前言
本系列文章承接C++基础的学习,需要++有C语言的基础++ 才能学会哦~
第20篇主要讲的是有关于C++的++AVL树++ 。
C++才起步,都很简单!!
目录
AVL树概念
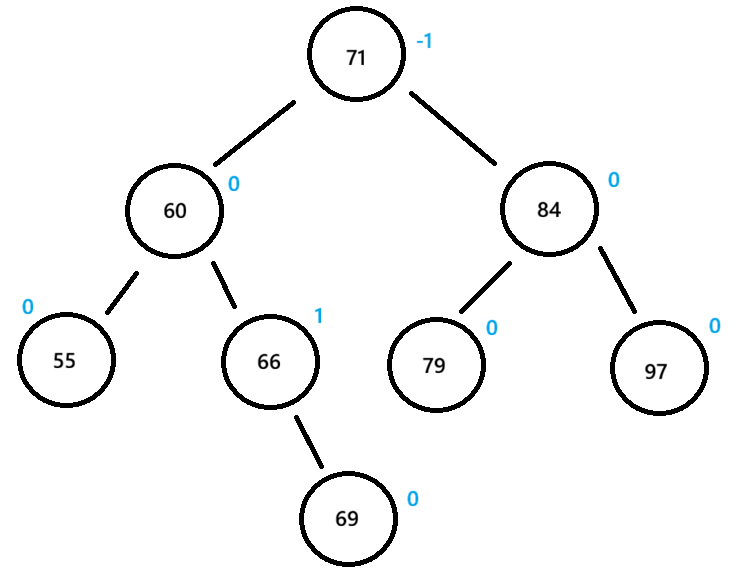
AVL树是一颗高度平衡二叉树,通过控制高度差去控制平衡,其左右子树的高度差不超过1。
**平衡因子:**二叉搜索树的每一个结点都有一个平衡因子,平衡因子 = 右子树高度 - 左子树高度。
++当平衡因子∈ [ -1, 0, 1 ] 时,该二叉搜索树为AVL树。++
因为AVL树的均衡分布,所以增删查改的效率也能控制在O(logN),相比二叉搜索树有明显上升。

图为AVL树,蓝色数字为平衡因子。
AVL树的插入
后称为++bf(balance factor)++。
①先按照二叉搜索树的规则进行插入。
②新增结点之后可能会影响祖先结点的bf。
平衡因子更新原则
Ⅰ.bf = 右子树高度 - 左子树高度
Ⅱ.只有子树高度变化才会影响当前结点的bf。
Ⅲ.插入结点,会增加高度:若新增在parent的右子树,parent的bd++;若新增在parent的左子树,parent的平衡因子--。
平衡因子更新停止条件
Ⅰ.更新后parent的 bf = 0 ,说明更新前parent的 bf = 1 或 -1,更新前一高一低,新结点插入在低的那边,++插入后parent子树所在的子树高度不变++ ,所以不影响parent的bf,更新结束。
Ⅱ.更新后parent的bf = 1 或 -1,说明更新前其 bf = 0,即其两边子树高度相同,新增结点之后,虽然 bf 仍然符合要求,++但是高度增加了 1++ ,所以要向上更新。
Ⅲ.更新后parent的 bf = 2 或 -2,说明更新前其bf = 1 或 -1,即原本其两边子树就一高一低,新增的结点还加在高的一边,破坏了平衡,所以要进行旋转处理,旋转后不需要继续向上更新。
Ⅳ.++不断更新,更新到根,根的 bf = 1 或 -1 就停止++。
旋转处理图解
目标
1、把parent子树旋转平衡。2、降低parent子树的高度,使其恢复原来的高度。3、旋转前后都是AVL树。
原则
旋转分为右单旋/左单旋/左右双旋/右左双旋
右单旋
Ⅰ.
这是高度为h+2(h≥2)的AVL树,其中a,b,c为这个AVL树的AVL子树,
当我们在a中插入一个新结点,使得a子树高度+1 ,
Ⅱ.
此时,根结点 bf 变为 -2,21结点 bf 变为 -1,AVL树高度变为h+3
进行右单旋处理,以 33 为旋转点进行右单旋,
Ⅲ.
