重排 指某种化合物在试剂、温度或其他因素的影响下,发生分子中某些基团的转移或分子内碳原子骨架的改变的过程。分子重排反应就是化学键的断裂和形成发生在同一分子中,引起组成分子的原子的配置方式发生改变,从而形成组成相同、结构不同的新分子的反应。
重排反应中键的断裂和形成的方式有异裂 、均裂 和环状过渡态三种。
一般重排反应具有以下的特点:
①分子内转移:重排反应通常发生在单一分子内,不涉及其他分子的参与。
②同分异构化:产物的分子式和反应物一致,但结构不同。
③中间体参与:许多重排反应经过碳正离子、自由基或碳负离子等中间体。
④反应驱动力:一般由更高的稳定性(如形成更稳定的碳正离子或更低的环张力)或更有利的共振结构驱动。
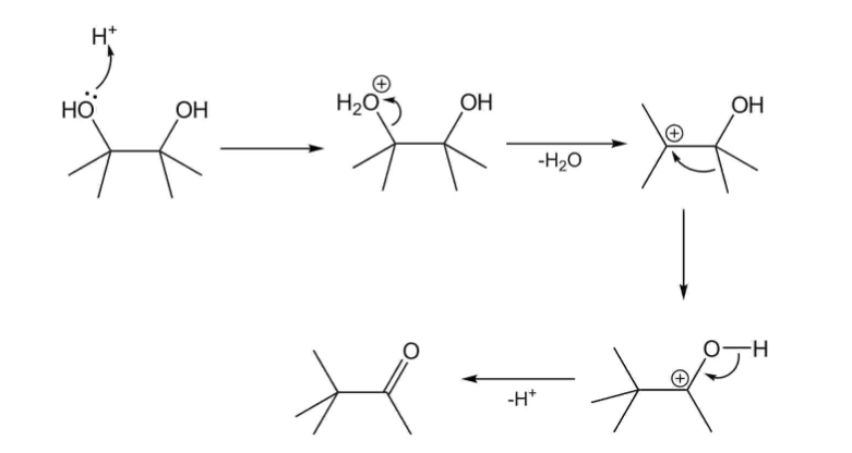
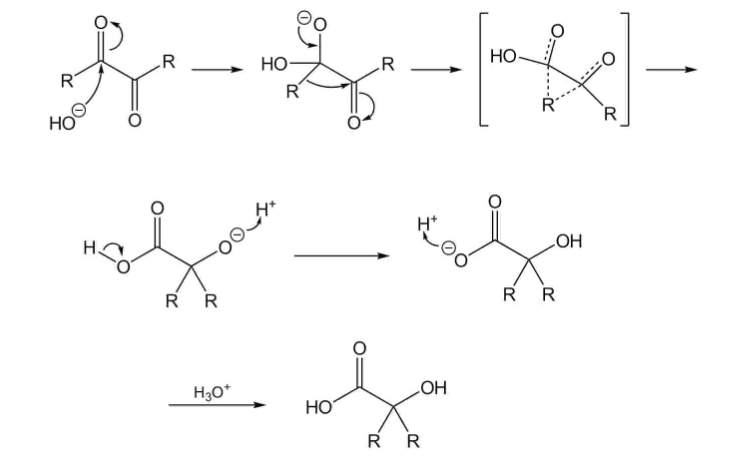
(1) 频哪醇重排(Pinacol Rearrangement)
邻二醇在酸的作用下发生重排生成酮的反应称为频哪醇重排。

图源:摩熵化学(MolAid)
反应特点为:
- 底物范围:几乎所有的邻二醇(无论是环状还是非环体系)都可以在酸性条件下发生重排反应。
- 产物特性:如果取代基全同,产物唯一;若取代基不同,则产物为混合物。
- 反应机理:通过形成稳定的碳正离子生成最终产物,反应具有高度的区域选择性和立体选择性,特别是在环状体系中。
- 迁移趋势:能稳定碳正离子的基团(电子给体)优先迁移,迁移顺序为:芳基 ~ H ~ 烯基 > 叔丁基 >> 环丙基 > 二级烷基 > 一级烷基。取代芳基的迁移顺序依次为:p-MeO-Ar > p-Me-Ar > p-Cl-Ar > p-Br-Ar > p-O₂N-Ar。若迁移基团为手性,其手性保持不变。
- 环状体系特性:反应可能通过扩环或缩环的方式完成,且迁移基团需处于离去羟基的反位方能取得较好收率。
- 酸性条件:典型酸性条件包括25%硫酸水溶液、高氯酸、磷酸及路易斯酸(如BF₃、TMSOTf)。
- 局限性:反应存在一些不足,如复杂邻二醇底物难以制备,产物易为混合物;可能发生β-消除生成烯烃副产物;碳正离子中间体存在平衡;环状体系中构型及邻基参与效应增加反应复杂性。

