极性Costas 环的工作原理如图所示,是Costas 环的一种改进环路

与Costa环相比,极性Costa 环的区别在于鉴相方式的不同。
进入解调器的数字信号与NCO 产生的同相正交两路本地载波信号分别相乘并经过低通滤波器后,得到两路低频信号,这两路信号分别与另外一路信号经过限幅进行相乘,并对之后的结果进行相减完成鉴相,之后将鉴相所得的相位误差经过环路滤波器后送给NCO,对本地信号的频率和相位进行调整,完成载波同步过程。
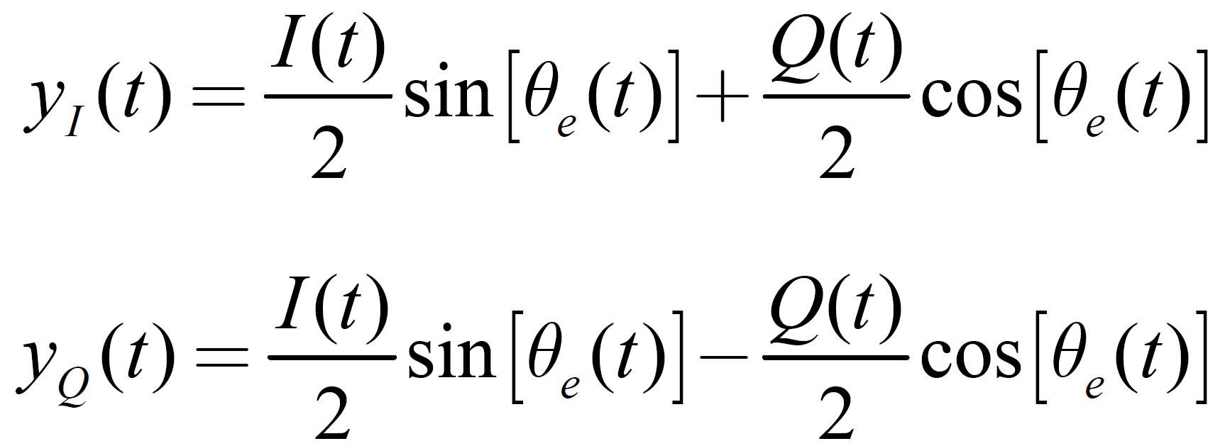
假设NCO 输出的两路本地信号分别为:

则与NCO 产生的两路本振信号相乘,并且经过低通滤波器后输出的信号分别为:

鉴相器的输出结果为:

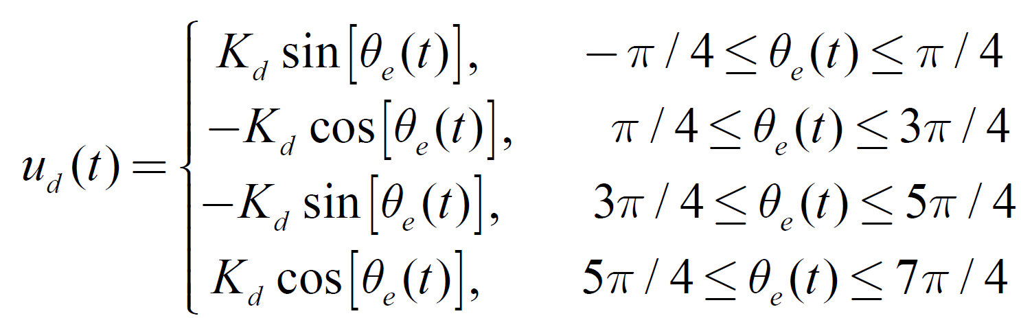
由于I (t)与Q(t)分别可取值
,对于相位误差
,环路的等效鉴相特性为:

式中,
为等效鉴相增益系数。
可以看出,等效鉴相特性曲线以
为周期,具有四种可能的锁定状态,分别位于 0、
附近。极性 Costas环的等效鉴相特性曲线如图所示。

四次方环法和四相Costa 环法提取同步载波均需要使用大量乘法器,运算复杂,资源消耗大。极性Costas 环结构简单,易于硬件电路实现。极性Costas 环路中鉴相部分的乘法运算可以用简单符号判决来完成,只需要根据一路输入数据的符号位,对另外一路数据进行取反操作即可。