在轴类零件中,在台阶处经常会碰到倒圆角的要求,像下面这个图的要求:
直径12mm宽度19mm的台阶处标注了一个R5的圆角,这个圆角要如何绘制出来?如果要自动绘制图形时,这个圆弧又该如何绘制出来呢?大家有没有想到?下面来看看有哪些方法解决这个问题:
一般都是先把能确定的尺寸绘制出来:
直径12的一条边偏移5mm,也就是倒圆角的半径值,然后以尖点为圆心绘制一个圆。这样偏移的直线和圆会产生一个焦点。

再以这个交点为圆心绘制R5的圆,这样就既过尖点,又和φ12的圆柱面相切了。
再把多余的线修剪掉就得到我们想要的圆角了,这个目前是我想到的采用绘图的方法了,大家有其他更好的方法吗?欢迎评论留言。
那如果自动绘图要怎么做呢?当然要抽象出数学模型才行,来看下面这个图:
这样是不是还是不是很清楚,那么就这么处理一下,分成一个矩形和一个三角形,这个例子比较特殊,三角形刚好是我们最熟悉的"勾三股四弦五"的这个直角三角形。
下面就在进一步,把这些已知条件用符号来标注出来,这样就更容易抽象出数学模型了:
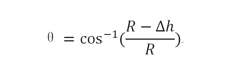
可以看到:首先建立坐标系,△h=(D2-D1)/2,要求的圆角半径为R,刚才那个三角形的一条直角边为(R-△h),另外一条直角边用勾股定理a²+b²=c²计算就可以了。这样的话,圆心的坐标也就清楚了:
有了圆心坐标,还差一步就可以绘制出倒圆角的这段圆弧了,绘制圆弧只要知道起始角度和终止角度就可以。
可以看上面这个图,圆弧对应的圆心角θ就是直角三角形的一个锐角,这个角度计算也没什么难度,一个反余弦函数搞定,有了数学模型就可以编程实现自动绘图。
至此,这个台阶轴倒圆角的的问题就差不多了,问题虽然简单,但是很多类似问题的解决方法都可以参考上面的过程,今天就分享到这吧,希望阅读后能对您有所帮助。