给你一个链表,两两交换其中相邻的节点,并返回交换后链表的头节点。你必须在不修改节点内部的值的情况下完成本题(即,只能进行节点交换)。

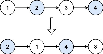
输入:head = [1,2,3,4]
输出:[2,1,4,3]
示例 2:
输入:head = []
输出:[]
示例 3:
输入:head = [1]
输出:[1]
java
if (head == null || head.next == null) {
return head;
}
ListNode subHead = swapPairs(head.next.next);
ListNode headNext = head.next;
headNext.next = head;
head.next = subHead;
return headNext;
