如果你需要搭建一个600平方公里的倾斜场景,要求近距离查看建筑细节时,墙面纹理、门窗结构清晰可辨;切换到大范围飞行漫游时,画面流畅不卡顿。那么,可以试试Mapmost,轻松实现**"近看精细、远飞流畅"**的效果。
当然,为了能让大家更好地应用Mapmost,我们今天来讲讲倾斜服务(3DTiles)渲染"背后"的故事。
首先,我们一起来了解一下两个基础概念------几何误差(GE)和屏幕空间误差(SSE)。
一、基础概念:GE与SSE到底是什么?
1. 几何误差(GE,Geometric Error)
- 定义:GeometricError是3DTiles数据自带的属性,即在倾斜数据预处理(几何体简化或分块)过程中产生的数值,用来描述简化后几何体与原始几何体之间的偏差,简单说就是模型简化程度的量化值。

- 作用:GeometricError越大 ,与原始几何体差距越大,细节损失越多 ;GeometricError越小 ,模型越贴近原始形态,细节越丰富。
2. 屏幕空间误差(SSE,Screen-Space Error)
- 定义:SSE是原始几何体与简化几何体映射到屏幕上的像素级偏差。

对3DTiles数据,可直接基于GeometricError以及相机与瓦片的距离、屏幕分辨率、视场角等实时参数动态计算得出SSE。
二者的转换关系示意图如下:

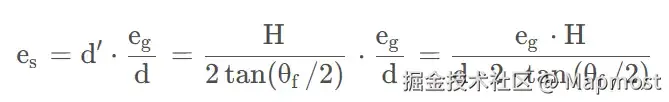
- 据此,可根据相似三角形以及三角函数的相关公式推知:

-
其中es为屏幕空间误差,eg为几何误差,H为以像素为单位的渲染窗口的高度,d为相机到瓦片中心之间的距离,θf为视场角的大小。
-
作用:前端通常会预设最大屏幕空间误差阈值,当计算出的瓦片SSE大于该阈值时,系统会判定当前瓦片细节不足,自动加载GeometricError更小的精细瓦片。
二、Mapmost核心配置
Mapmost基于3DTiles标准,开放了控制全局精度的核心参数maximumScreenSpaceError,该参数控制了视野中所有瓦片的清晰程度。
- **参数名:**maximumScreenSpaceError
- 作用:定义SSE的最大阈值(值>0),值越小,允许的屏幕像素误差越小,模型越精细,但性能消耗越大。该参数有一个默认值16,即当瓦片SSE超过16时,系统就会加载下一级更精细的瓦片。
- **取值原则:**中高端设备可设得低一点,低端或者移动设备可设得高一点。
- 不同设置性能对比实测:
maximumScreenSpaceError取值
视口内瓦片数量(个)
首屏加载时间(秒)
32
61
3.25
8
450
8.10
三、进阶优化:动态瓦片清晰度调整
除了通过maximumScreenSpaceError控制全局精度,Mapmost还提供了另外三个参数对倾斜视角场景进行了针对性优化。
1. enableDynamicTileAdjust
- **取值范围:**true/false
- 作用:开启后,相机倾斜时,会自动降低远处瓦片的SSE,从而降低瓦片清晰度以提升性能。
2. dynamicTileAdjustRange
- 取值范围:[0,1]
- **作用:**可控制瓦片模糊范围控制,值越大,表示从远及近瓦片模糊范围越大;值为0时全屏采用原精度的瓦片。仅当enableDynamicTileAdjust为true时生效。
3.dynamicTileAdjustFactor
- 取值范围:[0,+∞)
- **作用:**可调节模糊强度,值越大,瓦片模糊程度越高;值为0时等同于关闭该优化。仅当enableDynamicTileAdjust为true时生效。
4. 适用场景
适合大范围倾斜浏览、移动巡检、飞行漫游 等场景,这类场景中远处瓦片占比大但无需精细显示,优化后可大幅缩短视野内倾斜瓦片的更新时间,如当在地图上平移或缩放时,倾斜模型的画面刷新时间可缩减30%以上。

四、结语
几何误差(GE)作为3DTiles数据侧的简化基准 ,与屏幕空间误差(SSE)这一屏幕侧的视觉反馈,共同构成了可视化精度与性能平衡的核心逻辑 。Mapmost精准把握二者关联,通过灵活的参数配置,让不同场景下的误差控制与性能优化更贴合实际需求,轻松实现**"清晰不卡顿、流畅不模糊"**的体验,是大规模三维地理空间数据可视化项目的可靠选择。
立即体验,开始三维开发之旅!
👉 点击访问官网免费试用:Mapmost官网
👉 查看详细产品文档:产品概述 | Mapmost SDK for WebGL