试剂基本信息
中文名称:光敏生物素乙酸盐
英文名称:Photobiotin acetate salt
CAS号:96087-38-6
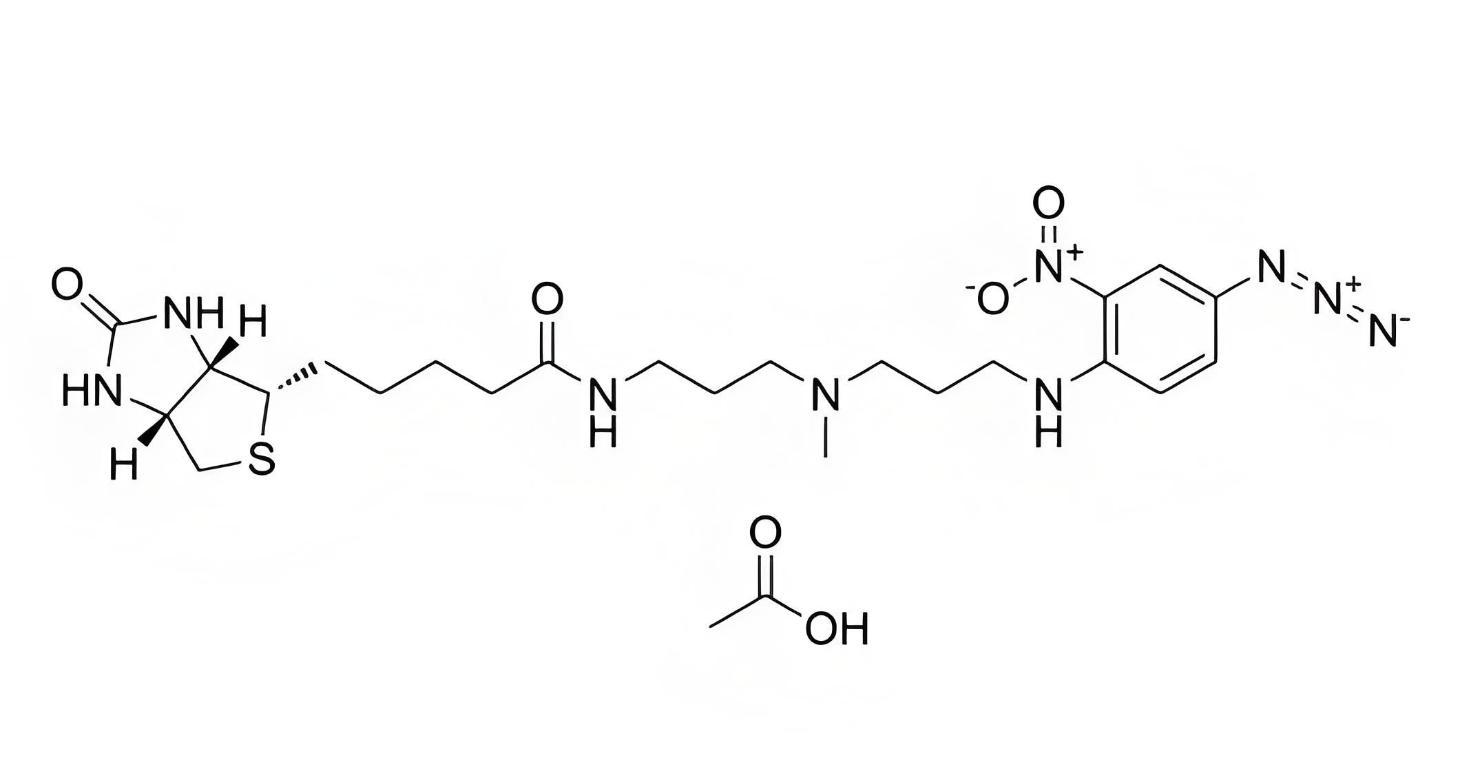
分子式:C25H39N9O6S
分子量:593.70
性状:粉末
纯度:95%+
规格:5mg,10mg
供应厂家:西安强化生物
储存条件:-20℃避光干燥保存,避免反复冻融
试剂描述
Photobiotin acetate salt 是一种光敏型生物化学试剂,核心用于生物科研中核酸、蛋白质等分子的标记与检测,凭借光敏活性和特异性结合能力,成为分子生物学实验中的常用工具,广泛应用于基础科研实验场景。

核心特点
光敏性突出,经可见光短暂照射后可与核酸、蛋白质形成稳定连接,实现目标分子的快速标记,操作便捷高效。
标记灵敏度高,可检测低至0.5 pg的目标核酸,能精准捕捉微量目标分子,提升实验检测精度。
适用性广,可适配单链、双链核酸及蛋白质的标记,且易与亲和素类物质结合,适配多种实验体系。
化学性质
外观多为粉末状,易溶于水,溶解度可达10mg/ml,溶解后形成均一稳定的溶液,无明显沉淀。
化学结构稳定,分子式为C25H39N9O6S,分子量约593.70,纯度不低于95%,性质稳定可控。
相关试剂
Biotin-SS-azide
Biotin-PEG12-OH
Biotin-PEG2-Br
Biotin-PEG5-Br
Biotin-NHS ester
Biotin-SS-azide
Biotin-PEG7-Br
Biotin-SS-azide
Biotin-PEG1-Br
Desthiobiotin-Iodoacetamide
DBCO-Biotin
APN-C3-Biotin
Biotin-SS-Hexyn
DOTA-p-NH2-Bn-biotin
Biotin-Cy2 Conjugate
Biotin-PEG11-OH
Biotin-SS-azide
Biotin-C6-iodoacetamide
Biotin-PEG3-Br
Desthiobiotin-PNB ester
以上内容由西安强化生物MA整理,感谢您的阅读,我们下期再会。
注意:本试剂仅供科研使用,不可用于人类药用及食用领域。