目录
[2、Work Queue(工作队列)](#2、Work Queue(工作队列))
[3、Publish/Subscribe(发布 / 订阅)](#3、Publish/Subscribe(发布 / 订阅))
[6、RPC(RPC 通信)](#6、RPC(RPC 通信))
[7、Publisher Confirms(发布确认)](#7、Publisher Confirms(发布确认))
[五、可靠性、顺序性、幂等性 、死信、延迟队列、消息积压](#五、可靠性、顺序性、幂等性 、死信、延迟队列、消息积压)
一、MQ的作用及应用场景
消息队列MQ是一种应用程序间的通信方法,允许系统组件以异步的方式进行交互,有以下应用场景:
1.1、异步解耦:提升系统响应速度
核心逻辑 :将非核心、耗时操作异步化,避免主流程阻塞。
典型案例:用户注册流程中,主流程仅完成账号创建、数据入库,而短信验证、邮件通知、积分发放等操作通过 MQ 异步处理。用户无需等待这些附加操作完成,即可收到注册成功反馈,系统响应时间从数百毫秒缩短至数十毫秒。
优势:降低模块间依赖,某一异步操作故障不会影响主流程,提升系统可用性。
1.2、流量削峰:应对突发流量冲击
核心逻辑 :通过 MQ 缓冲突发请求,避免后端服务因瞬时高负载崩溃。
典型案例:电商秒杀 / 促销活动中,瞬时请求量可能达到平时的 10-100 倍。MQ 将所有请求排队存储,后端服务根据自身处理能力(如每秒 1000 笔)逐步消费队列中的请求,避免数据库、接口因过载拒绝服务。
优势:无需按峰值流量配置硬件资源,降低系统运维成本。
1.3、异步通信:按需延迟处理
核心逻辑 :应用无需立即处理消息,可在资源空闲时批量处理。
典型案例:日志收集系统中,业务服务器将日志写入 MQ,日志分析服务在夜间低峰期批量拉取日志进行分析计算,既不影响白天业务运行,又能充分利用闲置资源。
1.4、消息分发:多系统协同响应
核心逻辑 :同一消息需被多个系统处理时,通过 MQ 广播分发,替代多系统轮询数据库。
典型案例:支付成功后,支付系统向 MQ 发送 "支付完成" 消息,订单系统(更新订单状态)、库存系统(扣减库存)、财务系统(记账)、积分系统(增加积分)订阅该消息,同步完成各自业务逻辑,避免多系统频繁查询支付结果。
1.5、延迟通知:定时触发业务逻辑
核心逻辑 :利用延迟队列功能,在指定时间后触发通知或业务处理。
典型案例:电商订单超时未支付自动取消、外卖订单超时未接单提醒、会员到期续费通知等,通过 MQ 延迟消息精准控制触发时间,无需开发复杂的定时任务系统。
二、主流MQ产品对比
Kafka、RabbitMQ、RocketMQ 的区别是什么?
不同 MQ 分别适用于什么场景?
|------------|----------------------------|--------------------------|----------------------|
| 特性 | RabbitMQ | Kafka | RocketMQ |
| 开发语言 | Erlang | Scala | Java |
| 核心优势 | 功能完备、生态成熟、支持多语言 | 高吞吐量、高可靠性、适合大数据 | 分布式支持好、稳定性强 |
| 单机吞吐量 | 万级 / 秒 | 十万级 / 秒 | 十万级 / 秒 |
| 支持语言 | 几乎所有主流语言(Java、Python、Go 等) | 支持主流语言,但客户端生态不如 RabbitMQ | 主要支持 Java,其他语言客户端较少 |
| 社区活跃度 | 高(文档更新频繁) | 高(大数据领域热门) | 一般 |
| 核心适用场景 | 中小型系统、并发适中、对功能完整性要求高 | 日志聚合、大数据处理、实时分析 | 大规模分布式系统、互联网金融、高并发场景 |
| 功能特性 | 支持死信队列、延迟队列、发布确认、重试机制等完备特性 | 功能简单,主要聚焦高吞吐消息传输 | 支持分布式事务、定时消息等企业级特性 |
三、RabbitMQ核心流程
3.1、核心组件详解
(1)Producer(生产者)
定义:消息的发送者,负责创建消息并发送到 RabbitMQ 服务器。
关键操作:建立连接、声明交换机 / 队列、绑定关系、发送消息。
(2)Consumer(消费者)
定义:消息的接收者,监听队列并处理收到的消息。
关键操作:建立连接、订阅队列、消费消息、发送确认(ACK)。
(3)Broker(消息代理)
定义:RabbitMQ 服务器实例,本质是一个中间件节点,负责接收、存储、转发消息。
核心职责:维护连接、管理交换机和队列、执行路由规则、处理消息持久化。
(4)Connection(网络连接)
定义:生产者 / 消费者与 Broker 之间的 TCP 连接。
注意事项:TCP 连接创建和销毁开销较大,通常不会频繁创建,而是通过 Channel 复用。
(5)Channel(信道)
定义:Connection 内部的虚拟通道,是消息传输的实际载体。
核心价值:复用单个 TCP 连接,减少连接开销,同时实现隔离(一个 Connection 可创建多个 Channel,各自独立传输消息)。
(6)Exchange(交换机)
定义:接收生产者发送的消息,根据路由键(Routing Key)和绑定规则(Binding)将消息路由到对应的队列。
核心特性:本身不存储消息,若未找到匹配的队列,消息会被丢弃或退回(取决于生产者配置)。
(7)Queue(队列)
定义:存储消息的容器,直到消息被消费者消费。
核心特性:队列是持久化的(可配置),消息按 FIFO(先进先出)顺序存储和消费。
(8)Binding(绑定)
定义:交换机与队列之间的关联关系,包含路由键(Routing Key)和绑定类型。
作用:告诉交换机如何将消息路由到具体队列。
3.2、工作流程

