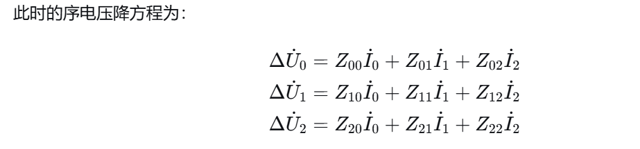
问题1.某元件的三相阻抗不相等,则将其三相电压降方程转换为对称分量,能否得到三序独立的电压降方程?--不能
不能。将一个三相阻抗不相等的元件的电压降方程转换为对称分量后,通常无法得到三个独立的、彼此解耦的电压降方程。三序分量(正序、负序、零序)在该元件中会发生耦合。
下面通过数学推导和物理解释来详细说明。
一、数学推导:为什么不能解耦?



二、物理解释:这意味着什么?
方程的非对角元素(Z01,Z12,Z20 等)不为零具有深刻的物理意义:
-
序间耦合 :它意味着一种序电流会在另一种序上产生电压降。
-
例如,Z12I˙2项表示负序电流 I˙2流过该元件时,会产生一个正序电压降 ΔU˙1。
-
同理,正序电流也可能产生负序或零序电压降。
-
-
破坏独立性 :这正是"不能得到三序独立的电压降方程"的体现。序电压降 ΔU˙0,ΔU˙1,ΔU˙2不再仅仅由本序电流决定,而是所有三个序电流共同作用的结果 。因此,正序、负序、零序网络不再能分开独立计算,它们在该元件处是相互耦合的。
三、工程实践中的处理
在实际电力系统分析中,为了能够使用简洁的解耦序网络进行分析,我们通常会做以下处理:
-
近似与假设 :对于输电线路、变压器等主要元件,在设计、制造和施工时都力求三相对称 (如采用完整换位、对称结构)。在分析中,我们通常假设除了故障点或特殊不平衡负荷点外,系统网络是三相对称的。这样,在系统绝大部分区域,序阻抗矩阵 Z012Z012 都是对角的,序网络是独立的。
-
不对称点的处理 :系统的不对称性(如单相接地短路)被集中处理为故障点(或负荷点)的边界条件 。在这些点,通过序分量的连接关系(如串联、并联)来体现耦合,而整个网络的其余部分仍然是解耦的序网络。这就是分析不对称短路的复合序网法。
-
必须考虑耦合的情况:如果系统确实存在显著的不对称元件(如长期不换位的重要长线路),在精确计算中就必须考虑其序间耦合。此时,无法使用简单的独立序网络,而必须直接求解包含耦合项的完整方程,或使用更复杂的相坐标模型进行分析,计算量会大大增加。
总结
不能。 对于一个三相阻抗不相等的线性元件,其序阻抗矩阵 Z012Z012 是非对角的。这将导致变换后的序电压降方程中,正序、负序、零序电压降相互耦合,彼此不独立。这种序间耦合是物理不对称性在序分量领域的直接反映。
电力系统不对称分析中能够广泛应用解耦的独立序网络 ,其前提恰恰是假设系统网络本身(除了故障/不平衡点)是三相对称的。一旦网络元件本身不对称,这一便利的独立性就不复存在。
问题2:对于对称的三相电力系统,注入负序电流时可能产生正序电压或零序电压。--错误
这是一个非常经典且重要的概念判断题。该说法是错误的。
下面进行详细解释:
核心原理:对称系统中序分量的独立性(解耦性)
对于一个完全对称的三相线性电力系统 ,其根本特性是:正序、负序、零序网络是彼此独立、互不耦合的。
-
数学本质 :系统的三相阻抗矩阵具有循环对称性 。当应用对称分量变换后,其序阻抗矩阵 Z012Z012 是一个对角矩阵:
-

-
对角线上的零元素 Z01,Z02,Z12 等,意味着序与序之间没有耦合。
-
物理内涵:由于网络结构、参数完全对称:
-
一组纯粹的正序电流 流过系统,只会在网络中产生正序电压降,不会激发负序或零序电压。
-
一组纯粹的负序电流 流过系统,只会在网络中产生负序电压降。
-
一组纯粹的零序电流 流过系统,只会在网络中产生零序电压降。
-
-

