(1)人口统计学(Demographic)
性别(Sex):男性或女性(分类变量)
年龄(Age):患者年龄(连续变量------虽然记录为整数,但年龄本质上是连续的)
教育(Education):教育类型分为4类
(2)行为因素(Behavioral)
当前是否吸烟(Current Smoker):当前是否为吸烟者(分类变量)
每日吸烟量(Cigs Per Day):每天平均吸烟数量(可视为连续变量,因为可以是任意数量)
(3)医学史(Medical - history)
是否服用降压药(BP Meds):是否服用降压药(分类变量)
是否曾中风(Prevalent Stroke):是否有中风史(分类变量)
是否高血压(Prevalent Hyp):是否患有高血压(分类变量)
是否糖尿病(Diabetes):是否患有糖尿病(分类变量)
(4)当前医学指标(Medical - current)
总胆固醇(Tot Chol):连续变量
收缩压(Sys BP):连续变量
舒张压(Dia BP):连续变量
体重指数(BMI):连续变量
心率(Heart Rate):连续变量(虽然本质离散,但通常视为连续变量)
血糖(Glucose):连续变量
(5)预测变量(目标变量)
10 年冠心病风险(CHD):二分类变量(1 表示"是",0 表示"否")。
1.2 数据处理
在原文中提到的P-value(P值)指的是显著性水平,显著性水平是假设检验中的一个概念,是指当原假设为正确时人们却把它拒绝了的概率或风险,这里它用于判断某个特征(如"抽烟")对结果的影响是否是真实存在的,还是仅仅因为随机巧合。显著性水平是假设检验中的一个概念,是指当原假设为正确时人们却把它拒绝了的概率或风险。它是公认的小概率事件的概率值,必须在每一次统计检验之前确定,通常取α=0.05或α=0.01。在该实例中P值量化了"虚假关联"的风险,即P值<α则认为风险低,要把特征收入预测模型里,P值>α风险高,这个特征可能是"骗子",可以把它丢弃。文中纸用向后剔除法(Backward Elimination)剔除P值>0.05的特征,最后只保留P值小于0.05的有效特征,如性别:男性患病几率比女性高78.8%,年龄:年龄每增加1岁,风险增加 7%等。
2 理论基础
2.1 线性回归(Linear Regression)
1 概念
首先看下线性、非线性和回归的概念:
线性:两个变量之间的关系是一次函数关系的------图象是直线,叫做线性。
非线性:两个变量之间的关系不是一次函数关系的------图象不是直线,叫做非线性。
回归:人们在测量事物的时候因为客观条件所限,求得的都是测量值,而不是事物真实的值,为了能够得到真实值,无限次的进行测量,最后通过这些测量数据计算回归到真实值,这就是回归的由来。
所以线性回归就是:用一条直线(或超平面)去拟合数据,通过已知的输入 X,预测一个连续的输出 Y。
2 解决的问题
对大量的观测数据进行处理,从而得到比较符合事物内部规律的数学表达式。也就是说寻找到数据与数据之间的规律所在,从而就可以模拟出结果,也就是对结果进行预测。解决的就是通过已知的数据得到未知的结果,例如:对房价的预测、判断信用评价、电影票房预估等。
3 模型及公式
最简单的线性回归可以用公式:y = wx + b表示,这里y是预测结果,x是输入特征,w是权重(斜率),b是偏置(截距),这就是一条直线,线性回归的任务就是:找到最好的w和b,让这条直线最贴合数据。
在此基础上扩展到多个特征时,有公式:

这时y仍为预测值,x1~xn是n个特征,w1~wn是对用的系数(权重),b仍为截距,该公式还可以表示为更简洁的向量形式:

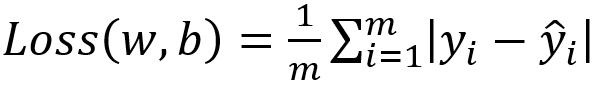
此时就可通过损失函数来得到预测的损失,如基于MSE(Mean Squared Error)均方误差:

基于RMSE(Root Mean Squared Error)均方根误差:

