一阶惯性环节的传递函数:

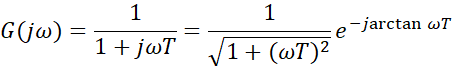
频率特性:


幅频特性:

相频特性:

对数幅频特性:

对数相频特性:

首先分析对数幅频特性曲线的大致形状。
(1)当 ω ≪1/T 时,对数幅频特性可近似为

(2)当 ω ≫1/T 时,对数幅频特性可近似为

惯性环节的对数幅频特性渐进曲线 近似为两段直线,交点处频率 ω = 1/T ,称为转折频率 ,高频部分是斜率为****-20dB/dec 的直线 ,Bode 图如图所示。注意ω 处为转折频率,在转折频率的地方相角特性在-45° ,在10ω 处才到-90° 。这里两条直线仅为渐进线,在转折频率处误差最大,为-3dB。
R和C的并联可以看作一阶惯性环节和比例环节的串联,其中T=RC 。

对于Nyquist图来说,是一个半径为R/2 的半圆 ,C在这里对半圆的形状没有影响,影响是曲线弯曲的快慢,转折频率ω =1/T ,此时相角特性为 -45 ° ,如果C 很小,需要在很高的频率下才会起到作用 ,呈现出类似半圆的形状,在低频下,C可以看作断路 ,所以在Nyquist上始终是一个点。比如,我们绘制RC并联阻抗的Nyquist图,取R=100 Ω ,C=1.59nF ,此时转折频率为1MHz。

Matlab
clc; clear; close all;
% ====== RC 并联参数 ======
R = 100; % 电阻 (Ω)
C = 1.57e-9; % 电容 (F)
% ====== 频率范围 ======
f = logspace(1, 6, 200); % 10 Hz ~ 1 MHz
w = 2*pi*f;
% ====== RC并联阻抗 ======
Z = 1 ./ (1/R + 1j*w*C);
% ====== 绘制 Nyquist ======
figure(1);
plot(real(Z), -imag(Z), 'LineWidth', 1.5); % Nyquist: x=Re(Z), y=-Im(Z)
xlim([0 120])
ylim([0 120])
grid on;
title('Nyquist Plot of Parallel RC','FontSize',16);
xlabel('Real(Z) (\Omega)','FontSize',14);
ylabel('-Imag(Z) (\Omega)','FontSize',14);
figure(2);
semilogx(f,imag(Z));
grid on;