技术栈
数学分析简明教程——6.5
shenghaide_jiahu
2025-12-21 21:29
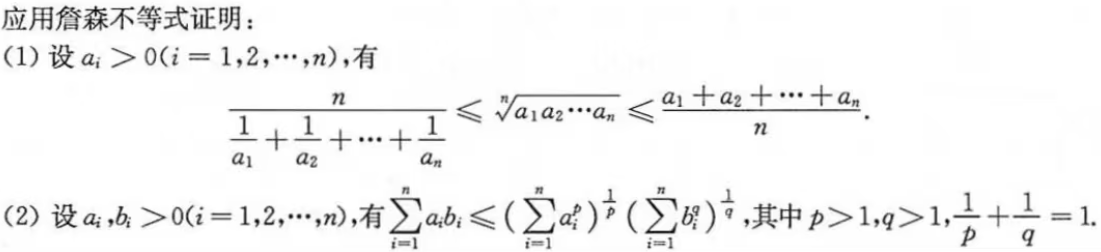
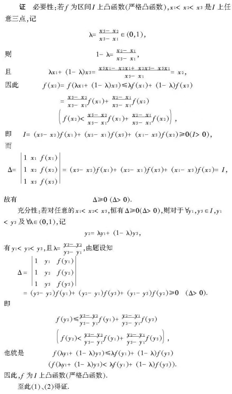
1.
2.
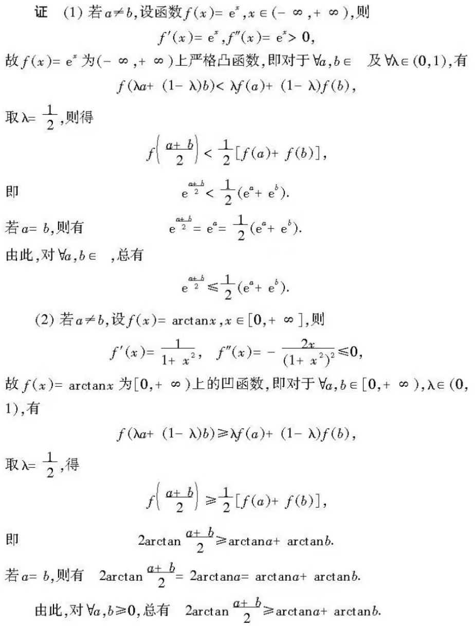
3.
4.
5.
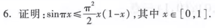
6.
7.
*8.
*9.
学习
上一篇:
git常用操作合集
下一篇:
关系代数与关系型数据库
相关推荐
for_ever_love__
2 分钟前
Objective-C学习UI 的初步了解(2)
学习
·
ui
·
objective-c
m0_71676523
13 分钟前
数据结构--顺序表的插入、删除、查找详解
c语言
·
开发语言
·
数据结构
·
c++
·
学习
·
算法
·
visual studio
我要成为嵌入式大佬
15 分钟前
学习linux的部分疑惑与解答(非专业)
学习
Дерек的学习记录
21 分钟前
Unreal Eangie 5:蓝图编程
开发语言
·
学习
·
ue5
AI科技星
22 分钟前
基于v≡c第一性原理:密度的本质与时空动力学
人工智能
·
学习
·
算法
·
机器学习
·
数据挖掘
Orange_sparkle
28 分钟前
learn claude code学习记录-S01
学习
·
claude code
想你依然心痛
30 分钟前
HarmonyOS 5.0教育科技开发实战:构建AI个性化学习与分布式协同教育系统
人工智能
·
学习
·
harmonyos
龙文浩_
10 小时前
Attention Mechanism: From Theory to Code
人工智能
·
深度学习
·
神经网络
·
学习
·
自然语言处理
爱上好庆祝
12 小时前
svg图片
前端
·
css
·
学习
·
html
·
css3
嵌入式小企鹅
12 小时前
蓝牙学习系列(八):BLE L2CAP 协议详解
网络
·
学习
·
蓝牙
·
ble
·
协议栈
·
l2cap
热门推荐
01
GitHub 镜像站点
02
一周AI热点速览(2026.03.31-04.06):GPT-6曝光、谷歌开源Gemma 4、资本狂飙与模型军备竞赛
03
2026年4月技术前沿:AI大模型爆发、智能体革命与量子安全新纪元
04
基于 Docker 部署 Hermes Agent 并接入飞书机器人的完整指南
05
VMware Workstation Pro 17 虚拟机完整安装教程(2026最新)
06
OpenClaw 请求超时 llm request timed out 怎么解决?3 种方案实测,附完整排查流程
07
实测!Gemma 4 成功跑在安卓手机上:离线 AI 助手终于来了
08
AI Weekly | 2026年4月第二周 · GitHub热门项目与AI发展趋势深度解析
09
CodeBuddy与WorkBuddy深度对比:腾讯两款AI工具差异及实操指南
10
免费!不限量!用opencode接入英伟达(NVIDIA)大模型,轻松打造你的 AI 编程助手