Pinacol Rearrangement反应机理|图源:摩熵化学(MolAid)
反应示例:
【1】Journal of the Iranian Chemical Society, 2019, vol. 16, # 5, p. 1029 - 1040

【2】Journal of Catalysis, 2010 , vol. 270, # 1 p. 196 - 205

图源:摩熵化学(MolAid)
(2) 异丙苯氧化重排(Hock Fragmentation/Rearrangement)
该法以丙烯和苯为起始原料,首先苯和丙烯在三氯化铝的作用下,产生异丙苯,异丙苯三级碳原子上的氢比较活泼,在空气的直接作用下,氧化生成过氧化物,过氧化物在酸的作用下,失去一分子水,形成一个氧正离子,苯环带着一对电子转移到氧上,发生所谓的缺少电子的氧所引起的重排反应,得到"碳正"离子,"碳正"离子再和水结合,去质子分解成丙酮及苯酚。由异丙苯经氧化、重排直至生成丙酮及苯酚的过程称为异丙苯的氧化重排。

Hock Rearrangement反应机理|图源:摩熵化学(MolAid)
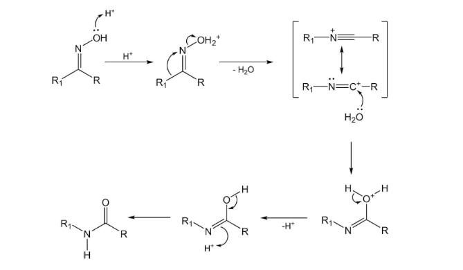
(3) 贝克曼重排(Beckmann Rearrangement)
酮肟在酸性催化剂的作用下重排成酰胺的反应称为贝克曼重排 。常用的重排试剂有硫酸、五氯化磷、贝克曼试剂(氯化氢在乙酸-乙酸酐中的溶液)、多聚磷酸和某些酰卤等。

图源:摩熵化学(MolAid)
在酸作用下,肟首先发生质子化,然后脱去一分子水,同时与羟基处于反位的基团迁移到缺电子的氮原子上,烷基的迁移并推走羟基形成氰基,然后该中间体被水解得到酰胺。在酮肟分子中发生迁移的烃基与离去基团(羟基)互为反位。在迁移过程中迁移碳原子的构型保持不变。

Beckmann Rearrangement反应机理|图源:摩熵化学(MolAid)
根据产物推断得出离去基团与迁移基团处于反式构型。基团的离去与迁移是同步进行的,避免生成氮正离子中间体,从而形成单一产物。此外,迁移基团在迁移过程中保持构型不变,该反应可用于制备取代酰胺、伯胺和氨基酸等化合物。
反应示例:
【1】Organic Letters, 2001 , vol. 3, # 2 p. 311 - 312

【2】Synlett, 2010 , # 13 p. 2019 - 2023

图源:摩熵化学(MolAid)
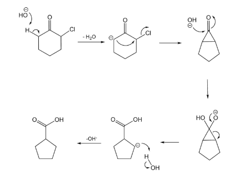
(4) 法沃斯基重排(Favorskii Rearrangement)
在醇钠或氢氧化钠或氨基钠等碱性催化剂存在下,α-卤代酮(氯代酮或溴代酮)失去卤原子,重排成具有相同碳原子的羧酸酯、羧酸、酰胺的反应。

图源:摩熵化学(MolAid)
第一步,碱使α-卤代酮生成烯醇负离子,负离子进攻溴连接的碳原子,溴离子离去,形成环丙酮中间体;第二步,碱对环丙酮的羰基碳进行亲核加成,形成四面体中间体并引发基团迁移(三元环开环),生成羧酸的β-碳负离子,最终质子化得到羧酸产物。

Favorskii Rearrangement反应机理|图源:摩熵化学(MolAid)
反应示例:
【1】Justus Liebigs Annalen der Chemie, 1918 , vol. 417, p. 267

【2】Chemistry--A European Journal, 2007 , vol. 13, # 20 p. 5688 - 5712

图源:摩熵化学(MolAid)
(5) 拜耳-魏立格氧化重排(Baeyer-Villiger Oxidation)
酮类化合物被过酸氧化,与羰基直接相连的碳链断裂,插入一个氧形成酯的反应称为拜耳-魏立格(Baeyer-Villiger)氧化重排。
常用的过酸有:
①一般过酸 + 无机强酸(H2SO4)
②强酸的过酸 :CF3COOOH
③一般酸 + 一定浓度的过氧化氢(产生的过酸立即反应)

