链表
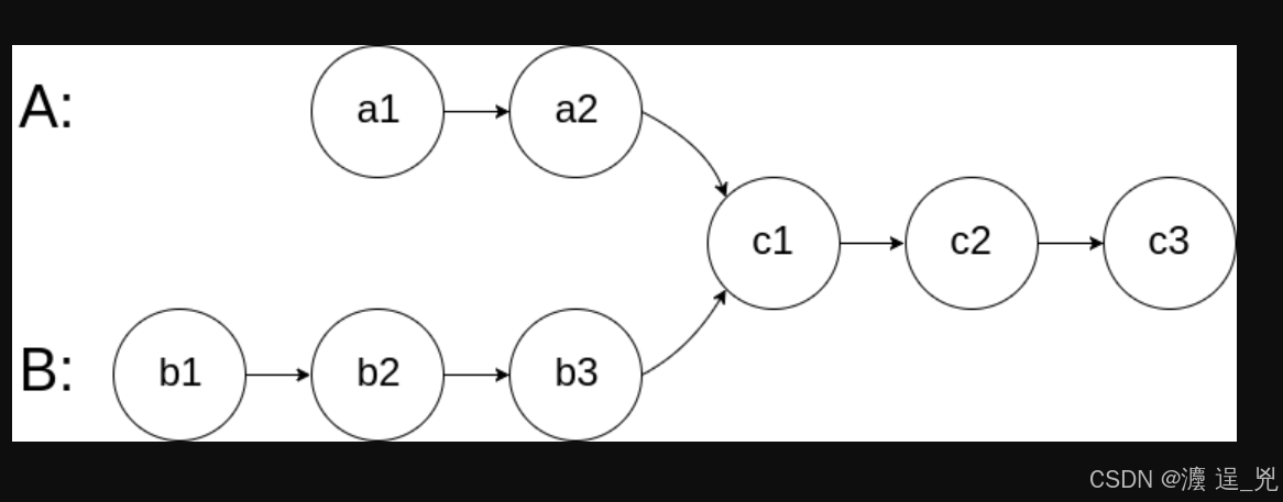
160相交链表

代码
            
            
              cpp
              
              
            
          
          class Solution {
public:
    ListNode *getIntersectionNode(ListNode *headA, ListNode *headB) {
            ListNode* h1=headA;
            ListNode* h2=headB;
            while(h1&&h2)
            {
                if(h1!=h2)
                {
                    h1=h1->next;
                    h2=h2->next;
                }else{
                    return h1;
                }
            }
            if(h1==nullptr)
            {
                h1=headB;
            }else{
                h2=headA;
            }
            while(h1&&h2)
            {
                if(h1!=h2)
                {
                    h1=h1->next;
                    h2=h2->next;
                }else{
                    return h1;
                }
            }
            if(h1==nullptr)
            {
                h1=headB;
            }else{
                h2=headA;
            }
            while(h1&&h2)
            {
                if(h1!=h2)
                {
                    h1=h1->next;
                    h2=h2->next;
                }else{
                    return h1;
                }
            }
            return nullptr;
    }
};代码优化
通过两次遍历,headA,headB走的距离一定是一样的。
最终只会出现两种情况:
- 
相等指向同一个ListNode, 
- 
两个链表中没有相交的点,又因为最后指向的都是空指针 ListNode *getIntersectionNode(ListNode headA, ListNode headB) { 
 ListNode h1=headA;
 ListNode h2=headB;
 while(h1!=h2)
 {
 h1=(h1==nullptr)?headB:h1->next;
 h2=(h2==nullptr)?headA:h2->next;
 }
 return h1;
 }
其他方法
- 记录长度,这个办法好像没办法解决,因为你不知道长度在那?
- 通过map,set存放ListNode,然后边遍历,边计算是否存在
反转链表
- 方法1:
            
            
              cpp
              
              
            
          
              ListNode* reverseList(ListNode* head) {
       ListNode* pre=nullptr;
       ListNode* cur=head;
       while(cur)
       {
         ListNode* ne=cur->next;
         cur->next=pre;
         pre=cur;
         cur=ne;
       }
       return pre;
    }方法2:
            
            
              cpp
              
              
            
          
           ListNode* reverseList(ListNode* head) {
       ListNode* pre=new ListNode(-1);
       ListNode* cur=head;
       while(cur)
       {
         ListNode* ne=cur->next;
         cur->next=pre->next;
         pre->next=cur;
         cur=ne;
       }
       ListNode* t=pre->next;
       delete pre;
       return t;
    }递归的方法
            
            
              cpp
              
              
            
          
          ListNode* reverseList(ListNode* head) {
       if(head==nullptr||head->next==nullptr)
       {
         return head;
       }
       ListNode* last=reverseList(head->next);
       head->next->next=head;
       head->next=nullptr;
       return last;
       
    }
e* last=reverseList(head->next);
       head->next->next=head;
       head->next=nullptr;
       return last;
       
    }