[机器学习-从入门到入土] 概率图模型
个人导航
知乎:https://www.zhihu.com/people/byzh_rc
CSDN:https://blog.csdn.net/qq_54636039
注:本文仅对所述内容做了框架性引导,具体细节可查询其余相关资料or源码
参考文章:各方资料
文章目录
- [[机器学习-从入门到入土] 概率图模型](#[机器学习-从入门到入土] 概率图模型)
- 个人导航
- 概率图模型 (Probabilistic Graphical Models)
- 贝叶斯网络 (Bayesian networks)
- [条件独立(Conditional Independence)](#条件独立(Conditional Independence))
-
-
-
- [1. 结构类型](#1. 结构类型)
- [2. D划分](#2. D划分)
-
-
- 马尔可夫随机场 (Markov Random Fields)
- [图模型的推断 Inference in Graphical Models](#图模型的推断 Inference in Graphical Models)
- 例题
概率图模型 (Probabilistic Graphical Models)
可视化概率模型的工具,用 "图" 的形式把概率关系直观呈现出来
- 节点:代表随机变量(或一组随机变量)
- 边:代表变量之间的概率关系
概率图模型主要分两类:
- 有向图模型(Directed graphical models)
- 图中的边是带方向的箭头,对应 "贝叶斯网络(Bayesian networks)"
- 箭头通常表示 "因果 / 依赖关系"
- 无向图模型(Undirected graphical models)
- 图中的边是无方向的连线,对应 "马尔可夫随机场(Markov random fields)"
- 连线表示变量之间的 "关联关系"

贝叶斯网络 (Bayesian networks)
贝叶斯网络的本质是用 "有向图" 表示变量的条件概率依赖关系
其数学基础是 "概率乘积公式":
p ( A B ) = p ( A ∣ B ) p ( B ) p(AB) = p(A| B) p(B) p(AB)=p(A∣B)p(B)
两个事件的联合概率,等于其中一个事件在另一事件条件下的概率,乘以另一事件的概率
联合分布
以变量 a 、 b 、 c a、b、c a、b、c为例,推导它们的联合分布 p ( a , b , c ) p(a,b,c) p(a,b,c):
-
第一次用乘积公式:把 a , b a,b a,b 看作整体, c c c 是条件变量
p ( a , b , c ) = p ( c ∣ a , b ) ⋅ p ( a , b ) p(a,b,c) = p(c|a,b) \cdot p(a,b) p(a,b,c)=p(c∣a,b)⋅p(a,b)
-
第二次用乘积公式:拆分 p ( a , b ) p(a,b) p(a,b)
p ( a , b , c ) = p ( c ∣ a , b ) ⋅ p ( b ∣ a ) ⋅ p ( a ) p(a,b,c) = p(c|a,b) \cdot p(b|a) \cdot p(a) p(a,b,c)=p(c∣a,b)⋅p(b∣a)⋅p(a)

节点代表变量 a 、 b 、 c a、b、c a、b、c
箭头表示 "条件依赖":
- a指向b → b依赖a(对应 p ( b ∣ a ) p(b|a) p(b∣a)
- a指向c、b指向c → c依赖a和b(对应 p ( c ∣ a , b ) p(c|a,b) p(c∣a,b))
扩展到 K 个变量的通用形式:
对于K个变量 x 1 , x 2 , . . . , x K x_1,x_2,...,x_K x1,x2,...,xK,重复用乘积公式,联合分布可写成:
p ( x 1 , . . . , x K ) = p ( x K ∣ x 1 , . . . , x K − 1 ) ⋅ . . . ⋅ p ( x 2 ∣ x 1 ) ⋅ p ( x 1 ) p(x_1,...,x_K) = p(x_K|x_1,...,x_{K-1}) \cdot ... \cdot p(x_2|x_1) \cdot p(x_1) p(x1,...,xK)=p(xK∣x1,...,xK−1)⋅...⋅p(x2∣x1)⋅p(x1)
此时对应的图是 "全连接的"(每对节点都有依赖关系)
贝叶斯网络里,没有边 = 变量之间无直接概率依赖
没有边的变量,不会出现在对方的条件概率里

