目录
1.课题概述
基于阶梯式碳交易机制的电制氢综合能源系统热电优化matlab仿真。全球气候变暖,我国提出 "双碳" 目标,电力行业碳减排对实现目标意义重大。综合能源系统(IES)可优化多能系统低碳经济性,但多数文献在研究 IES 时,存在碳排放模型简单、未充分考虑碳交易市场作用、忽略 P2G 两阶段运行效益及 CHP 热电比可调优势等问题。
2.系统仿真结果


3.核心程序
matlab2024b
......................................................................
%求解配置
ops    = sdpsettings('solver','cplex','verbose',2,'usex0',0);
ops.cplex.mip.tolerances.mipgap=1e-6;
%求解       
result = optimize(constraint,Jcost,ops);
Jcost  = value( Jcost);
num2str(Jcost)%最优值
 
%电功率情况
figure
subplot(221);
bar([E_bp;Epw_hfc;Dis_pw1;DGpw;Epw_chp;Epw_el;Ch_pw1]',0.4,'stacked');
hold on
plot(Ld_e,'-r>',...
    'LineWidth',1,...
    'MarkerSize',6,...
    'MarkerEdgeColor','k',...
    'MarkerFaceColor',[0.9,0.9,0.0]);
xlabel('时间/h');
ylabel('功率/kW');
title('电功率平衡图');
legend('购电功率','HFC功率','放电功率','风电功率','CHP功率','EL功率','储电功率','电负荷功率');
ylim([0,2500]);
%热功率情况
subplot(222);
bar([Rpw_hfc;Rpw_chp;Rpw_gb;Dis_pw2;Ch_pw2]',0.4,'stacked');
hold on
plot(Ld_r,'-r>',...
    'LineWidth',1,...
    'MarkerSize',6,...
    'MarkerEdgeColor','k',...
    'MarkerFaceColor',[0.9,0.9,0.0]);
xlabel('时间/h');
ylabel('功率/kW');
title('热功率平衡图');
hold on
legend('HFC功率','CHP功率','GB功率','热放功率','热储功率','热负荷功率');
%氢功率情况
subplot(223);
bar([Hpw_el;Dis_pw4;Hpw_mr;Hpw_hfc;Ch_pw4]',0.4,'stacked');
xlabel('时间/h');
ylabel('功率/kW');
title('氢功率平衡图');
legend('P2G功率','氢放功率','MR功率','HFC功率','氢储功率');
%气功率情况
subplot(224);
bar([G_bp;Dis_pw3;Gpw_mr;Gpw_gb;Gpw_chp;Ch_pw3]',0.4,'stacked');
hold on
plot(Ld_g,'-r>',...
    'LineWidth',1,...
    'MarkerSize',6,...
    'MarkerEdgeColor','k',...
    'MarkerFaceColor',[0.9,0.9,0.0]);
xlabel('时间/h');
ylabel('功率/kW');
title('气负荷功率平衡图');
legend('购气功率','放气功率','甲烷反应器功率','GB功率','CHP功率','储气功率','气负荷功率');
DGpw=value(DGpw);
figure
subplot(121);