基于MAE(Mean Absolute Error)平均绝对值误差:

以上m是样本数量,yi是实际值,^yi是预测值,由线性回归公式计算得到,之后即可由梯度下降法,通过对损失函数对各个参数求偏导计算梯度,并沿梯度方向反方向迭代更新参数使得Loss损失最小。
2.2 逻辑回归(Logistic Regression)
逻辑回归是一种统计中的回归分析方法,用于根据一组自变量预测分类因变量的结果。逻辑回归主要用于预测,同时也可以用于计算某事件发生的概率。Logistic回归的因变量可以是二分类的,也可以是多分类的,但是二分类的更为常用,也更加容易解释。逻辑回归常用于数据挖掘,疾病自动诊断,经济预测等领域。逻辑回归和线性回归关系密切,简单来说:逻辑回归 = 线性回归 + Sigmoid激活函数,逻辑回归的核心计算部分,本质就是线性回归;只是在输出层套了一层Sigmoid,把线性输出压缩到0~1的概率区间,从而实现二分类。
Sigmoid函数:

其图形如下:

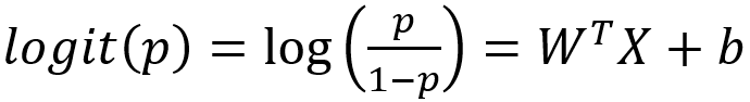
意义是将连续的(-∞, +∞)映射到[0, 1],这里[0, 1]正好可以对应概率p取值范围,即p=sigmoid(x) = 1/(1+e-x),将之前预测结果表示为logit(p) = WTX + b,则有:

同时可知:

即logit(p)正是线性回归的线性部分,同时它是概率的对数几率,把0~1的概率线性映射到整个实数域,它正是线性模型和概率之间的桥梁。在进行逻辑回归时,不直接预测概率,而是预测概率的logit值,再由logit值通过Sigmoid函数还原概率,完美解决了"线性模型预测概率"的问题。对应到心脏病预测实例,通过以下公式完成预测:

2.3 Sigmoid函数近似表示
在全同态加密时,不能简单地在加密数据上计算sigmoid,需要使用低次多项式来近似该,而且受限于同态加密乘法运算深度限制,次数越低越好,所以目标是执行尽可能少的乘法,以便能够使用较小的参数,从而优化计算。参考3中的文章给出两个接近Sigmoid函数的近似函数,这里选取在[-5, 5]范围内更接近Sigmoid函数的σ(x) = 0.5 + 0.197x - 0.004x3。

2.4 Z-Score标准化
目的是将不同量纲(单位)的特征------比如"年龄"(20-80岁)和"胆固醇"(150-400mg/dL)------缩放到同一个"起跑线"上,即将特征取值标准化为均值为0、标准差为1的分布,对应的数学公式是:

xi:特征的取值
μ:特征取值的平均值,特征值减去它能让数据的中心点移动到0;
σ:特征取值的标准差,除以它能让数据的波动范围(缩放比例)变为1;
执行该操作出于以下原因:
(1)梯度爆炸与难以收敛
在训练逻辑回归或神经网络时,如果"胆固醇"数值是 300,而"是否抽烟"是1,模型会给胆固醇分配极小的权重,给抽烟分配极大的权重。这会导致梯度下降时像在"深谷"中反复震荡,很难找到最优解。
(2)特征权重不公平
如果一个特征的数值范围是0-1000,另一个是0-1,模型会下意识地认为数值大的特征更重要。标准化确保了每个特征对预测结果的贡献是基于其变化规律,而不是数值大小。
3 源码分析
3.1 Setup
程序最一开始需要import所有依赖的相关模块,请确保各模块已经按照到系统中:

import torch
import tenseal as ts
import pandas as pd
import random
from time import time
# those are optional and are not necessary for training
import numpy as np
import matplotlib.pyplot as plt