此时21变为根结点,33变为21的右结点,b子树变为33的左子树。
右单旋完成,AVL树高度变回h+2,且再次回归平衡。
左单旋
是右单旋的镜像操作,逻辑完全一样。
Ⅰ.
这是高度为h+2(h≥2)的AVL树,其中a,b,c为这个AVL树的AVL子树,
当我们在a中插入一个新结点,使得a子树高度+1 ,
Ⅱ.
此时,根结点 bf 变为 2,21结点 bf 变为 1,AVL树高度变为h+3
进行左单旋处理,以 21 为旋转点进行左单旋,
Ⅲ.
此时33变为根结点,21变为33的左结点,b子树变为33的右子树。
左单旋完成,AVL树高度变回h+2,且再次回归平衡。
左右双旋
Ⅰ.
同样的AVL树,
当我们在b子树中插入一个新结,使得b子树高度 + 1,
Ⅱ.
此时,根结点 bf 变为 -2,21结点 bf 变为 1,AVL树高度变为h+3
进行左右单旋处理,先拆解b子树为,b子树根结点(此处以25为例,视实际情况而定)和e、f子树
Ⅲ.
此处新结点插入e子树(插入f子树,只影响最终平衡因子的结果)。
再以21为旋转点进行左单旋,此次左单旋不需要达到平衡。
Ⅳ.
(插入在e子树)
(插入在f子树)
接着以33为旋转点进行右单旋,此次旋转后达到平衡。
Ⅴ.
(插入在e子树)
(插入在f子树)
可见不管新结点插入在e子树还是f子树,不会影响达到平衡。
最后一步旋转可以把21结点和a、e(f)子树看为一个整体。

右左双旋
同上,右左双旋为左右双旋的镜像操作。(略)
AVL树的模拟实现
cpp
#include<iostream>
#include<assert.h>
using namespace std;
template <class K, class V>
struct AVLTreeNode
{
pair<K, V> _kv;
AVLTreeNode<K, V>* _left;
AVLTreeNode<K, V>* _right;
AVLTreeNode<K, V>* _parent;
int _bf;//平衡因子
AVLTreeNode(const pair<K, V>& kv)
:_kv(kv)
,_left(nullptr)
,_right(nullptr)
,_parent(nullptr)
,_bf(0)
{ }
};
template <class K, class V>
class AVLTree
{
typedef AVLTreeNode<K, V> Node;
public:
bool Insert(const pair<K, V>& kv)
{
if (_root == nullptr)
{
_root == new Node(kv);
return true;
}
Node* parent = nullptr;
Node* cur = _root;
while (cur)
{
if (cur->_kv.first < kv.first)
{
parent = cur;
cur = cur->_right;
}
else if (cur->_kv.first > kv.first)
{
parent = cur;
cur = cur->left;
}
else
{
return false;
}
}
cur = new Node(kv);
if (parent->_kv.first < kv.first)
{
parent->_right = cur;
}
else
{
parent->_left = cur;
}
cur->_parent = parent;
//更新平衡因子
while (parent)
{
//先更新
if (cur == parent->_right)
{
parent->_bf++;
}
else
{
parent->_bf--;
}
//判断是否要往上更新
if (parent->_bf == 0)//结束更新
{
break;
}
else if (parent->_bf == 1 || parent->_bf == -1)//继续往上更新
{
cur = parent;
parent = parent->_parent;
}
else if (parent->_bf == 2 || parent->_bf == -2)//旋转处理
{
//旋转操作
if (parent->_bf == -2 && cur == -1)
{
RotateR(parent);
}
else if (parent->_bf == 2 && cur == 1)
{
RotateL(parent);
}
else if (parent->_bf == -2 && cur == 1)
{
RotateLR(parent);
}
else if (parent->_bf == 2 && cur == -1)
{
RotateRL(parent);
}
else
{
assert(false);
}
break;
}
else
{
assert(false);
}
}
return true;
}
void RotateR(Node* parent)
{
Node* subL = parent->_left;
Node* subLR = subL->_right;
parent->_left = subLR;
//b子树可能为空
if (subLR)
{
subLR->_parent = parent;//为空就不用考虑subLR的parent指针了
}
Node* ppNode = parent->_parent;
subLR->_right = parent;
parent->_parent = subL;
//若parent为根结点
if (parent == _root)
{
_root = subL;//b子树成为根
subL->_parent = nullptr;//根的parent为空
}
else
{
if (ppNode->_left == parent)
{
ppNode->_left == subL;
}
else
{
ppNode->_right == subL;
}
subL->_parent = ppNode;
}
parent->_bf = 0;
subL->_bf = 0;
}
void RotateL(Node* parent)
{
Node* subR = parent->_right;
Node* subRL = subR->_left;
parent->_right = subRL;
//b子树可能为空
if (subRL)
{
subRL->_parent = parent;//为空就不用考虑subRL的parent指针了
}
Node* ppNode = parent->_parent;
subRL->_left = parent;
parent->_parent = subR;
//若parent为根结点
if (parent == _root)
{
_root = subR;//b子树成为根
subR->_parent = nullptr;//根的parent为空
}
else
{
if (ppNode->_left == parent)
{
ppNode->_left == subR;
}
else
{
ppNode->_right == subR;
}
subR->_parent = ppNode;
}
parent->_bf = 0;
subR->_bf = 0;
}
void RotateLR(Node* parent)
{
Node* subL = parent->_left;
Node* subLR = subL->_right;
int bf = subLR->_bf;
RotateL(parent->_left);//先左旋父结点的左孩子
RotateR(parent);//再右旋父结点
//插入到e子树
if (bf == -1)
{
subL->_bf = 0;
parent->_bf = 1;
subLR->_bf = 0;
}
//插入到f子树
else if (bf == 1)
{
subL->_bf = -1;
parent->_bf = 0;
subLR->_bf = 0;
}
//a、b、c都是空树
else if(bf == 0)
{
subL->_bf = 0;
parent->_bf = 0;
subLR->_bf = 0;
}
else
{
assert(false);
}
}
void RotateRL(Node* parent)
{
Node* subR = parent->_right;
Node* subRL = subR->_left;
int bf = subRL->_bf;
RotateR(parent->_right);//先右旋父结点的左孩子
RotateL(parent);//再左旋父结点
//插入到e子树
if (bf == -1)
{
subR->_bf = 1;
parent->_bf = 0;
subRL->_bf = 0;
}
//插入到f子树
else if (bf == 1)
{
subR->_bf = 0;
parent->_bf = -1;
subRL->_bf = 0;
}
//a、b、c都是空树
else if (bf == 0)
{
subR->_bf = 0;
parent->_bf = 0;
subRL->_bf = 0;
}
else
{
assert(false);
}
}
void InOrder()
{
_InOrder(_root);
cout << endl;
}
void IsBalanceTree()
{
_IsBalanceTree(_root);
}
int Height()
{
return _Height(_root);
}
int Size()
{
return _Size(_root);
}
void Find(const K& key)
{
Node* cur = _root;
while (cur)
{
if (cur->_kv.first < key)
{
cur = cur->_right;
}
else if (cur->_kv.first > key)
{
cur = cur->_left;
}
else
{
return cur;
}
}
}
private:
int _Size(Node* root)
{
if (root == nulptr)
{
return 0;
}
return _Size(root->_left) + _Size(root->_right) + 1;
}
bool _IsBalanceTree(Node* root)
{
if (nullptr == root)
{
return true;
}
int leftHeight = _Height(root->_left);
int rightHeight = _Height(root->_right);
int diff = rightHeight - leftHeight;
if (abs(diff) >= 2)
{
cout << root->_kv.first << "高度差异常" << endl;
return(false);
}
if (root->_bf != diff)
{
cout << root->_kv.first << "平衡因子异常" << endl;
return false;
}
return _IsBalanceTree(root->_left) && _IsBalanceTree(root->_right);
}
int _Height(Node* root)
{
if (root == nullptr)
{
return 0;
}
int leftHeight = _Height(root->_left);
int rightHeight = _Height(root->_right);
return leftHeight > rightHeight ? leftHeight + 1 : rightHeight + 1;
}
void _InOrder(Node* root)
{
if (root == nullptr)
{
return;
}
_InOrder(root->_left);
cout << root->_kv.first << ":" << root-> kv.second << endl;
_InOrder(root->_right);
}
Node* _root = nullptr;
};
❤~~本文完结!!感谢观看!!接下来更精彩!!欢迎来我博客做客~~❤