plot(DGpw,'b','LineWidth',2);
hold on
plot(Pw_pre,'r>',...
    'LineWidth',1,...
    'MarkerSize',8,...
    'MarkerEdgeColor','k',...
    'MarkerFaceColor',[0.9,0.9,0.0]);
xlabel('时间/h');
ylabel('功率/kW');
legend('实际风电出力','预测风电出力');
subplot(122);
plot(DGpw-Pw_pre,'-r>',...
    'LineWidth',1,...
    'MarkerSize',6,...
    'MarkerEdgeColor','k',...
    'MarkerFaceColor',[0.9,0.9,0.0]);
xlabel('时间/h');
ylabel('功率/kW');
legend('实际风电出力与预测值误差');
ylim([-1200,1200]);
1114.系统原理简介
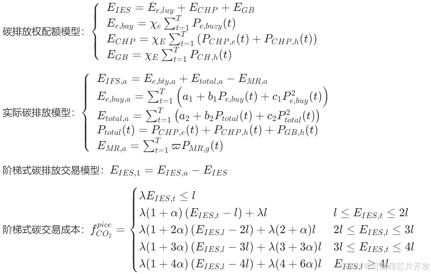
阶梯式碳交易机制
阶梯式碳交易机制是一种基于碳排放总量控制与市场交易相结合的政策工具。该机制将碳排放额度划分为多个阶梯区间,不同阶梯设定不同的碳交易价格。当企业或系统的碳排放量低于基础阶梯额度时,可将剩余的碳排放额度在碳交易市场出售,获取经济收益;若碳排放量超出某一阶梯额度,则需按照该阶梯对应的高价购买额外的碳排放配额,以此激励企业和系统主动减少碳排放 。在电制氢综合能源系统中,阶梯式碳交易机制通过价格杠杆,促使系统优化能源生产与消费结构,减少高碳能源使用,增加清洁能源比例,从而降低整体碳排放。
电制氢综合能源系统
电制氢综合能源系统集成了电力、氢能、热能等多种能源形式,实现能源的协同生产、存储与利用。在该系统中,电能可通过电解水制氢装置转化为氢能,氢能可用于发电、供热或作为工业原料等。同时,系统还包含传统的热电联产机组、锅炉、热泵等设备,实现热能的供应;通过风力发电、光伏发电等可再生能源发电设备以及常规火力发电设备实现电力供应。各能源子系统之间相互耦合,存在复杂的能量转换与传递关系,为系统的优化运行提供了多种可能性 。
热电优化原理
基于阶梯式碳交易机制的电制氢综合能源系统热电优化,旨在以最小化系统运行成本(包括能源购买成本、设备运行维护成本以及碳交易成本等)为目标,同时满足用户的电力和热力需求,并确保系统的碳排放处于合理区间。通过合理调配电制氢设备、热电联产机组、可再生能源发电设备等的运行状态,优化能源生产与分配方案,实现能源的高效利用和低碳排放。例如,在碳交易价格较高的阶梯区间,系统会倾向于增加可再生能源发电和电制氢的比例,减少火力发电,从而降低碳排放;而在碳交易价格较低时,可能会根据能源成本和需求情况,适度调整各设备的运行策略 。
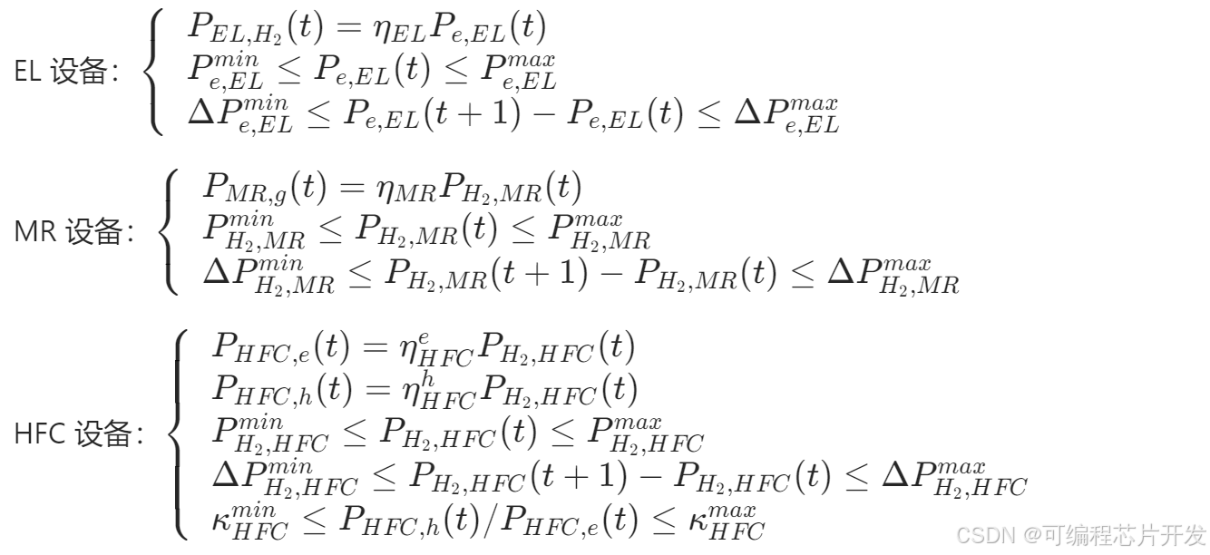
热电比可调的 CHP 能根据电、热需求调整出力,其工作模型包含发电、供热功率计算,输入天然气功率限制,爬坡约束和热电比约束等公式:

P2G两阶段运行包含 EL、MR和HFC设备的能量转化过程,分别由以下公式描述:

阶梯式碳交易机制模型:包含碳排放权配额模型、实际碳排放模型和阶梯式碳排放交易模型。

综合考虑购能成本、阶梯式碳交易成本和弃风成本,构建运行总成本最小的目标函数:

约束条件:包括风电出力约束、各设备运行约束、储能运行约束、电功率平衡约束、热功率平衡约束、天然气平衡约束和氢平衡约束等。
模型线性化处理:将构建的混合整数非线性模型转化为混合整数线性模型,采用Yalmip调用 CPLEX求解器进行求解。
考虑IES参与碳交易市场、细化P2G两阶段运行过程以及CHP、HFC热电比可调特性,可构建IES低碳经济优化调度模型,减少碳排放、降低运行成本、提高能源利用率。后续研究可考虑IES参与能源市场辅助服务、柔性负荷参与优化调度以及新能源出力不确定性等问题。
5.完整工程文件
v
v