给你一个二叉树的根节点 root , 检查它是否轴对称。
示例 1:

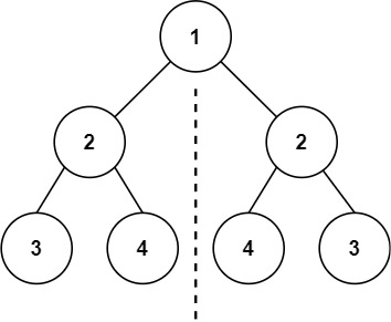
输入:root = [1,2,2,3,4,4,3]
输出:true
示例 2:

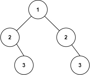
输入:root = [1,2,2,null,3,null,3]
输出:false
提示:
- 树中节点数目在范围
[1, 1000]内 -100 <= Node.val <= 100
**进阶:**你可以运用递归和迭代两种方法解决这个问题吗?
cpp
class Solution {
public:
bool check(TreeNode *p, TreeNode *q) {
if (!p && !q) return true;
if (!p || !q) return false;
return p->val == q->val && check(p->left, q->right) && check(p->right, q->left);
}
bool isSymmetric(TreeNode* root) {
return check(root->left, root->right);
}
};