Baeyer-Villiger Ketone Oxidation反应机理|图源:摩熵化学(MolAid)
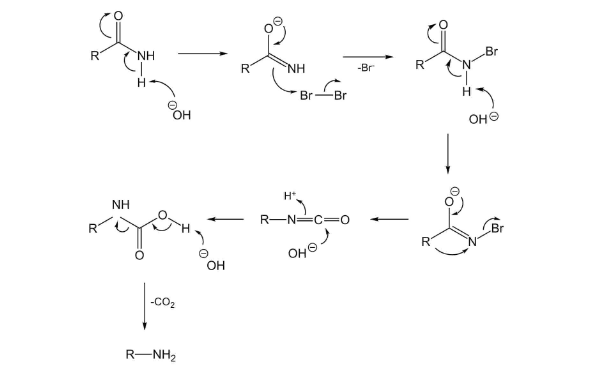
(6) 霍夫曼重排(Hofmann Degradation/Rearrangement)
酰胺与次卤酸盐的碱溶液(或卤素的氢氧化钠溶液)作用时,放出二氧化碳,生成比酰胺少一个碳原子的一级胺的反应。

图源:摩熵化学(MolAid)
反应机理:
1)酰胺卤代,得到N-卤代酰胺的中间体;
2)在碱的作用下,脱去卤化氢,得到一个缺电子的氮原子的中间体(酰基氮烯),容易发生重排;
3)碳基碳原子相连的烷基带着一对电子重排到氮原子上,同时离去溴负离子,生成异氰酸酯;
4) 异氰酸酯分子中具有累积双键,在碱性条件下水解,脱去二氧化碳生成少一个碳原子的伯胺。

Hofmann Rearrangement反应机理|图源:摩熵化学(MolAid)
反应示例:
【1】Journal of Medicinal Chemistry, 2007 , vol. 50, # 24 p. 6265 - 6273

【2】Journal of Medicinal Chemistry, 2007 , vol. 50, # 24 p. 6265 - 6273

图源:摩熵化学(MolAid)
(7)二苯乙醇酸重排(Benzilic Acid Rearrangement)
α-二酮在浓碱作用下发生重排,生成二苯乙醇酸的重排反应称为二苯乙醇酸重排。

图源:摩熵化学(MolAid)
反应机理:
二苯乙醇酸重排是不可逆的过程。机理的第一步是在亲核试剂(HO-,醇盐或氨基离子)对C=O键的加成,得到四面体中间体。下一步是芳基或烷基迁移,形成相应的羟基盐,最后经酸处理,即可得到二苯乙醇酸。

Benzilic Acid Rearrangement反应机理|图源:摩熵化学(MolAid)
反应的一般特性:
这个反应可以在脂肪族和芳香族的α-二酮和α-酮醛。
通常二芳基二酮会以优异的产率进行Benzilic acid重排,但由于竞争性的醛醇缩合反应,具有可烯化的质子的脂肪族二酮产率较低。
环二酮在该反应条件下,会发生缩环Benzilic acid重排;
当用醇盐或酰胺阴离子代替羟基时,会形成相应的酯和酰胺,这个过程称为二苯乙醇酸酯重排(benzilic ester rearrangement);
容易被氧化的醇类化合物(如乙氧基或异丙氧基),在该重排反应中是无用的,因为这些物质会将α-二酮还原为相应的α-羟基酮;
芳基往往比烷基迁移得更快;
当有两个不同的芳基时,其主要产物通常是具有更强吸电子基团的芳香环的迁移。
反应示例:
【1】Bulletin des Societes Chimiques Belges, 1981 , vol. 90, # 3 p. 247 - 254

【2】Farmaco, 1992 , vol. 47, # 9 p. 1133 - 1147

图源:摩熵化学(MolAid)
(8) 克莱森重排(Claisen rearrangement)
烯丙基芳基醚在高温下可以重排为邻烯丙基酚或对烯丙基酚,这称为克莱森重排。

图源:摩熵化学(MolAid)
反应机理:
该反应是一类重要的有机周环反应,为协同反应机理([3,3]-σ 迁移),先形成六元环过渡态,然后氧原子上的烯丙基通过环状过渡态迁移至苯环(芳香族)或另一双键碳(脂肪族)。键的断裂与形成同步进行,无中间体生成。
Claisen重排、Eschenmoser-Claisen重排、Johnson-Claisen重排、Ireland-Claisen重排都属于**[3,3]-σ重排的同一类协同效应**。
Claisen Rearrangement:

Eschenmoser-Claisen Rearrangement:

Johnson-Claisen Rearrangement:

Ireland-Claisen Rearrangement:

上述反应机理图片小编都是在摩熵化学 看的哦,有感兴趣的小伙伴可以自行查看,摩熵化学设有专门的"人名反应"板块。不仅提供反应文字描述,更常包含反应机理图示和相关示例,示例包括反应描述和参考文献,可了解到最新研究文献和应用进展。

关于"重排反应"的总结就到这里啦,希望对你有所帮助~
本文是个人对于相关知识的理解与总结,仅用于学习交流,欢迎各位小伙伴批评指正。