接下来程序会对之前Kaggle网站上下载的程序进行处理,如删除无效数据及无关特征列,并按相同的数量随机采样患病和不患病数据集,这样做的目的是解决类不平衡问题(Class Imbalance)。因为在心脏病预测(Framingham)数据集中,患病(1)的人数远少于未患病(0)的人数,如果不处理,模型会倾向于预测所有人都不患病。程序还提供random_data()函数,该函数生成随机的、线性可分的点,对于那些只想看看事情是如何运作的人来说,可以使用它来代替Kaggle的数据集。这部分程序完整源码如下:

torch.random.manual_seed(73)
random.seed(73)
# 将原始数据进行随机洗牌后,按7:3的比例分割,分别做为训练集和测试集
def split_train_test(x, y, test_ratio=0.3):
idxs = [i for i in range(len(x))]
random.shuffle(idxs)
# delimiter between test and train data
delim = int(len(x) * test_ratio)
test_idxs, train_idxs = idxs[:delim], idxs[delim:]
return x[train_idxs], y[train_idxs], x[test_idxs], y[test_idxs]
def heart_disease_data():
data = pd.read_csv("./data/framingham.csv")
# drop rows with missing values
data = data.dropna()
# drop some features
data = data.drop(columns=["education", "currentSmoker", "BPMeds", "diabetes", "diaBP", "BMI"])
print("save cleaned data to data/framingham_cleaned.csv")
data.to_csv("./data/framingham_cleaned.csv", index=False)
# 根据TenYearCHD(十年内心脏病风险,0或1)这一列,将原始数据集拆分为两个子集
grouped = data.groupby('TenYearCHD')
#data = grouped.apply(lambda x: x.sample(grouped.size().min(), random_state=73).reset_index(drop=True))
# 1. 执行分组并采样,使用数量少的那个类别个数进行采样,每个组(0 和 1)都随机抽取等量的样本
data = grouped.apply(lambda x: x.sample(grouped.size().min(), random_state=73), include_groups=False)
#data.to_csv("./data/twogroupdata1.csv")
# 2. 核心步骤:恢复被排除的分组列
# 因为 include_groups=False 把它变成了索引,我们需要把它变回列,使数据结构回归到普通的表格形式
data = data.reset_index(level=0).reset_index(drop=True)
#data.to_csv("./data/twogroupdata2.csv")
# extract labels
y = torch.tensor(data["TenYearCHD"].values).float().unsqueeze(1)
# 丢弃TenYearCHD列
data = data.drop(columns="TenYearCHD")
# standardize data,标准化确保了每个特征对预测结果的贡献是基于其变化规律,而不是数值大小
data = (data - data.mean()) / data.std()
#data.to_csv("./data/last.csv")
#print("have save data/last.csv")
x = torch.tensor(data.values).float()
return split_train_test(x, y)
def random_data(m=1024, n=2):
# data separable by the line `y = x`
x_train = torch.randn(m, n)
x_test = torch.randn(m // 2, n)
y_train = (x_train[:, 0] >= x_train[:, 1]).float().unsqueeze(0).t()
y_test = (x_test[:, 0] >= x_test[:, 1]).float().unsqueeze(0).t()
return x_train, y_train, x_test, y_test
# You can use whatever data you want without modification to the tutorial
# x_train, y_train, x_test, y_test = random_data()
x_train, y_train, x_test, y_test = heart_disease_data()
print("############# Data summary #############")
print(f"x_train has shape: {x_train.shape}")
print(f"y_train has shape: {y_train.shape}")
print(f"x_test has shape: {x_test.shape}")
print(f"y_test has shape: {y_test.shape}")
print("#######################################")

程序运行后输出如下:

