回归与分类的深度解析:机器学习中的两大核心预测任务
在机器学习领域,回归和分类是两种最基本的监督学习方法,它们构成了预测模型的核心基础。理解这两者的区别对于选择正确的算法、设计合适的模型以及解决实际问题至关重要。
核心概念定义
回归(Regression)
回归分析旨在预测连续的数值型输出。在回归问题中,模型学习输入特征与连续目标变量之间的关系,并能够预测任意实数值。
典型示例:
- 房价预测:根据房屋面积、位置、房龄等特征预测房屋价格
- 股票价格预测:基于历史数据预测未来股价
- 温度预测:根据气象数据预测未来温度值
分类(Classification)
分类任务的目标是将数据划分到预定义的离散类别中。模型需要学习决策边界,将新的数据点分配到最可能的类别。
典型示例:
- 垃圾邮件检测:将邮件分类为"垃圾邮件"或"非垃圾邮件"
- 疾病诊断:根据症状判断患者是否患有某种疾病
- 图像识别:识别图片中的物体属于哪个类别(猫、狗、汽车等)
核心区别对比
下表清晰地展示了回归与分类在各方面的主要差异:
| 比较维度 | 回归 | 分类 |
|---|---|---|
| 输出类型 | 连续数值 | 离散类别 |
| 预测目标 | 数值大小 | 类别标签 |
| 评估指标 | 均方误差(MSE)、R²分数 | 准确率、精确率、召回率、F1分数 |
| 算法示例 | 线性回归、多项式回归 | 逻辑回归、决策树、SVM |
| 应用场景 | 数值预测、趋势分析 | 模式识别、决策判断 |
技术实现差异
回归模型实现
以线性回归为例,使用scikit-learn的实现代码如下:
python
import pandas as pd
from sklearn.linear_model import LinearRegression
from sklearn.metrics import mean_squared_error, r2_score
# 数据准备 - 回归问题
# 假设我们有一个房价数据集
data = pd.read_csv("housing_data.csv")
X = data[['square_feet', 'bedrooms', 'location_score']] # 特征:面积、卧室数、位置评分
y = data['price'] # 目标变量:价格(连续值)
# 创建并训练回归模型
reg_model = LinearRegression()
reg_model.fit(X, y)
# 预测新数据
new_house = [[1500, 3, 8.5]] # 1500平方英尺,3卧室,位置评分8.5
predicted_price = reg_model.predict(new_house)
print(f"预测房价: ${predicted_price[0]:.2f}")
# 模型评估
y_pred = reg_model.predict(X)
mse = mean_squared_error(y, y_pred)
r2 = r2_score(y, y_pred)
print(f"均方误差: {mse:.2f}")
print(f"R²分数: {r2:.4f}")
分类模型实现
以逻辑回归为例的分类实现:
python
import pandas as pd
from sklearn.linear_model import LogisticRegression
from sklearn.metrics import accuracy_score, classification_report
# 数据准备 - 分类问题
# 假设我们有一个客户流失预测数据集
data = pd.read_csv("customer_churn.csv")
X = data[['usage_frequency', 'customer_tenure', 'support_calls']] # 特征:使用频率、客户任期、支持电话数
y = data['churn'] # 目标变量:是否流失(0=否,1=是)
# 创建并训练分类模型
clf_model = LogisticRegression()
clf_model.fit(X, y)
# 预测新数据
new_customer = [[15, 24, 2]] # 月使用15次,客户任期24月,2个支持电话
predicted_churn = clf_model.predict(new_customer)
predicted_prob = clf_model.predict_proba(new_customer)
print(f"预测结果: {'会流失' if predicted_churn[0] == 1 else '不会流失'}")
print(f"流失概率: {predicted_prob[0][1]:.2%}")
# 模型评估
y_pred = clf_model.predict(X)
accuracy = accuracy_score(y, y_pred)
print(f"分类准确率: {accuracy:.2%}")
print(classification_report(y, y_pred))
数学本质差异
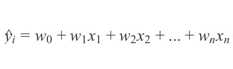
回归的数学基础
回归模型通常基于最小二乘法原理,目标是最小化预测值与真实值之间的平方误差:

其中: 
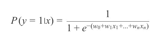
分类的数学基础
分类模型(如逻辑回归)使用概率框架,通过sigmoid函数将线性组合映射到[0,1]区间:

然后基于阈值(通常为0.5)进行类别判断。
实际应用场景分析
回归的典型应用领域
- 金融预测:股票价格、汇率波动、投资回报率预测
- 销售预测:产品需求量、销售额趋势分析
- 科学研究:物理实验数据拟合、生物生长模型
- 工程应用:材料强度预测、设备寿命估计
分类的典型应用领域
- 医疗诊断:疾病检测、治疗效果分类
- 网络安全:入侵检测、恶意软件分类
- 自然语言处理:情感分析、文本分类
- 计算机视觉:人脸识别、物体检测
评估指标深度解析
回归评估指标
- 均方误差(MSE):衡量预测值与真实值差异的平方均值
- 平均绝对误差(MAE):预测误差的绝对值的平均值
- R²分数:模型解释的目标变量方差比例,越接近1越好
分类评估指标
- 准确率:正确分类的样本比例
- 精确率:正类预测中真正为正的比例
- 召回率:真正为正的样本中被正确预测的比例
- F1分数:精确率和召回率的调和平均
边界情况的处理
在实际应用中,有时会遇到介于回归和分类之间的问题:
- 序数回归:输出是有序类别(如评分1-5星)
- 概率预测:输出是事件发生的概率(0-1之间的连续值)
- 多输出回归:同时预测多个连续值
这些情况需要根据具体业务需求选择合适的建模方法。
算法选择的实践指导
选择回归还是分类取决于问题的本质:
- 如果答案是"多少"或"多大" → 选择回归
- 如果答案是"是/否"或"属于哪一类" → 选择分类
- 考虑业务需求:需要具体数值还是类别判断
- 数据特征:目标变量的类型和分布
理解回归与分类的根本区别是机器学习实践的基础。正确区分这两种任务类型,选择适当的算法和评估指标,对于构建有效的预测模型至关重要。在实际项目中,这种理解能够帮助数据科学家更好地定义问题、选择方法并解释结果,从而为企业创造真正的价值。