第四章不定积分,考研中很少直接作为真题考察,一般都是结合定积分或者物理应用等考察。本章没什么花里胡哨的题型,但很重要,就是拳拳到肉的基本功比拼。注意,本篇只总结比较易错、容易忽视的内容,基础部分市面上的已经足够好了。

一.基础公式
其实就几个容易在考研中忽略的:
二.一类换元法------凑微分
令
,则

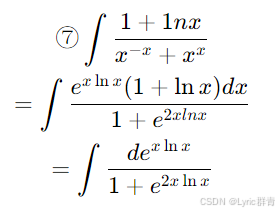
e的x次方有理式大类:
含有e的x次方的根式:
三.二类换元
主要就是三角换元。

另一种就是整个根号一起换元掉,也即所谓的根式换元。
四.分部积分
- 不用刻意纠结反对幂指三,其实经验充足就可以很easy地判断出来。非要记忆的话,多项式和三角、指数乘积,多项式为被积函数;多项式和lnx,反三角,则多项式来凑微分。
- 当为两个不同函数相乘的情况时,大概率使用分部积分
五.有理函数积分
又是标准动作的做题方式:
- 拆分:怎么拆分只和分母有关,无需管分子
- 待定系数:通分等于分子即可,这时才用的上分子
- 对各个子式积分
建议使用上面的拆分方式,如果是多次项,直接多次待定即可,不建议使用下面的:
六.三角多项式
和
:最简单的一组。如果是奇次幂就直接用一个凑微分,如果是偶次幂就不停使用半角公式来降幂
和
:偶次幂时,不断使用:
和
进行展开;奇次幂时,把偶次幂展成
,然后用奇次项和偶次项一起凑出
和
:n为偶次项,
整体凑为
;n=1,则用公式就行;n为其他奇次项,改用分布积分,还是用
凑微分。
七.三角有理式
定义:由三角函数sinx和cosx经过有限次的四则运算所构成的函数。
,即关于sinx是奇函数,令t=cosx
,即关于cosx是奇函数,令t=sinx
,令t=tanx
- 万能代换: