试剂基本信息
中文名称:光敏生物素乙酸盐
英文名称:Photobiotin acetate salt
CAS号:96087-38-6
分子式:C25H39N9O6S
分子量:593.70
性状:粉末
纯度:95%+
规格:5mg,10mg
供应厂家:西安强化生物
储存条件:-20℃避光干燥保存,避免反复冻融
试剂描述
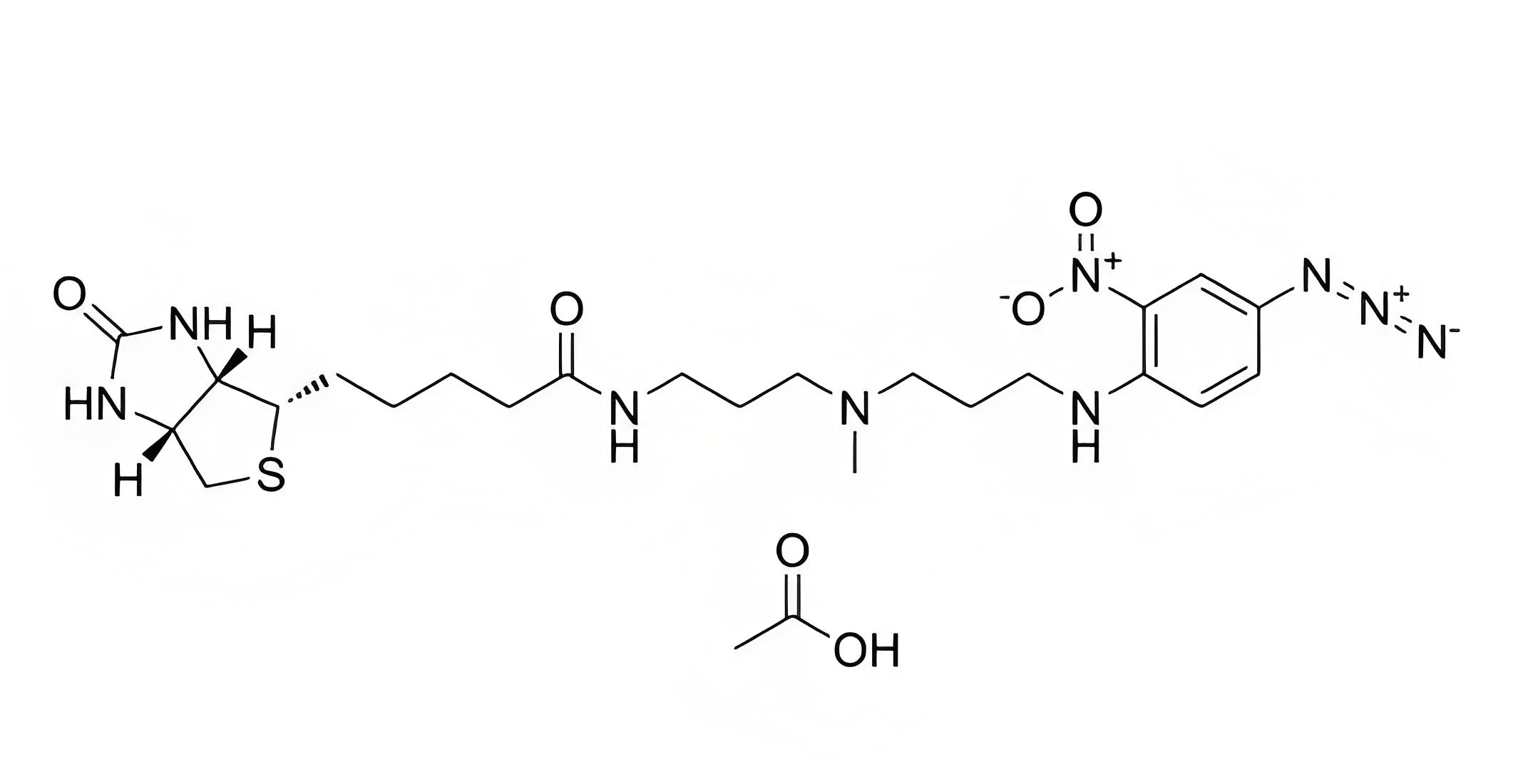
Photobiotin acetate salt(光生物素乙酸盐)是一种兼具光反应性与生物素高亲和结合能力的功能性试剂,广泛应用于分子生物学、细胞生物学等领域。

核心特点
光控精准性:在紫外光照射下,其光敏基团可被激活,生成活泼中间体,与周围生物分子(如蛋白质、核酸)的氨基、巯基等基团发生共价结合,实现靶向分子的定点标记。这种特性使其适用于复杂生物体系(如活细胞)中动态过程的研究,减少非特异性标记干扰。
高亲和性与稳定性:保留生物素基本结构,能与亲和素或链霉亲和素高亲和力结合,结合稳定且特异性强,便于标记后分子的纯化、富集与检测。共价结合产物稳定性高,可耐受后续实验处理。
化学性质
分子组成:由光敏基团(4-叠氮基-2-硝基苯胺结构)、连接臂和生物素部分组成,乙酸盐形式提升水溶性与稳定性。
物理性质:外观为橙色至红色粉末,易溶于水及多数有机溶剂,水溶液在261nm和474nm处有特征吸收峰。
相关试剂
Biotin-SS-azide
Biotin-PEG11-OH
Biotin-PEG2-Br
Biotin-Cy2 Conjugate
Biotin-PEG1-Br
Biotin-SS-azide
Biotin-SS-azide
Biotin-PEG5-Br
DOTA-p-NH2-Bn-biotin
Biotin-SS-azide
Biotin-PEG3-Br
Biotin-PEG7-Br
APN-C3-Biotin
Desthiobiotin-Iodoacetamide
Desthiobiotin-PNB ester
Biotin-SS-Hexyn
Biotin-NHS ester
DBCO-Biotin
Biotin-C6-iodoacetamide
Biotin-PEG12-OH
以上内容由西安强化生物MA整理,感谢您的阅读,我们下期再会。
注意:本试剂仅供科研使用,不可用于人类药用及食用领域。