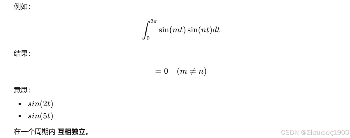
一、三角函数的正交性
定义
在向量空间中:

说明两个向量 正交(垂直)。
三角函数也是一样,只不过"内积"变成了 积分。

就像:
x轴 ⟂ y轴
三角函数正交性公式
在区间 [−π,π][0,2π]:
1、 sin 与 sin

2 、cos 与 cos

3 、sin 与 cos

所以:
| 函数 | 关系 |
|---|---|
| sin(m) vs sin(n) | 正交 |
| cos(m) vs cos(n) | 正交 |
| sin vs cos | 正交 |
为什么会正交

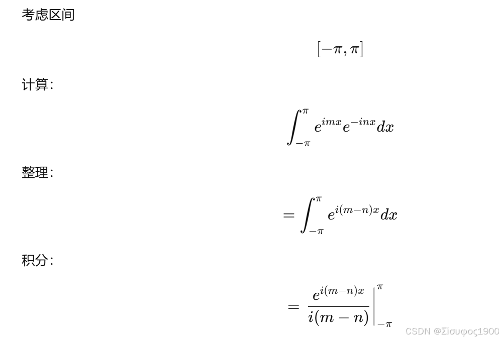
二、推导过程
1、起点:欧拉公式

2、复指数函数的正交性
上面已经证明了三角函数的正交性,那我们可以带入到里面来显示指数函数的正交性

这里要证明一个东西就是

证明如下:

当
m=n的时候

当
m≠n的时候

那么就有:

这说明:
复指数函数构成一组正交基。
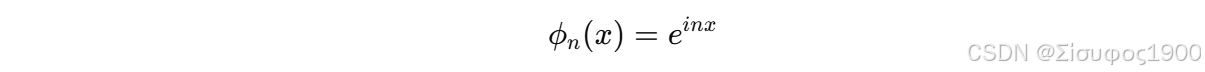
3、2个向量函数展开
C =c1,c2,c3] E=[e1,e2,e3]
那么 v=c1e1+c2e2+c3e3
函数也可以展开

如果基函数选为

就得到了傅里叶级数
4、傅里叶级数

求傅里叶系数