x 1 x_1 x1到 x 2 x_2 x2没有边、 x 3 x_3 x3到 x 7 x_7 x7没有边 → 说明 x 2 x_2 x2不直接依赖 x 1 x_1 x1, x 7 x_7 x7不直接依赖 x 3 x_3 x3
因此联合分布可以 "简化" 为:
p ( x 1 ) p ( x 2 ) p ( x 3 ) p ( x 4 ∣ x 1 , x 2 , x 3 ) p ( x 5 ∣ x 1 , x 3 ) p ( x 6 ∣ x 4 ) p ( x 7 ∣ x 4 , x 5 ) p(x_1)p(x_2)p(x_3)p(x_4|x_1,x_2,x_3)p(x_5|x_1,x_3)p(x_6|x_4)p(x_7|x_4,x_5) p(x1)p(x2)p(x3)p(x4∣x1,x2,x3)p(x5∣x1,x3)p(x6∣x4)p(x7∣x4,x5)
在
|前的是某个节点在
|后面的是其直接相关的父节点(不管祖父)
贝叶斯网络的有向图必须是无环图(DAG,Directed Acyclic Graphs) :
不能出现 " x 1 → x 2 → x 3 → x 1 x_1→x_2→x_3→x_1 x1→x2→x3→x1" 这样的有向环,否则条件依赖关系会矛盾(无法定义合理的条件概率)
条件独立(Conditional Independence)
条件独立的定义:
当 "给定变量c时,a的概率分布不依赖b",则称 **a和b在给定c的条件下独立 **, 记为 a ⊥ b ∣ c a \perp b \mid c a⊥b∣c
数学表达为 p ( a , b ∣ c ) = p ( a ∣ c ) ⋅ p ( b ∣ c ) p(a,b|c) = p(a|c) \cdot p(b|c) p(a,b∣c)=p(a∣c)⋅p(b∣c)
作用:简化模型(不用画 a − b a-b a−b的边)、降低计算量(分解复杂运算)
- 独立: a与b毫无瓜葛
- 不独立: a与b有相关
1. 结构类型
| 结构类型 | 未观测c时( ∅ \varnothing ∅) | 观测c时( c c c) |
|---|---|---|
| 尾到尾 ( a ← c → b a \leftarrow c \rightarrow b a←c→b) | a 、 b a、b a、b不独立 | a 、 b a、b a、b独立 |
| 头到尾 ( a → c → b a \rightarrow c \rightarrow b a→c→b) | a 、 b a、b a、b不独立 | a 、 b a、b a、b独立 |
| 头到头 ( a → c ← b a \rightarrow c \leftarrow b a→c←b) | a 、 b a、b a、b独立 | a 、 b a、b a、b不独立 |

对于
尾到尾和头到尾:在不观测 c c c 时, a a a 和 b b b 通过**"对共同原因的不确定性"产生了统计相关** -> 不独立
而一旦观测了 c c c,这种相关性的唯一来源被"消除",两者只剩下各自的随机性 -> 独立
对于
头到头:不观测 c c c 时两个原因互不传递信息 -> 独立
而一旦观测 c c c, a a a 与 b b b 就必须"共同解释"这个结果,彼此产生解释竞争,从而变得相关 -> 不独立
2. D划分
D 划分是判断 "集合A和B在给定集合C时是否独立/是否阻断" 的方法:
- 若A到B的所有路径都被阻断,则 A ⊥ B ∣ C A \perp B \mid C A⊥B∣C -> 阻断则独立
- "阻断相关性路径" 的条件:
- 路径中节点是头 - 尾 / 尾 - 尾 ,且该节点
属于C(被观测) - 路径中节点是头 - 头 ,且该节点及其后代节点都
不属于C(未观测)
- 路径中节点是头 - 尾 / 尾 - 尾 ,且该节点

c被观测的情况下, 问a与b:
- e是头到头, 后迭代被观测 -> 产生解释竞争 -> 不阻断
- f是尾到尾, 未被观测 -> 有共因的不确定性 -> 不阻断
e的后代c被观测, 相当于e被观测
f被观测的情况下, 问a与b:
- e是头到头, 未被观测 -> 互不相干 -> 阻断
- f是尾到尾, 被观测 -> 无不确定性 -> 阻断
马尔可夫随机场 (Markov Random Fields)
马尔可夫随机场是无向概率图模型的核心代表
核心思想是利用图的拓扑结构 描述变量间的依赖与独立关系,并用势函数的乘积形式定义联合概率分布
无向图的条件独立性(马尔可夫性)
变量集合的条件独立性由 路径是否被 "阻断" 判断:
- 设变量集合分为 A , B , C A,B,C A,B,C 三部分。若连接 A 和 B 的所有路径 都必须经过 C 中的节点,则称 C 阻断了 A 和 B 之间的路径。此时条件独立性成立: A ⊥ B ∣ C A\perp B \mid C A⊥B∣C(即给定 C 时,A 和 B 相互独立)
- 若存在至少一条路径不经过 C,则 A 和 B 的条件独立性不成立

