目录
1.课题概述
基于时空相关性的风电功率预测模型matlab建模与仿真。
2.系统仿真结果

三个风场24小时的预测误差间的Pearson相关系数,颜色越暖,相关性程度越高,相反颜色越冷越接近于蓝色,相关程度越低。

预测值的置信区间绘图。

在预测功率为0-0.1p.u. 以及预测功率接近风场的额定功率,即 0.8 - 1p.u. 时,预测误差的 t分布呈现瘦高趋势,误差总体较小,在预测功率在0.1 - 0.8p.u. 时,预测误差的 t 分布呈现矮胖趋势,误差总体较大。总体来看,预测误差与预测功率的相关关系规律呈现为:随着预测功率的增大先增大后减小。

上面四个图随机给出4天中的抽样模拟结果。选取风电场 A 作为研究对象,对每小时的风功率分布分别进行抽样100次,用柱状散点图画出其抽样生成的风功率值。
3.核心程序与模型
版本:Matlab2024b
...................................................................
figure
subplot(221);
for i=1:24
plot(X_samp(i,:),dat_samp(i,:),'.')
hold on
end
plot(Pw1(:,1),'-dm','LineWidth',2,'MarkerSize',4,'MarkerFaceColor','m')
xlabel('时间(t/h)')
ylabel('功率(MW)')
title('风电场的采样功率及一天内的功率变化过程day1');
[X_samp,dat_samp]=func_power_changes(Pw1(:,2),data);
subplot(222);
for i=1:24
plot(X_samp(i,:),dat_samp(i,:),'.')
hold on
end
plot(Pw1(:,2),'-dm','LineWidth',2,'MarkerSize',4,'MarkerFaceColor','m')
xlabel('时间(t/h)')
ylabel('功率(MW)')
title('风电场的采样功率及一天内的功率变化过程day2');
[X_samp,dat_samp]=func_power_changes(Pw1(:,3),data);
subplot(223);
for i=1:24
plot(X_samp(i,:),dat_samp(i,:),'.')
hold on
end
plot(Pw1(:,3),'-dm','LineWidth',2,'MarkerSize',4,'MarkerFaceColor','m')
xlabel('时间(t/h)')
ylabel('功率(MW)')
title('风电场的采样功率及一天内的功率变化过程day3');
[X_samp,dat_samp]=func_power_changes(Pw1(:,4),data);
subplot(224);
for i=1:24
plot(X_samp(i,:),dat_samp(i,:),'.')
hold on
end
plot(Pw1(:,4),'-dm','LineWidth',2,'MarkerSize',4,'MarkerFaceColor','m')
xlabel('时间(t/h)')
ylabel('功率(MW)')
title('风电场的采样功率及一天内的功率变化过程day4');
109
4.系统原理简介
风电功率时间序列呈现出明显的时间依赖性,即当前时刻的功率值受过去若干时刻功率值的影响。自相关函数(ACF)可定量描述这种相关性。对于风电功率时间序列{Pt}t=1N,其滞后k步的自相关系数ρk定义为:

其中,P=N1∑t=1NPt为时间序列的均值,N为序列长度。ρk的取值范围为[−1,1],当ρk接近1时,表示相隔k个时间步长的功率值具有较强的正相关,即变化趋势相似;当ρk接近−1时,为强负相关;当ρk接近0时,表明时间相关性较弱。例如,在平稳的气象条件下,短期内风电功率变化不大,相邻时刻功率值的自相关系数会较高。
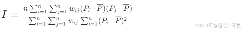
不同地理位置的风电场,由于气象条件的空间连续性以及地形地貌的共同作用,其风电功率存在空间相关性。Moran's I 指数是常用的衡量空间自相关的指标。假设有n个风电场,其功率值为{Pi}i=1n,空间权重矩阵为W=(wij),其中wij表示风电场i与j之间的空间关系(如基于距离的倒数定义,距离越近权重越大),则 Moran's I 指数定义为:

式中,P=n1∑i=1nPi为所有风电场功率的均值。Moran's I 指数取值范围为[−1,1],I>0表示正空间自相关,即相邻风电场功率值具有相似性;I<0为负空间自相关;I=0意味着不存在空间自相关。在实际风电场布局中,地理位置相近的风电场往往受到相似的大气环流影响,其风电功率呈现正空间自相关。
5.完整工程文件
v
v