- 连接建立 :生产者 / 消费者通过 TCP 连接到 Broker,再创建 Channel(避免频繁创建 TCP 连接)。
- 资源声明 :生产者需声明交换机和队列,并通过 Binding 将两者关联(指定路由规则),若资源已存在则直接复用。
- 消息发布 :生产者通过 Channel 发送消息,消息包含内容和路由键(Routing Key)。
- 路由转发:交换机根据路由键和绑定规则,将消息路由到一个或多个队列。
- 消息存储:队列接收消息后,按配置进行持久化(若开启),并存储直到被消费。
- 消息消费:消费者监听队列,收到消息后进行业务处理。
- 消息确认 :消费者处理完成后,向 Broker 发送 ACK 确认,Broker 收到后删除队列中的该消息。
四、RabbitMQ工作模式
1、Simple(简单模式)

核心特点 :一对一通信:一个生产者→一个队列→一个消费者
适用场景:单一生产者、单一消费者的简单场景(如日志写入)
实现要点 :无需交换机,生产者直接发送消息到队列,消费者监听该队列
2、Work Queue(工作队列)

核心特点 :一对多通信:一个生产者→一个队列→多个消费者
适用场景:任务分发(如订单处理、数据计算),需负载均衡
实现要点 :多个消费者监听同一队列,RabbitMQ 默认采用 "轮询" 分发消息;通过
basicQos设置预取数,实现 "能者多劳"
3、Publish/Subscribe(发布 / 订阅)

核心特点 :广播通信:一个生产者→交换机→多个队列→多个消费者
适用场景:消息广播(如系统通知、状态同步)
实现要点 :交换机类型为 Fanout,生产者发送消息到交换机,交换机将消息路由到所有绑定的队列,每个队列的消费者都能收到消息
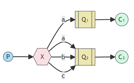
4、Routing(路由模式)

核心特点 :定向通信:基于路由键精准匹配
适用场景:消息需要按类别分发(如错误日志仅发送给运维系统,访问日志发送给统计系统)
实现要点 :交换机类型为 Direct,队列绑定交换机时指定路由键,生产者发送消息时指定路由键,交换机仅将消息路由到路由键匹配的队列
5、Topics(通配符模式)

核心特点 :模糊匹配通信:基于通配符路由键匹配
适用场景:更灵活的路由场景(如按用户地区、业务类型分发消息)
实现要点 :交换机类型为 Topic,路由键支持通配符(
*匹配一个单词,#匹配多个单词),如order.#可匹配order.create、order.pay.success
6、RPC(RPC 通信)

核心特点 :远程调用:消费者作为服务提供者,生产者作为调用者
适用场景:需同步获取调用结果的场景(如查询用户信息)
实现要点 :生产者发送 RPC 请求消息(含回调队列),消费者处理后将结果发送到回调队列,生产者监听回调队列获取结果
7、Publisher Confirms(发布确认)

核心特点 :确保消息可靠投递
适用场景:所有需要保证消息不丢失的场景
实现要点 :开启发布确认模式,生产者监听 Broker 的确认响应,处理成功 / 失败情况
五、可靠性、顺序性、幂等性 、死信、延迟队列、消息积压
以上几个问题可见另一篇笔记: