试剂基本信息
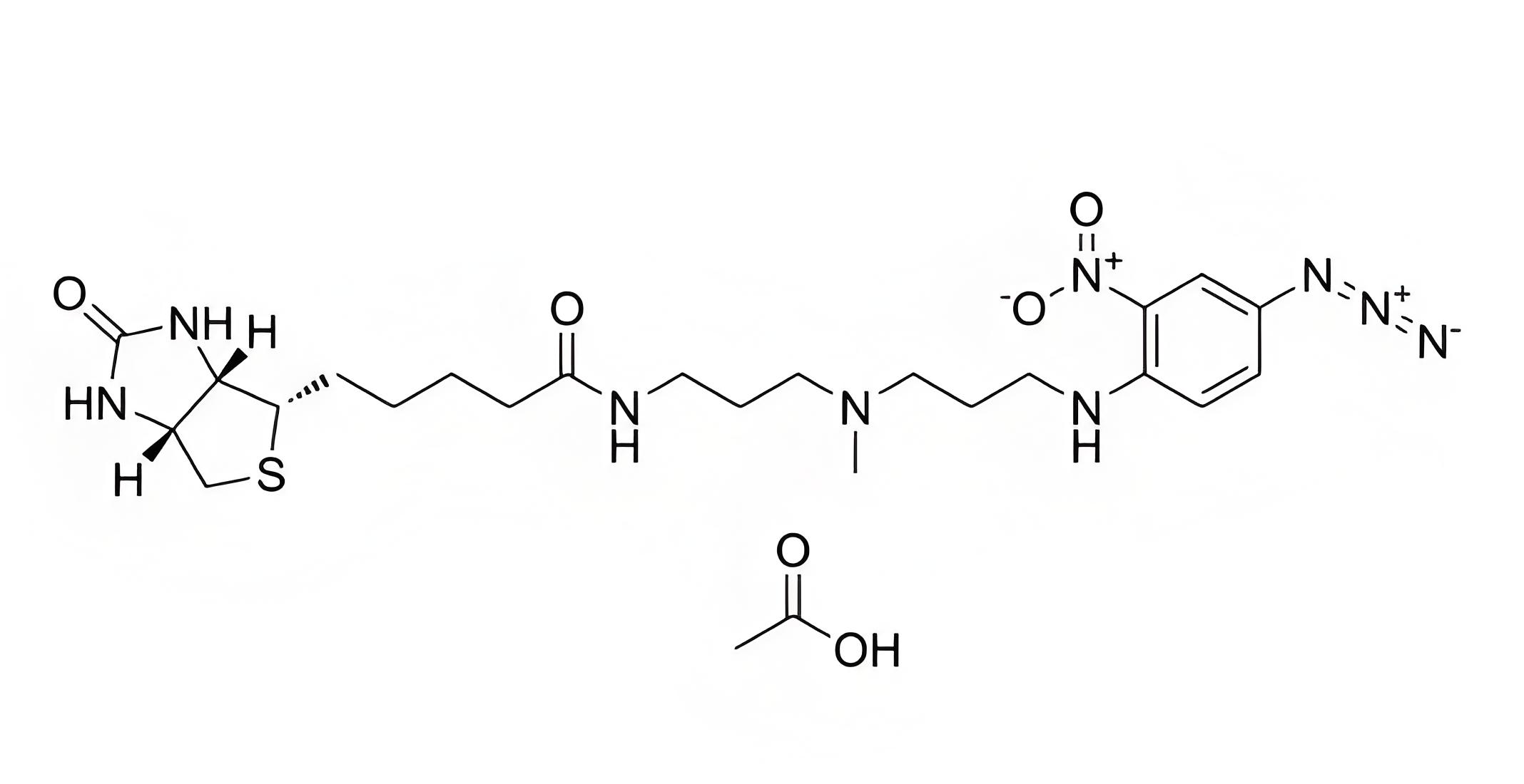
中文名称:光敏生物素乙酸盐
英文名称:Photobiotin acetate salt
CAS号:96087-38-6
分子式:C25H39N9O6S
分子量:593.70
性状:粉末
纯度:95%+
规格:5mg,10mg
供应厂家:西安强化生物
储存条件:-20℃避光干燥保存,避免反复冻融
试剂描述
Photobiotin acetate salt(光敏生物素乙酸盐)是一种用于分子生物学研究的光活化标记试剂。它由生物素通过一个带电荷的连接臂与光反应性芳基叠氮化物基团结合而成,可在紫外光照射下与生物分子发生共价交联,广泛应用于核酸和蛋白质的标记、检测及亲和纯化等领域。

核心特点
光活化标记:含有的芳基叠氮基团在紫外光(360nm左右)照射下可生成高活性中间体,能与邻近生物分子形成稳定共价键,实现精确的时空标记。
高亲和力检测:标记后的生物素部分可与亲和素或链霉亲和素高度特异性结合,配合酶、荧光染料等报告物质,可对目标分子进行灵敏检测和可视化。
广谱适用性:能够有效标记单链DNA、线性或超螺旋双链DNA、RNA以及蛋白质,用其制备的核酸探针可检测低至0.5 pg的靶DNA。
化学性质
分子组成:CAS号为96087-38-6,分子式为C₂₃H₃₅N₉O₄S·C₂H₄O₂,分子量593.70。纯度≥95%,呈固体或粉末状。
溶解性:具有良好的水溶性,在水中溶解度可达10 mg/mL。也可在DMSO或PBS等缓冲液中溶解使用。
相关试剂
DBCO-Biotin
Biotin-Cy2 Conjugate
Biotin-SS-azide
Biotin-SS-azide
Biotin-PEG12-OH
Biotin-SS-azide
Biotin-NHS ester
Biotin-SS-azide
Biotin-PEG11-OH
APN-C3-Biotin
Desthiobiotin-Iodoacetamide
Biotin-SS-Hexyn
Biotin-C6-iodoacetamide
DOTA-p-NH2-Bn-biotin
Biotin-PEG5-Br
Desthiobiotin-PNB ester
Biotin-PEG1-Br
Biotin-PEG3-Br
Biotin-PEG7-Br
Biotin-PEG2-Br
以上内容由西安强化生物MA整理,感谢您的阅读,我们下期再会。
注意:本试剂仅供科研使用,不可用于人类药用及食用领域。