目录
- 二分图详解
- [Part 1.1 二分图的理论知识](#Part 1.1 二分图的理论知识)
- [Part 1.1.1 什么是二分图](#Part 1.1.1 什么是二分图)
- [Part 1.1.2 二分图的例子](#Part 1.1.2 二分图的例子)
- [Part 1.2 二分图的判定](#Part 1.2 二分图的判定)
- [Part 1.2.1 染色算法时空复杂度](#Part 1.2.1 染色算法时空复杂度)
- [Part 1.2.2 算法理论](#Part 1.2.2 算法理论)
- [Part 1.2.3 代码实现](#Part 1.2.3 代码实现)
- [Part 1.1 二分图的理论知识](#Part 1.1 二分图的理论知识)
- Update
二分图详解
二分图在算法竞赛中是一个非常常见的东西, 学会这个东西在解决一些常见的问题是会非常有用的。
Part 1.1 二分图的理论知识
下面将介绍二分图的理论知识,如果不喜欢可以跳出。
Part 1.1.1 什么是二分图
二分图的定义: \text{二分图的定义:} 二分图的定义:
- 这个图可以被分成两个部分 \text{这个图可以被分成两个部分} 这个图可以被分成两个部分
- 每一条边的两个端点在不同的部分 \text{每一条边的两个端点在不同的部分} 每一条边的两个端点在不同的部分
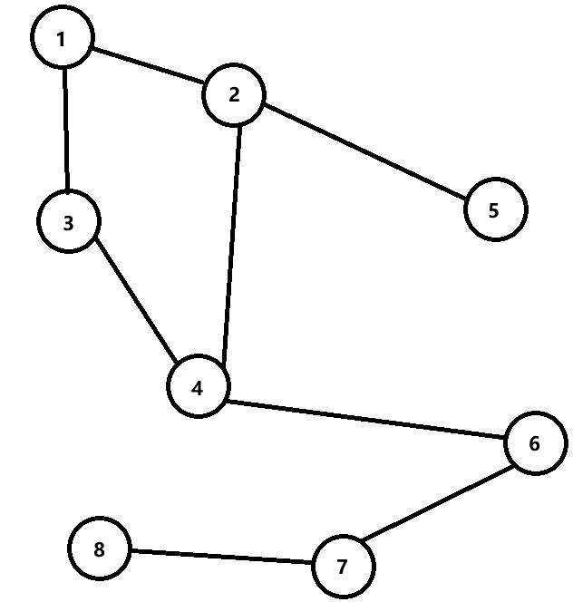
Part 1.1.2 二分图的例子

上面的图就是一个二分图,它满足:
- 红色的点为 1 1 1 个集合,橙色的点为 1 1 1 个集合。
- 而且每一条边连接的两个位置的点都是处于不同的集合
再看下面的一张图

图上标注的很清楚,节点 9 9 9 和节点 6 6 6 的颜色是相同的,所以不满足二分图的条件
Part 1.2 \text{Part 1.2} Part 1.2 二分图的判定
这个东西是一个重点,也叫 二分图染色(Bipartite Graph Coloring) \text{二分图染色(Bipartite Graph Coloring)} 二分图染色(Bipartite Graph Coloring)
Part 1.2.1 染色算法时空复杂度
其中 N N N 表示点数, M M M 表示边数
-
使用邻接矩阵存图,时间复杂度和空间复杂度均为 O ( N 2 ) O(N^2) O(N2). (一般用于稠密图, 因为此时 M = N 2 M = N^2 M=N2)
-
使用 vector \text{vector} vector 或 邻接表存图,时间复杂度和空间复杂度均为 O ( N + M ) O(N + M) O(N+M).
-
在稀疏图上面, M M M 和 N N N 同阶.
-
在稠密图上, M M M 和 N 2 N^2 N2 同阶
但是一般采用邻接表存图.
Part 1.2.2 算法理论
很简单,对每个点进行 dfs, 给每个出边染上相反的颜色即可,如果出现矛盾,就不是二分图。
下面是动图,用于理解。


发现染色部分进行到 6 6 6 时出现矛盾,所以不是二分图。
Part 1.2.3 代码实现
cpp
#include <bits/stdc++.h>
using namespace std;
const int MAXN = 10005;
vector<int> G[MAXN];
int color[MAXN];
bool DFS(int u, int col) {
color[u] = col;
for (int v : G[u]) {
if (color[v] == -1) {
if (!DFS(v, !col)) return false;
}
if (color[v] == col) return false;
}
return true;
}
int main() {
int N, M;
// 假设输入 N M 和边,这里省略输入部分
memset(color, -1, sizeof(color));
bool isBipartite = true;
for (int i = 1; i <= N; i++) {
if (color[i] == -1) {
if (!DFS(i, 0)) {
isBipartite = false;
break;
}
}
}
if (isBipartite) {
printf("Yes");
} else {
printf("No");
}
return 0;
}
如果出现问题,可以在评论区好好讨论
Update \text{Update} Update
- 创建时间 2025.12.24'