3.2 训练逻辑回归模型
将首先训练一个逻辑回归模型(没有任何加密),它可以被视为一个具有单个节点的单层神经网络,后续将使用此模型作为与加密训练和评估进行比较的手段。

class LR(torch.nn.Module):
def __init__(self, n_features):
super(LR, self).__init__()
self.lr = torch.nn.Linear(n_features, 1)
def forward(self, x):
out = torch.sigmoid(self.lr(x))
return out
n_features = x_train.shape[1]
model = LR(n_features)
# use gradient descent with a learning_rate=1
optim = torch.optim.SGD(model.parameters(), lr=1)
# use Binary Cross Entropy Loss
criterion = torch.nn.BCELoss()
# define the number of epochs for both plain and encrypted training
EPOCHS = 5
def train(model, optim, criterion, x, y, epochs=EPOCHS):
for e in range(1, epochs + 1):
optim.zero_grad()
out = model(x)
loss = criterion(out, y)
loss.backward()
optim.step()
print(f"Loss at epoch {e}: {loss.data}")
return model
model = train(model, optim, criterion, x_train, y_train)
def accuracy(model, x, y):
out = model(x)
correct = torch.abs(y - out) < 0.5
return correct.float().mean()
plain_accuracy = accuracy(model, x_test, y_test)
print(f"Accuracy on plain test_set: {plain_accuracy}")

该段程序输出如下:

正如原文所说,高精度不是该程序的目标,这里只是想看看加密数据的训练不会影响最终结果,所以将比较加密数据的准确性和在这里得到的plain_accuracy。
3.3 基于明文参数的加密数据评估
在这一部分中,将只关注在加密测试集上使用明文参数(可选加密参数)评估逻辑回归模型。首先创建一个类似PyTorch的LR模型,可以评估加密数据:

class EncryptedLR:
def __init__(self, torch_lr):
# TenSEAL processes lists and not torch tensors,
# so we take out the parameters from the PyTorch model
self.weight = torch_lr.lr.weight.data.tolist()[0]
self.bias = torch_lr.lr.bias.data.tolist()
def forward(self, enc_x):
# We don't need to perform sigmoid as this model
# will only be used for evaluation, and the label
# can be deduced without applying sigmoid
enc_out = enc_x.dot(self.weight) + self.bias
return enc_out
def __call__(self, *args, **kwargs):
return self.forward(*args, **kwargs)
################################################
## You can use the functions below to perform ##
## the evaluation with an encrypted model ##
################################################
def encrypt(self, context):
self.weight = ts.ckks_vector(context, self.weight)
self.bias = ts.ckks_vector(context, self.bias)
def decrypt(self, context):
self.weight = self.weight.decrypt()
self.bias = self.bias.decrypt()
eelr = EncryptedLR(model)

之后创建一个TenSEAL Context,用于指定要使用的方案和参数。在这里,选择小而安全的参数,允许进行一次乘法。这足以评估逻辑回归模型,之后会发现,在对加密数据进行训练时,会需要更大的参数。

# parameters
poly_mod_degree = 4096
coeff_mod_bit_sizes = [40, 20, 40]
# create TenSEALContext
ctx_eval = ts.context(ts.SCHEME_TYPE.CKKS, poly_mod_degree, -1, coeff_mod_bit_sizes)
# scale of ciphertext to use
ctx_eval.global_scale = 2 ** 20
# this key is needed for doing dot-product operations
ctx_eval.generate_galois_keys()
t_start = time()
enc_x_test = [ts.ckks_vector(ctx_eval, x.tolist()) for x in x_test]
t_end = time()
print(f"Encryption of the test-set took {int(t_end - t_start)} seconds")

在代码中,会在评估前加密测试数据集。接下来在构建EncryptedLR类时,不会在线性层的加密输出上计算sigmoid函数,仅仅是因为它不是必需的,在加密数据上计算sigmic会增加计算时间并需要更大的加密参数,但是,在之后的加密训练中会使用sigmoid。当前,直接进行加密测试集上的评估,并将其准确性与普通测试集进行比较。

def encrypted_evaluation(model, enc_x_test, y_test):
t_start = time()
correct = 0
for enc_x, y in zip(enc_x_test, y_test):
# encrypted evaluation
enc_out = model(enc_x)
# plain comparison
out = enc_out.decrypt()
out = torch.tensor(out)
out = torch.sigmoid(out)
if torch.abs(out - y) < 0.5:
correct += 1
t_end = time()
print(f"Evaluated test_set of {len(x_test)} entries in {int(t_end - t_start)} seconds")
print(f"Accuracy: {correct}/{len(x_test)} = {correct / len(x_test)}")
return correct / len(x_test)
encrypted_accuracy = encrypted_evaluation(eelr, enc_x_test, y_test)
diff_accuracy = plain_accuracy - encrypted_accuracy
print(f"Difference between plain and encrypted accuracies: {diff_accuracy}")
if diff_accuracy < 0:
print("Oh! We got a better accuracy on the encrypted test-set! The noise was on our side...")

