GPS原理笔记二------GPS信号和导航电文
- [2 GPS信号和导航电文](#2 GPS信号和导航电文)
-
- [2.1 载波](#2.1 载波)
- [2.2 伪码](#2.2 伪码)
-
- [2.2.1 二进制随机序列](#2.2.1 二进制随机序列)
- [2.2.2 M序列](#2.2.2 M序列)
- [2.2.3 金码](#2.2.3 金码)
- [2.2.4 C/A码](#2.2.4 C/A码)
- [2.2.5 P码](#2.2.5 P码)
- [2.3 数据码](#2.3 数据码)
- [2.4 GPS信号结构](#2.4 GPS信号结构)
- [2.5 导航电文](#2.5 导航电文)
- 总结
2 GPS信号和导航电文
GPS所发射的信号从结构上分为三个层次: 载波、伪码和数据码。其中,伪码和数据码一起先通过调制而依附在正弦波形式的载波上,然后卫星将调制后的信号发射出去。载波可以被看做GPS信号最底层。
2.1 载波
每颗GPS卫星用两个L波段频率(L1,f1=1575.42MHz, L2,f2=1227.60MHz)

根据λ=cf,
波长分别是λ1=19cm和λ2=24.4cm。
卫星利用综合器,将卫星内部原子钟的10.23MHz 时钟,产生f1=154f0和f2=120 f0,生成f1和f2的载波频率。
为什么选择高频信号来调制?因为伪码信号会被用来调制载波信号, 所以要求载波频率必须远高于伪码频宽。GPS信号P(Y)码信号必须宽于20.46MHz,所以GPS载波频率必须高于20.46MHz。GPS信号呈现右旋圆极化(RHCP)。
2.2 伪码
GPS是一种基于码分多址(CDMA)和扩频(SS)通信系统。这里的码就是伪码。
2.2.1 二进制随机序列
将伪码中的一位二进制数称为码片(或码元)。一个码片持续时间称为码宽,而单位时间内包含的码片称为码率。码率值等于码宽的倒数。
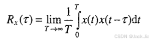
二进制随机序列具有较好的自相关。自相关性是检查x(t)与它本身平移后的波形x(t-τ)两者之间的相似程度。一个二进制随机序列x(t)的自相关函数R_x (τ), x(t-τ)是信号x(t)在时间上向右平移τ后得到的波形,定义如下:

自相关函数R_x (τ)是一个偶函数,关于原点左右对称。图2.2(b)是自相关函数R_x (τ)呈现原点左右对称,当τ=0,x(t)与x(t-τ)重合,具有最大相关性。

2.2.2 M序列
M序列(最长线性反馈移位寄存器),n级反馈移位寄存器所产生的m序列称为n级m序列。
伪随机噪声码(PRN)简称伪随机码或伪码,是周期性二进制数序列,而且具有二进制随机序列的自相关性。周期性的伪随机码可以有多级反馈移位寄存器产生。下图是一个五级反馈移位寄存器,如下:

第一级寄存器的输入是第三级、第五级寄存器的输出值的异或。通常最后一级寄存器输出端用作多级移位寄存器伪随机码输出。寄存器的工作特性是其输出值等于上一时刻的输入值。

一个n级m序列码长度N码片,对于一个周期为N的序列,它自然存在以下重复性:

离散形式如下:

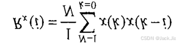
M序列x(t)的自相关函数R_x (τ)为,


对一个周期性的M序列x(t), 对一个自相关函数计算简化如下:

当τ是i的整数倍时,上式离散型公式如下:

2.2.3 金码
伪码可大体分为三类:m序列、组合码和非线性码。金码是组合码的一种,组合码是由一个或多个线性码组合而成。金码是由一对想通的m序列线性组合而成,适用于多址、扩频一类通信系统。GPS中的C/A码属于金码。


2.2.4 C/A码
基于码分多址的GPS需要自相关性和互相关性。在载波L1上调制C/A码和P(Y)码,而在载波L2上调制P(Y)码。C/A码和P(Y)码都是伪码,而伪码在GPS系统中又称测距码,接收机通过对接收到的卫星信号和接收机内部的伪码进行相关运算,检测自相关函数的峰值,从而确定接收信号中的伪码相位并测量出从卫星到接收机之间的距离。
C/A码周期是1023(210-1)个码片的金码,一个C//A码的长度是1023个码片。它每毫秒循环一周,其码率是1.023×106码片/秒,码宽(T_c)977.5ns。在一个C/A码码片的时间内,载波L1重复1540(即1575.42M/1.023M)周。





2.2.5 P码
P码是GPS中另一种伪码,它同时调制在载波L1和载波L2 信号上。P码周期是7天,码率是10.23Mcps,码宽0.1μs,加密后的P码,叫做Y码。Y码只有特许用户才能破译。

2.3 数据码
数据码位于GPS信号中的第三层,它是载有导航电文的二进制码。数据码码率为50bps。采用不归零的二进制编码方式,产生主峰频宽为100Hz的数据信号。

2.4 GPS信号结构
数据码首先与伪码异或相加实现扩频,然后两者的组合码再通过双向移位键控(BPSK)对载波进行调制。


数字通信中载波调制一般包括:调幅、调频、调相。BPSK属于调相调制,通过改变载波相位来传递数据信息。



2.5 导航电文
GPS接收机接收到卫星信号,然后进行载波解调和伪码解扩,得到50bps的数据码,然后按照导航电文格式最终将数据编译成导航电文。
导航电文中包含:时间、卫星运行轨道、电离层延时。

每帧长度是1500bit,计30s, 依次由5个子帧组成,每个子帧长度300bit,计6s, 依次由10个子帧组成。每个字长30bit , 其中高位bit先发。每一个bit长20ms,期间C/A码重复20个周期。每个子帧的前两个字为遥测字(TLW)和交接字(HOW)后8个字组成数据块。
遥测字(TLW)每6秒出现一次,第一置第八比特固定为同步码(10001011)。最后6比特是奇偶校验码。

每一个子帧第二个字节是交接字(HOW),导航电文中每隔6秒出现一次。交接字第1至第17比特是Z计数器上得到的截短的周内计数值,二进制Z计数器长29比特,它的值高10bit是星期数(WN)和周内时(TOW)。按照UTC时间星期日清0,



总结
感谢阅读,祝君成功!
-by aiziyou