关键词:瞬态,热传导,有限元求解器,三角形单元
热传递有三种方式:热传导、热对流、热辐射。就热传导问题而言,无论是结构力学还是流体力学都会涉及,两边都没拿它当外人。
前面的文章提到过,结构力学的有限元发展地非常成熟,大部分的刚度矩阵在文献里面都推导好了。而流体力学的很多单元类型的有限元方程,可能需要自行推导完成。在热传导问题中,我采用加权余量法进行处理,推导出了符合结构力学有限元文献中给出的刚度矩阵,殊途同归。
实际上,传统的结构力学有限元三大控制方程:几何方程、物理方程、平衡方程。几何方程描述位移-应变关系,物理方程描述应力-应变关系,平衡方程描述内应力-外载荷关系。传热问题从控制方程角度,更偏向流体力学(能量方程)。但是热对于结构变形太重要了,因此结构有限元必须要把传热问题解决掉。
从结构力学跨到流体力学,在有限元方法中,流体力学控制方程左边的矩阵都可以用刚度矩阵去看待它。控制方程的右边的列阵,都可以用载荷的角度去看待,对于第二类边界条件,则可以分成左侧矩阵的修正+右侧列阵的载荷组合。有些文献上,用所谓的"内部单元方程"、"边界单元方程"的描述,会增加我们的困惑,可以不必纠结在此。
控制方程
二维瞬态热传导控制方程如下:

这个方程里面的常数有密度、比热容、导热系数。
三种边界条件:
(1) 已知边界温度值,属于第一类边界条件,它的处理就和结构有限元里面的位移以一样,可以用置大数法对方程左边的矩阵进行约束处理。
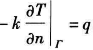
(2) 已知边界热流密度,属于第二类边界条件,作为热源。可以类比到结构有限元里面的均布载荷。

(2) 已知边界对流换热系数和接触环境温度,也属于第二类边界条件。这个边界条件在处理的时候,需要进行拆分,一部分放到左侧单元矩阵,一部分作为右侧的载荷。

有限元思路
这部分在结构有限元教材中介绍的比较多,流程:
(1) 根据单元类型,确定插值函数。此时单元温度用权函数表达。
(2) 采用伽辽金方法,权函数=插值函数,控制方程与权函数相乘,积分取0。
(3) 在每个单元域内,方程转换为权函数的积分形式,最终形成单元矩阵。
单元方程
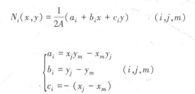
使用三角形线性单元对应的插值函数:

有些教材中,会把面积项提取出来,写成以下这种形式,所以有的教材上刚度矩阵结果用a、b、c表达的时候,会存在差异,但是本质都是一样的。

最终单元方程如下,其中M是热容矩阵,K是传导矩阵,F是热载荷。

热容矩阵乘的是温度的导数。在瞬态问题的求解中,导数项可以写成前后时间变量差值与时间间隔的比值:

代入后得到如下形式:

求解思路
在求解过程中,把Tn+1当作未知量,Tn作为已知量。这样在每个时间点,求解方法和结构有限元方法一致。
初始时候,可以指定一个温度作为全域已知初始温度,然后在迭代过程中,Tn和Tn+1会逐渐接近,达到收敛状态。
案例效果
设计案例如下,同时包含对流换热边界条件和热流,时间总长10000s,每步时间间隔50s。

自研求解器和商用软件结果对比如下,从结果可以看出,自研求解器结果与商用软件结果一致。

自研求解器结果:最终温度分布

商用软件结果:最终温度分布

自研求解器结果:平均温度时间曲线

商用软件结果:平均温度时间曲线