程序运行结果如下:

不仅比明文直接评估的精度有所下降,而且对比原文章加密评估的精度0.6736526946107785,还要低一些只有0.6167664670658682,这里不知是什么原因。
3.4 基于加密数据训练的加密逻辑回归模型
在这一部分中,将重新定义一个类似PyTorch的模型,该模型既可以向前传播加密数据,也可以反向传播以更新权重,从而在加密数据上训练加密的逻辑回归模型,以下是关于训练的更多细节。
1 损失函数
这里使用带有正则化的二元交叉熵损失函数,y(i)是第i个预期标签,^y(i)是是逻辑回归模型的第i个输出,θ是n维权重向量,损失函数如下:

上面公式中m是样本数量,n是特征数量,损失可以分成两部分,前半部分是交叉熵损失:

当真实值y=0和y=1时,以上公式可分别简化为:

以真实值y=0为例,预测^y越接近0,则损失值越小越接近零,反之预测越接近1,损失值越大,同样对于真实值y=1时,有相同的规律,而且通过响应函数的图形也能直观的看到该规律:

公式中的后半部分是正则化项(Regularization):

θj:权重向量中的第j个值,λ:正则化系数,该部分意义在于惩罚过大的权重,以保证模型不能过度依赖某一个特征,必须保持权重相对"温和"。
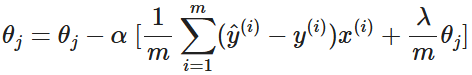
2 参数更新
为了进行参数更新,使用如下规则,这里x(i)是第i个输入数据:

然而,由于同态加密约束,这里使用α=1以减少乘法,并使用λ/m=0.05,从而得出以下更新规则:

3 同态加密参数
从输入数据到参数更新,密文需要深度为6的乘法运算,1用于点积运算,2用于sigmoid算法近似计算,3用于反向传播阶段(其中1个隐藏在backward函数中的self._delta_w += enc_x * out_minus_y运算中,该运算将1维度的向量与n维度的向量相乘,需要掩码提取第一个槽位的值并依次复制到n个槽位的其他位置)。对于大约20位的缩放,我们需要6个与缩放具有相同比特大小的系数模数,加上最后一个需要更多比特的系数,我们已经超出了4096个多项式模数(如果我们考虑128位的安全性,这需要系数模数的总比特数<109),所以将使用8192。这将允许我们在单个密文中批量处理多达4096个值。