团块(Clique)与最大团块
团块是无向图中定义联合分布的基础单元
- 团块 :节点的一个子集,满足子集中任意两个节点之间都有边连接(子集内节点两两相邻)
- 最大团块:无法再加入任何节点的团块(加入后不再满足团块的定义),即当前节点数最多的团块
无向图的联合概率分布
马尔可夫随机场的联合分布通过团块势函数 的乘积归一化得到,公式如下:
p ( x ) = 1 Z ∏ C ψ C ( x C ) p(\mathbf{x})=\frac{1}{Z}\prod_{C}\psi_{C}\left(\mathbf{x}_{C}\right) p(x)=Z1C∏ψC(xC)
其中各符号含义:
-
C C C:图中的所有团块
-
x C \mathbf{x}_C xC:团块 C 中所有节点对应的变量取值
-
ψ C ( x C ) \psi_C(\mathbf{x}_C) ψC(xC):团块势函数 ,是定义在团块上的非负函数,用于刻画团块内变量间的依赖关系(势函数值越大,对应变量组合出现的概率越高)
-
Z:归一化常数 (也称为配分函数),作用是让联合分布的总和为 1,其计算公式为:
Z = ∑ x ∏ C ψ C ( x C ) Z=\sum_{\mathbf{x}}\prod_{C}\psi_{C}\left(\mathbf{x}_{C}\right) Z=x∑C∏ψC(xC)注:Z 的计算需要对所有变量的可能取值组合求和,当变量维度较高时,Z 的计算会非常困难
有向图转无向图
1.链式有向图的转换:

为了让无向图的分布和原有的向图分布一致,势函数要匹配原分布的项:
- 第一个团 { x 1 , x 2 } \{x_1,x_2\} {x1,x2}的势函数: ψ 1 , 2 ( x 1 , x 2 ) = p ( x 1 ) p ( x 2 ∣ x 1 ) \psi_{1,2}(x_1,x_2) = p(x_1)p(x_2|x_1) ψ1,2(x1,x2)=p(x1)p(x2∣x1)(对应原分布的前两项)
- 后面的团(比如 { x 2 , x 3 } \{x_2,x_3\} {x2,x3})的势函数: ψ 2 , 3 ( x 2 , x 3 ) = p ( x 3 ∣ x 2 ) \psi_{2,3}(x_2,x_3) = p(x_3|x_2) ψ2,3(x2,x3)=p(x3∣x2)(对应原分布的条件概率项)
2.带多父节点的有向图转换(道德化moralization):

"涉及多个变量的因子(比如 p ( x 4 ∣ x 1 , x 2 , x 3 ) p(x_4|x_1,x_2,x_3) p(x4∣x1,x2,x3))" 必须对应一个团(团要求变量两两相连)
道德化操作 :在 x 4 x_4 x4的所有父节点( x 1 , x 2 , x 3 x_1,x_2,x_3 x1,x2,x3)之间两两添加无向边 (相当于 "把父节点们连起来"),这样 x 1 , x 2 , x 3 , x 4 x_1,x_2,x_3,x_4 x1,x2,x3,x4就构成了一个团(所有变量两两相连)
"连接父节点" 的过程就是道德化 ,得到的无向图叫道德图
道德化的目的是让 "原分布中涉及多个变量的条件概率项",能对应无向图中的一个团,从而用势函数表示
图模型的推断 Inference in Graphical Models
在已知一部分变量(观测)的情况下,通过图结构高效地计算"另一些变量的概率分布"
1.贝叶斯定理的图表示(二元变量场景)

二元变量的联合分布可分解为 "先验 × 条件概率": p ( x , y ) = p ( x ) p ( y ∣ x ) p(x,y) = p(x)p(y|x) p(x,y)=p(x)p(y∣x)
对应图(a):x 到 y 的有向边表示依赖关系
观测到 y 后,用 "和积规则" 计算 y 的边缘分布: p ( y ) = ∑ x ′ p ( y ∣ x ′ ) p ( x ′ ) p(y) = \sum_{x'} p(y|x')p(x') p(y)=∑x′p(y∣x′)p(x′)
对应图(b):y 被观测(蓝色)
由联合分布的分解形式( p ( x , y ) = p ( y ) p ( x ∣ y ) p(x,y)=p(y)p(x|y) p(x,y)=p(y)p(x∣y)),推导后验概率: p ( x ∣ y ) = p ( y ∣ x ) p ( x ) p ( y ) p(x|y) = \frac{p(y|x)p(x)}{p(y)} p(x∣y)=p(y)p(y∣x)p(x)
对应图(c):信息从观测变量 y 反向传递到 x
2.马尔可夫链的联合分布

