技术栈
数学分析简明教程——总练习题6
shenghaide_jiahu
2025-12-24 18:06
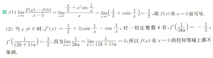
1.
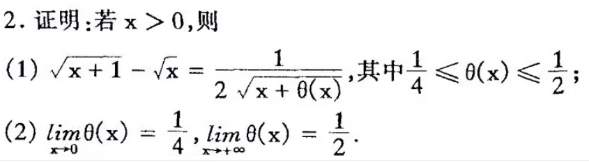
2.
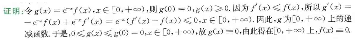
3.
4.
5.
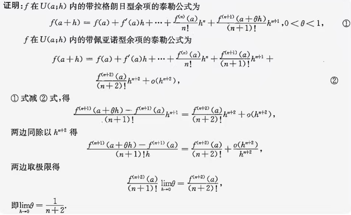
6.
考察重要极限,洛必达法则,迫敛性
7.
8.
9.
10.
11.
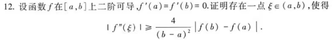
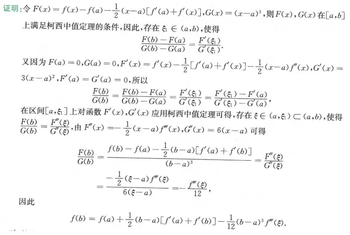
12.
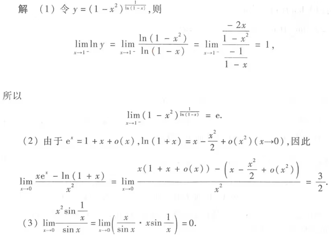
13.
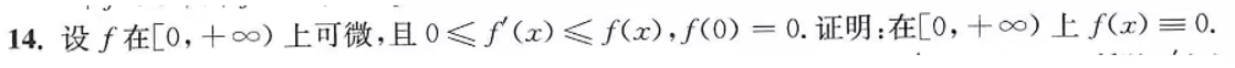
15.
16.
17.
学习
上一篇:
没有千卡GPU,如何从0到1构建可用LLM?nanoChat 全栈实践首次公开
下一篇:
【C++】记录一次C++程序编译缓慢原因分析——滥用stdafx.h公共头文件
相关推荐
近津薪荼
7 分钟前
递归专题(1)——汉诺塔
c++
·
学习
·
算法
AI视觉网奇
9 分钟前
static mesh 转skeleton mesh
笔记
·
学习
·
ue5
好奇龙猫
9 分钟前
【日语学习-日语知识点小记-日本語体系構造-JLPT-N2前期阶段-第一阶段(11):単語文法】
学习
Moonquakes540
11 分钟前
嵌入式开发基础学习笔记(pwm spi)
笔记
·
学习
-To be number.wan
12 分钟前
算法学习日记 | 模拟
c++
·
学习
·
算法
●VON
12 分钟前
React Native for OpenHarmony:解构 TouchableOpacity 的触摸反馈与事件流控制
javascript
·
学习
·
react native
·
react.js
·
性能优化
·
openharmony
charlie114514191
13 分钟前
malloc 在多线程下为什么慢?——从原理到实测
开发语言
·
c++
·
笔记
·
学习
·
工程实践
微露清风
9 小时前
系统性学习Linux-第二讲-基础开发工具
linux
·
运维
·
学习
阳光九叶草LXGZXJ
10 小时前
达梦数据库-学习-48-DmDrs控制台命令(同步之Manager、CPT模块)
linux
·
运维
·
数据库
·
sql
·
学习
biuyyyxxx
10 小时前
Python自动化办公学习笔记(一) 工具安装&教程
笔记
·
python
·
学习
·
自动化
热门推荐
01
GitHub 镜像站点
02
Clawdbot 中文汉化版 接入微信、飞书
03
OpenCode 入门教程:介绍 · 安装 · 配置第三方 API (如 Claude)
04
OpenClaw部署与配置教程:在Mac mini上接入国产大模型与飞书
05
UV安装并设置国内源
06
2026美赛A题智能手机电池续航时间预测的连续时间数学模型
07
Claude Code + GLM4.7 避坑指南:解决 Unable to connect to Anthropic services
08
在Trae中使用Pencil MCP
09
Claude Code Skills 实用使用手册
10
2025 年大语言模型发展回顾:关键突破、意外转折与 2026 年展望