技术栈
【Python】【机器学习】逻辑回归
癫狂的兔子
2026-02-19 9:32
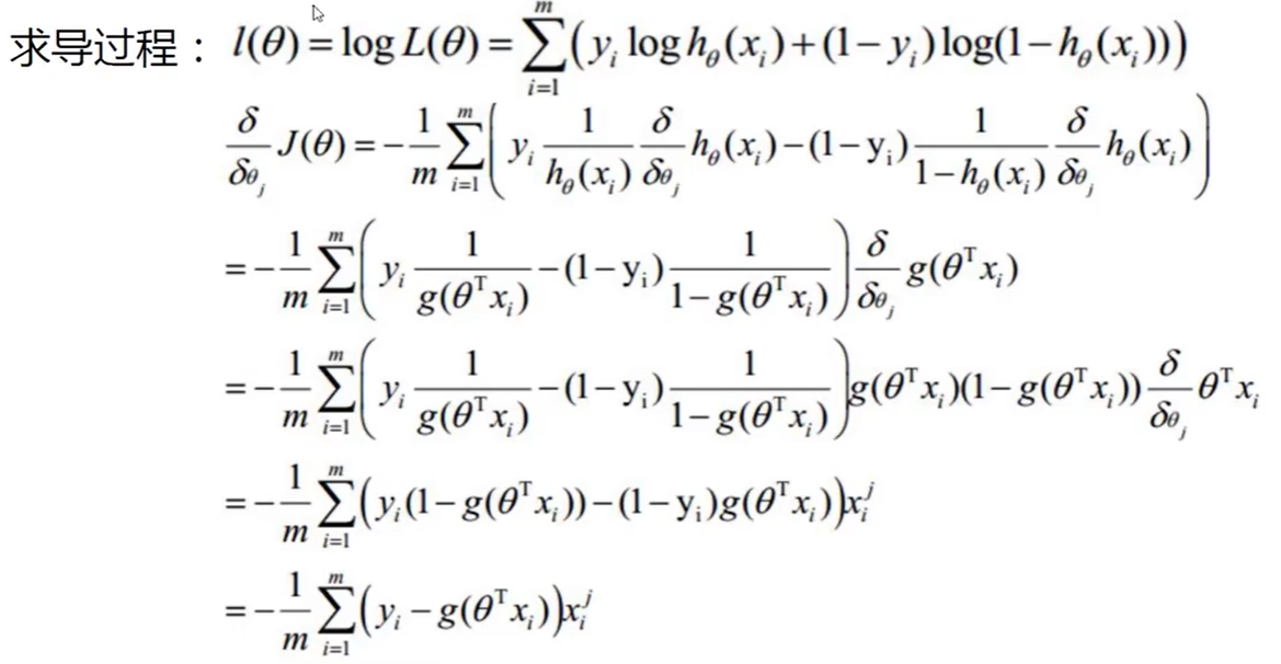
逻辑回归是分类算法
线性回归的预测值为z(即θTxθ^TxθTx),带入sigmod函数中
python
机器学习
逻辑回归
上一篇:
前端面试基础知识整理【Day-6】
下一篇:
硬核调试:在 Keil 中通过全手动栈回溯定位 FreeRTOS 死机任务
相关推荐
会员源码网
1 小时前
Python中生成器函数与普通函数的区别
python
Java水解
2 小时前
Python开发从入门到精通:Web框架Django实战
后端
·
python
曲幽
3 小时前
FastAPI + PostgreSQL 实战:给应用装上“缓存”和“日志”翅膀
redis
·
python
·
elasticsearch
·
postgresql
·
logging
·
fastapi
·
web
·
es
·
fastapi-cache
Lupino
6 小时前
别再只聊 AI 写代码了:技术负责人要把“变更治理”提到第一优先级
python
·
docker
·
容器
Flittly
8 小时前
【从零手写 ClaudeCode:learn-claude-code 项目实战笔记】(6)Context Compact (上下文压缩)
python
·
agent
曲幽
18 小时前
FastAPI + PostgreSQL 实战:从入门到不踩坑,一次讲透
python
·
sql
·
postgresql
·
fastapi
·
web
·
postgres
·
db
·
asyncpg
哥布林学者
21 小时前
高光谱成像(六)滤波匹配 MF
机器学习
·
高光谱成像
用户835629078051
1 天前
使用 C# 在 Excel 中创建数据透视表
后端
·
python
码路飞
1 天前
FastMCP 实战:一个 .py 文件,给 Claude Code 装上 3 个超实用工具
python
·
ai编程
·
mcp
dev派
1 天前
AI Agent 系统中的常用 Workflow 模式(2) Evaluator-Optimizer模式
python
·
langchain
热门推荐
01
GitHub 镜像站点
02
OpenClaw 使用和管理 MCP 完全指南
03
本地部署 OpenClaw + DeepSeek-R1 完全指南
04
OpenClaw 连接飞书完整指南:插件安装、配置与踩坑记录
05
OpenClaw 飞书机器人不回复消息?3 小时踩坑总结
06
Window 10部署openclaw报错node.exe : npm error code 128
07
OpenClaw 接入 QQ Bot 完整实践指南
08
OpenClaw macOS 完整安装与本地模型配置教程(实战版)
09
npm-error code 128问题解决方法
10
得物前端部门,没了