# Training an Encrypted Logistic Regression Model on Encrypted Data
class EncryptedLR:
def __init__(self, torch_lr):
self.weight = torch_lr.lr.weight.data.tolist()[0]
self.bias = torch_lr.lr.bias.data.tolist()
# we accumulate gradients and counts the number of iterations
self._delta_w = 0
self._delta_b = 0
self._count = 0
def forward(self, enc_x):
enc_out = enc_x.dot(self.weight) + self.bias
enc_out = EncryptedLR.sigmoid(enc_out)
return enc_out
def backward(self, enc_x, enc_out, enc_y):
out_minus_y = (enc_out - enc_y)
self._delta_w += enc_x * out_minus_y
self._delta_b += out_minus_y
self._count += 1
def update_parameters(self):
if self._count == 0:
raise RuntimeError("You should at least run one forward iteration")
# update weights
# We use a small regularization term to keep the output
# of the linear layer in the range of the sigmoid approximation
self.weight -= self._delta_w * (1 / self._count) + self.weight * 0.05
self.bias -= self._delta_b * (1 / self._count)
# reset gradient accumulators and iterations count
self._delta_w = 0
self._delta_b = 0
self._count = 0
@staticmethod
def sigmoid(enc_x):
# We use the polynomial approximation of degree 3
# sigmoid(x) = 0.5 + 0.197 * x - 0.004 * x^3
# from https://eprint.iacr.org/2018/462.pdf
# which fits the function pretty well in the range [-5,5]
return enc_x.polyval([0.5, 0.197, 0, -0.004])
def plain_accuracy(self, x_test, y_test):
# evaluate accuracy of the model on
# the plain (x_test, y_test) dataset
w = torch.tensor(self.weight)
b = torch.tensor(self.bias)
out = torch.sigmoid(x_test.matmul(w) + b).reshape(-1, 1)
correct = torch.abs(y_test - out) < 0.5
return correct.float().mean()
def encrypt(self, context):
self.weight = ts.ckks_vector(context, self.weight)
self.bias = ts.ckks_vector(context, self.bias)
def decrypt(self):
self.weight = self.weight.decrypt()
self.bias = self.bias.decrypt()
def __call__(self, *args, **kwargs):
return self.forward(*args, **kwargs)
# parameters
poly_mod_degree = 8192
coeff_mod_bit_sizes = [40, 21, 21, 21, 21, 21, 21, 40]
# create TenSEALContext
ctx_training = ts.context(ts.SCHEME_TYPE.CKKS, poly_mod_degree, -1, coeff_mod_bit_sizes)
ctx_training.global_scale = 2 ** 21
ctx_training.generate_galois_keys()
t_start = time()
enc_x_train = [ts.ckks_vector(ctx_training, x.tolist()) for x in x_train]
enc_y_train = [ts.ckks_vector(ctx_training, y.tolist()) for y in y_train]
t_end = time()
print(f"Encryption of the training_set took {int(t_end - t_start)} seconds")

下面结合源码详细分析乘法深度,在代码forward函数中,密文enc_x会和密文self.weight进行点积运算,会消耗第1层深度(Level 1);接下来调用sigmoid多项式近似计算,x2需要一次乘法消耗第2层,计算x3会消耗第3层(这里其实是0.004·x3,操作过程中会行"常数合并",在进行系数相乘时,会借用x3生成过程中本来就消耗调的层,并不会在系数乘消耗额外的层,所以这里总共消耗2层);正如原文所述在接下来进行self._delta_w += enc_x * out_minus_y时,除了enc_x*out_minus_y乘法本身会消耗一层外,这里还有一个隐藏操作会额外消耗一层,易知out_minus_y是通过enc_out - enc_y得到的,虽然逻辑上它是一个误差值,但是在TenSEAL的内存布局中,它依然是一个向量,是一个继承自enc_out的Level 3密文,内部构造类似[err, noise1, noise2, ..., noisek],除了第一个槽位有有效值外,其他本是"空"的槽位上充满了不可控的随机噪声,如果直接进行"旋转并累加"完成enc_x*out_minus_y操作,会把后面槽位上的噪声也一起叠加进来,所以TenSEAL中先执行了out_minus_y*[1, 0, 0, ...],即掩码操作最终产生[err, 0, 0, ...],清空了其他位置的干扰,正是这里的乘法操作导致Scale变大,为了接下来的"旋转累加"操作,这里密文的Scale必须出于标准状态(通常是global_scale),所以这里会执行一次rescale从而消耗了1层深度,接下来即可正常进行旋转与加法,如将out_minus_y向右旋转1位得到y_rot1 = [0, err, 0, 0, ...],y = y + y_rot1得到y = [err, err, 0, 0, ...],继续旋转加最终得到y = [err, err, err, ...],之后即可真正的执行enc_x * out_minus_y操作,所以这里总共消耗2层深度,此时共消耗5层深度;接下来循环完成后的update_parameters函数调用中,self.weight -= self._delta_w * (1 / self._count) + self.weight * 0.05操作中的乘法还会消耗1层深度,所以最终需要的乘法深度是6。运行结果如下:

