m.Insert({2, "two"});
// 迭代器遍历
sicheng::map<int, string>::iterator it = m.begin();
while (it != m.end()) {
// it->first:等价于 (*it).first,返回 pair 的键
// it->second:返回 pair 的值
cout << it->first << ":" << it->second << " "; // 输出:1:one 2:two 3:three
++it;
}
}
it->first:底层是operator->()返回pair<K,V>*,编译器优化为(*it).first;- 遍历有序性:依赖红黑树的中序遍历,按键升序排列。
四、核心总结
4.1 map/set 共用红黑树的核心
- 共性封装:红黑树封装 "基于键的有序存储、平衡调整、中序遍历" 等共性逻辑,与存储的具体数据类型解耦;
- 差异抽象 :通过模板参数
T适配存储类型(键 / 键值对),通过仿函数KOfT统一键提取规则; - 无冗余复用:无需为 map/set 分别实现红黑树,仅需适配模板参数,极大减少代码冗余。
4.2 迭代器的核心逻辑
- 本质 :封装红黑树节点指针,遍历逻辑与存储类型
T无关,仅通过解引用 / 箭头运算符适配不同返回值; - ++/-- 核心:找中序后继 / 前驱节点,分 "有子树" 和 "无自树" 两种场景,依赖红黑树的三叉链结构;
- 边界 :
begin()是红黑树最左节点,end()是空指针(遍历终止); - 差异化 :set 迭代器解引用返回键,map 迭代器解引用返回键值对,底层仅因红黑树节点的
T类型不同。
五、拓展:const 迭代器(补充)
实际开发中,map/set 还需提供 const_iterator(只读迭代器),核心是修改 operator*() 和 operator->() 的返回值为 const:
cpp
template<class T>
struct __TreeConstIterator {
typedef RBTreeNode<T> Node;
typedef __TreeConstIterator<T> Self;
Node* _node;
__TreeConstIterator(Node* node) : _node(node) {}
// const 迭代器:解引用返回 const T&
const T& operator*() { return _node->_data; }
// const 迭代器:箭头返回 const T*
const T* operator->() { return &(_node->_data); }
// ++/-- 逻辑与非 const 版本完全一致
Self& operator++() { /* 同前 */ }
Self& operator--() { /* 同前 */ }
};
map/set 中新增 const_iterator 类型即可复用:
cpp
// set 的 const 迭代器
typedef typename RBTree<K, K, SetKeyOfT>::const_iterator const_iterator;
const_iterator cbegin() const { return _t.cbegin(); }
const_iterator cend() const { return _t.cend(); }
// map 的 const 迭代器同理
结尾
🍍 我是思成!若这篇内容帮你理清了 map/set 与红黑树的关联逻辑:
👀 【关注】跟我一起拆解 C++ 底层原理,从容器到数据结构,吃透每一个核心知识点
❤️ 【点赞】让技术干货被更多人看见,让抽象的底层逻辑变得易懂
⭐ 【收藏】把迭代器实现、泛型复用的思路存好,面试 / 实战时随时查阅
💬 【评论】分享你学习红黑树时踩过的坑,或想深挖的技术点,一起交流进步
🗳️ 【投票】告诉我你最想拆解的下一个知识点(比如红黑树删除?哈希表?)
技术学习没有捷径,但找对思路能少走弯路~愿我们都能把复杂的底层逻辑,拆解成可落地的知识碎片,一步步构建自己的技术体系!
结语:红黑树以 "颜色规则 + 旋转操作" 实现自平衡,既保留了二叉搜索树中序遍历的有序性,又解决了单支树退化的性能问题。而 map/set 基于泛型和仿函数的复用设计,更是 C++ 抽象思维的经典体现 ------ 将共性逻辑封装,差异点参数化,让一套底层结构适配多种上层场景。理解这一设计思路,不仅能吃透 map/set,更能掌握泛型编程的核心精髓。
