(内容来自张鹏老师的《最优化》第二版,侵删)
1 凸集和凸函数
1.凸集的定义

2.凸函数的判定
黑塞矩阵定义(注意二阶导的写法)

黑塞矩阵与凸函数的关系:

矩阵半正定的判定方法:特征值法

如果判断凹函数,矩阵是半负定,同样可以用特征值法计算,特征值小于等于0即可
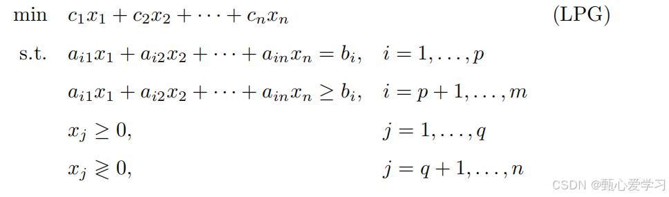
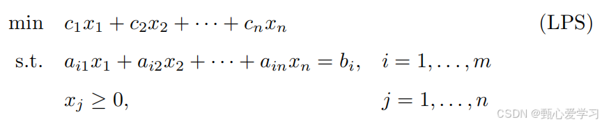
2 线性规划
1.线性规划的格式转换
a.一般型

b.标准型

用矩阵和向量的形式写

c.规范型



转化为标准型的转换方法:
a.对于式子:
对于<=

b.对于变量:
对于无约束变量

对于<=某数的变量

对于x1<=3,这个可以看作不等式约束而不是变量约束,只需要加一个变量:x1+x2=3,x2>=0即可
流程:先保证变量的范围非负,然后再替换目标式子,然后再保证不等式为等式
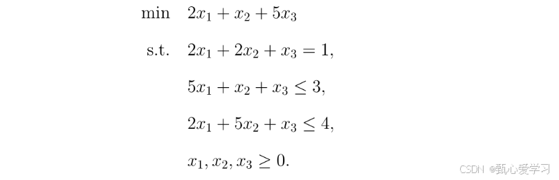
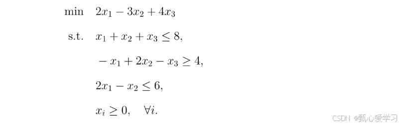
例题

这个题稍微复杂一点,需要替换变量

2.图解法解线性规划
根据不等式约束画出可行域,如果可行域不为空,根据目标函数画出等值线,找到等值线可以到达的最高处的位置


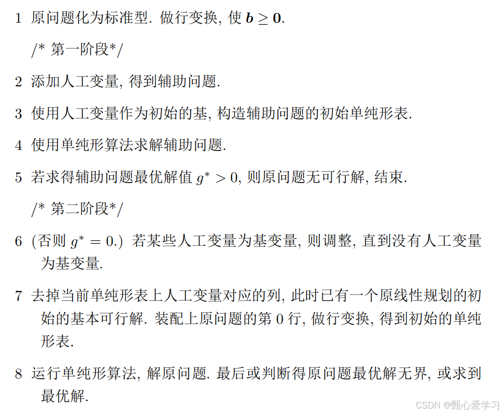
3 单纯形算法
单纯形法
单纯形法的原型是贪心法,一步步跳到最优解


直接看个例子,例子中对于上述原则标出来了,更好理解
单纯形法的变量有基变量和非基变量,非基变量的大小默认为0(基变量的个数等于等式约束构成的矩阵的其中的最大满秩方阵的秩)


单纯形表
如果最开始不是标准型,要转化为标准型再画单纯形表


例题



两阶段单纯形法
原来的等式中,如果那一行基变量不明显,可以引入人工变量,人工变量不一定每一行都引入一个

这里的人工变量相当于在原来的等式基础上,多加了个人工变量,如果这个人工变量为0,说明原来的等式成立。

对于6,让这个人工变量出基,让某个原来的变量进基
例题



4 线性规划对偶理论
对偶形式转化
线性规划和它的对偶规划的写法:

对偶单纯形法
步骤
对于教材中的用法,是先按照普通的单纯形算法解,遇到不可行情况而且对偶情况可行再继续解
出基变量选取b最小的那一行对应的变量,对于这一行,进基变量选择左侧的数为负数的变量(这里要竖着算比值)

与普通单纯形法(先找进基列)不同,对偶单纯形法是先选"出基变量",再根据它来确定**"进基变量
检验数行与右端项的关系:
(检验数行指的是包含z的第0行)





例题

这里选进基变量就是选的b最小的行,或许可以理解为优先调整远离最终我们>=0目标的

(目前有这些重点内容,根据后续学习还会继续补充~)