若变量 x 1 , x 2 , ... , x N x_1,x_2,\dots,x_N x1,x2,...,xN 构成马尔可夫链 (仅相邻变量有依赖,图为链式结构),其联合分布可表示为:
p ( x ) = 1 Z ψ 1 , 2 ( x 1 , x 2 ) ψ 2 , 3 ( x 2 , x 3 ) ⋯ ψ N − 1 , N ( x N − 1 , x N ) p(\mathbf{x}) = \frac{1}{Z}\psi_{1,2}(x_1,x_2)\psi_{2,3}(x_2,x_3)\cdots\psi_{N-1,N}(x_{N-1},x_N) p(x)=Z1ψ1,2(x1,x2)ψ2,3(x2,x3)⋯ψN−1,N(xN−1,xN)
其中:
- ψ i , i + 1 ( x i , x i + 1 ) \psi_{i,i+1}(x_i,x_{i+1}) ψi,i+1(xi,xi+1):相邻变量的 "势函数"(刻画依赖关系)
- Z:归一化常数(保证分布和为 1)
3.马尔可夫链的边缘分布推断(信息传递法)
要计算某节点 x n x_n xn 的边缘分布 p ( x n ) p(x_n) p(xn),需通过 信息传递(Message Passing) 实现:
-
边缘分布的定义 :
对联合分布求和(积分)掉除 x n x_n xn 外的所有变量: p ( x n ) = ∑ x 1 ⋯ ∑ x n − 1 ∑ x n + 1 ⋯ ∑ x N p ( x ) p(x_n) = \sum_{x_1}\cdots\sum_{x_{n-1}}\sum_{x_{n+1}}\cdots\sum_{x_N} p(\mathbf{x}) p(xn)=∑x1⋯∑xn−1∑xn+1⋯∑xNp(x)
-
信息的拆分与传递 :
边缘分布可拆分为 "从左到右的前向信息" 和 "从右到左的后向信息" 的乘积:
p ( x n ) = 1 Z μ α ( x n ) μ β ( x n ) p(x_n) = \frac{1}{Z}\mu_\alpha(x_n)\mu_\beta(x_n) p(xn)=Z1μα(xn)μβ(xn)- μ α ( x n ) \mu_\alpha(x_n) μα(xn):前向信息 (从 x 1 x_1 x1 传递到 x n x_n xn 的累积依赖)
- μ β ( x n ) \mu_\beta(x_n) μβ(xn):后向信息 (从 x N x_N xN 传递到 x n x_n xn 的累积依赖)
-
信息的递归计算 :
信息可通过相邻节点递归更新(对应Chapman-Kolmogorov 方程):
- 前向信息: μ α ( x n ) = ∑ x n − 1 ψ n − 1 , n ( x n − 1 , x n ) μ α ( x n − 1 ) \mu_\alpha(x_n) = \sum_{x_{n-1}} \psi_{n-1,n}(x_{n-1},x_n)\mu_\alpha(x_{n-1}) μα(xn)=∑xn−1ψn−1,n(xn−1,xn)μα(xn−1)(从左向右传递)
- 后向信息: μ β ( x n ) = ∑ x n + 1 ψ n + 1 , n ( x n + 1 , x n ) μ β ( x n + 1 ) \mu_\beta(x_n) = \sum_{x_{n+1}} \psi_{n+1,n}(x_{n+1},x_n)\mu_\beta(x_{n+1}) μβ(xn)=∑xn+1ψn+1,n(xn+1,xn)μβ(xn+1)(从右向左传递)

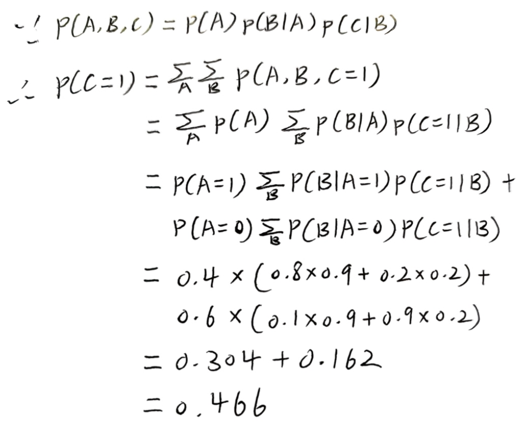
例题