产生误解的可能原因及辨析
常见的误解来源于对以下两种不同情况的混淆:
| 情况 | 描述 | 序分量是否耦合? | 注入负序电流能否产生正序/零序电压? |
|---|---|---|---|
| 情况A:系统本身不对称 | 网络参数三相不等(如不换位长线、三相设备参数差异)。 | 是,强耦合。序阻抗矩阵非对角。 | 可能。负序电流会通过耦合阻抗 Z21、Z20 产生正序和零序电压。 |
| 情况B:系统本身对称,但存在不对称扰动 | 网络对称,但在某点发生单相接地短路。 | 网络解耦,但故障点边界条件耦合。 | 会 。注意,此时在短路点并非"注入纯负序电流" ,而是由故障本身这个不对称结构,同时产生了正、负、零序电流(I1=I2=I0)。这些序电流在各目的解耦网络中流通,产生各自的电压。这是故障分析的结果,而非"注入纯负序电流"的起因。 |
本题的准确描述是"注入负序电流时" ,这明确是指情况A或一个实验性的操作,而非情况B(故障)。在给定条件 "对称系统" 下,它对应的是情况B中网络的对称部分 ,因此序间无耦合,结论为不能。
总结
因此,命题是错误的。对于对称的三相电力系统,注入纯负序电流只会激发负序网络,产生负序电压,而不会产生正序或零序电压。 这是对称分量法能够简化分析(使各序网络独立求解)的理论基石。只有当系统本身不对称 或在不对称故障点,不同序分量才会发生相互影响。
问题3.对于参数不对称的三相系统可以采用对称分量法来简化其短路电流的计算。 --错误
这个说法是错误的。
对称分量法不能用来简化参数不对称三相系统的短路电流计算。下面从原理、适用条件和对比三个方面详细解释原因。
一、对称分量法的适用前提:线性与对称
对称分量法是分析线性、三相对称系统 中不对称运行状态(如各种短路、断线)的数学工具。其成立依赖于两个核心前提:
-
系统必须是线性的:满足叠加定理。
-
系统网络本身必须是三相参数对称的:即系统的自阻抗和互阻抗具有循环对称性。
-
只有满足以上条件,经过对称分量变换(乘以变换矩阵 T )后,系统的阻抗矩阵才能变为对角化的序阻抗矩阵:

这个对角形式意味着:正序、负序、零序网络是相互独立、解耦的。正序电流只产生正序压降,不会激发负序或零序电压,反之亦然。这是对称分量法能够"简化"计算的根本------将复杂的不对称三相问题,转化为三个独立的、相对简单的单相序网络问题。
二、"参数不对称系统"破坏了关键前提
"参数不对称的三相系统"是指系统网络本身的元件参数在三相上就不相等,例如:
-
一段未换位的长距离输电线路,三相线路的间距不等导致电感、电容参数不对称。
-
一个三相参数存在差异的电抗器或变压器。
-

-
注入的正序电流不仅会产生正序压降,还会产生负序和零序压降。
-
注入的负序电流也会耦合产生正序和零序压降。
在这种情况下,正序、负序、零序网络不再是独立的。我们无法建立三个互不关联的序网络方程来单独求解。此时,试图使用对称分量法,不仅无法简化,反而会使方程变得更加复杂(因为引入了耦合项),完全失去了其"解耦简化"的优势。
三、正确与错误场景的对比
| 场景 | 系统网络特征 | 能否用对称分量法简化短路计算? | 原因 |
|---|---|---|---|
| 正确应用场景 | 对称系统 + 不对称故障 (如:完全对称的输电网络发生单相接地短路) | 能 | 系统本身对称,序网络解耦。故障的不对称性仅体现在故障点的边界条件上,可以通过连接三个独立的序网络来模拟。 |
| 本题错误场景 | 不对称系统 (如:三相参数不等的线路发生任何短路) | 不能 | 系统本身的不对称性导致了序网络的固有耦合。即使没有故障,正常运行也会有序分量耦合。再叠加上故障的边界条件,无法分离出独立的序网络方程。 |
四、如何分析参数不对称系统的短路?
对于参数不对称的系统,通常需要采用更复杂的方法,例如:
-
直接相坐标法:直接在ABC三相坐标系下建立和求解网络方程。这是最通用且准确的方法,但计算量较大。
-
使用广义或修正的对称分量法:通过更复杂的变换矩阵(如特征值变换)试图重新解耦,但这通常依赖于具体的不对称模式,不具有普适的简便性。
总结
对称分量法是一个针对"对称网络"分析"不对称事件"的工具。它的威力源于对称网络带来的"序解耦"特性。
因此,命题 "对于参数不对称的三相系统可以采用对称分量法来简化其短路电流的计算" 是错误的。系统本身参数不对称会破坏序网络解耦的基础,使对称分量法失效,无法达到简化的目的。 这是电力系统分析中一个重要的概念区分。