接下来研究在明文域和加密域内x.dot(weight) + bias的分布,确保它们落在[-5, 5]区间内,这正是sigmoid近似比较准确的位置,我们不希望给它提供超出此范围的数据,这样就不会得到错误的输出,错误的输出会使得我们的训练不可预测。但是权重会在训练过程中发生变化,我们应该在学习的同时尽量保持它们尽可能小。有一种经常用于逻辑回归的技术,正是这样做的(但服务于另一个目的,即泛化),被称为正则化,你可能已经在update_parameters函数中发现了附加项self.weight*0.05,这是正则化的结果。简而言之,由于我们的sigmoid近似仅在[-5, 5]范围内有效,我们希望它的所有输入都在这个范围内,为了做到这一点,需要保持逻辑回归参数尽可能小,因此我们应用正则化。
注意:保持参数较小肯定会降低输出的幅度,但如果数据没有标准化,我们也可能超出范围。你可能已经发现,我们将数据标准化为均值为0,标准差为1,这既是为了提高性能,也是为了将sigmoid的输入保持在所需的范围内。

normal_dist = lambda x, mean, var: np.exp(- np.square(x - mean) / (2 * var)) / np.sqrt(2 * np.pi * var)
def plot_normal_dist(mean, var, rmin=-10, rmax=10):
x = np.arange(rmin, rmax, 0.01)
y = normal_dist(x, mean, var)
fig = plt.plot(x, y)
# plain distribution
lr = LR(n_features)
data = lr.lr(x_test)
mean, var = map(float, [data.mean(), data.std() ** 2])
plot_normal_dist(mean, var)
print("Distribution on plain data:")
plt.show()
# encrypted distribution
def encrypted_out_distribution(eelr, enc_x_test):
w = eelr.weight
b = eelr.bias
data = []
for enc_x in enc_x_test:
enc_out = enc_x.dot(w) + b
data.append(enc_out.decrypt())
data = torch.tensor(data)
mean, var = map(float, [data.mean(), data.std() ** 2])
plot_normal_dist(mean, var)
print("Distribution on encrypted data:")
plt.show()
eelr = EncryptedLR(lr)
eelr.encrypt(ctx_training)
encrypted_out_distribution(eelr, enc_x_train)

明文数据分布:

密文数据分布:

大部分数据属于[-5, 5],sigmoid近似应该足够好!
4 基于加密数据的逻辑回归模型
终于到达了最后一部分,这是关于在加密数据上训练加密逻辑回归模型!你可以看到,我们解密权重,并在每个历元后再次加密它们,这是必要的,因为在历元结束时更新权重后,我们不能再使用它们来执行足够的乘法,所以我们需要将它们恢复到初始密文级别。在真实场景中,这将转化为将权重发送回密钥持有者进行解密和重新加密。在这种情况下,每个轮次只会产生几千字节的通信。

eelr = EncryptedLR(LR(n_features))
accuracy = eelr.plain_accuracy(x_test, y_test)
print(f"Accuracy at epoch #0 is {accuracy}")
times = []
for epoch in range(EPOCHS):
eelr.encrypt(ctx_training)
# if you want to keep an eye on the distribution to make sure
# the function approximation is still working fine
# WARNING: this operation is time consuming
# encrypted_out_distribution(eelr, enc_x_train)
t_start = time()
for enc_x, enc_y in zip(enc_x_train, enc_y_train):
enc_out = eelr.forward(enc_x)
eelr.backward(enc_x, enc_out, enc_y)
eelr.update_parameters()
t_end = time()
times.append(t_end - t_start)
eelr.decrypt()
accuracy = eelr.plain_accuracy(x_test, y_test)
print(f"Accuracy at epoch #{epoch + 1} is {accuracy}")
print(f"\nAverage time per epoch: {int(sum(times) / len(times))} seconds")
print(f"Final accuracy is {accuracy}")
diff_accuracy = plain_accuracy - accuracy
print(f"Difference between plain and encrypted accuracies: {diff_accuracy}")
if diff_accuracy < 0:
print("Oh! We got a better accuracy when training on encrypted data! The noise was on our side...")
