DeepSeek 一发布模型,总会引起业内的高度关注与广泛讨论,但也不可避免的暴露出一些小 Bug。
比如老外用英文询问,它却在思考过程中切回「神秘的东方文字」。当然,DeepSeek 模型对汉字「情有独钟」的情况早已出现,「极」字 Bug 就是典型例子。
而这一次,随着新模型 DeepSeek-V3.2 的发布,大家又发现了 DeepSeek 需要优化的地方:其长思考版本(Speciale)暴露出一些 Token 使用效率不佳的问题。
根据多位研究者反馈,DeepSeek-V3.2 Speciale 在处理复杂任务时出现明显的 Token 消耗异常。具体表现为:
在相同任务上,Gemini 只消耗 2 万 Token,DeepSeek-V3.2 Speciale 却用了 7.7 万,也就是说,它需要 3 倍以上的 Token 才能输出类似质量的结果。
另外,Speciale 版本出现输出内容又长又啰嗦的问题,但最终仍然错的情况,这并不是新问题,而是 GRPO 算法本身的固有缺陷。

实际上,DeepSeek-V3.2 在 Token 消耗方面的异常表现,已经被不少用户与研究者观察到。有社区网友指出,Speciale 版本的确具备极强的推理能力,但在实际使用中 Token 消耗速度如喝水般迅速,显著高于同类模型。他们评价,如果 DeepSeek-V3.2 Speciale 的生成速度能够从当前的大约 30 tokens/s 提升至 100 tokens/s 左右,那么其综合可用性和使用体验都将获得大幅改善。

独立分析 AI 模型和托管服务提供商 Artificial Analysis 则表示:「DeepSeek V3.2 在推理模式下比上一代更啰嗦,在运行 AAII(Artificial Analysis Intelligence Index)基准测试时,输出 Token 消耗明显增加,达 8600 万,而上一版本仅为 6200 万。」

「即使是和 Grok 和 Mistral 对比,也是明显看到 DeepSeek V3.2 输出 Token 的延迟。」

这种情况,DeepSeek 也在技术报告中很坦诚的承认并且做出了数据对比。


报告中提及,DeepSeek-V3.2-Speciale 的 token 使用效率明显低于 Gemini-3.0-Pro。
为了降低部署成本并减少推理时延,官方版 DeepSeek-V3.2 的训练过程中施加了更为严格的 token 约束,以期在性能与成本之间取得更优的权衡。DeepSeek 研究者们表示,token 效率仍将是未来一个至关重要的研究方向。
DeepSeek 技术报告:modelscope.cn/models/deep...
输出内容又长又啰嗦,GRPO 算法存在缺陷
GRPO 算法随着 DeepSeek 的诞生而成为强化学习的黄金范式,相信读者们早就不陌生了。
我们对 GRPO 的方法基本原理曾有过系统的介绍,建议读者参考我们的科普文章。科普向:一文解构大模型后训练,GRPO 和它的继任者们的前世今生
早在今年三月份公开的论文《Understanding R1-Zero-Like Training: A Critical Perspective》中,来自 Sea AI Lab 和 NUS 等的研究者们,揭示了 GRPO 算法的两大问题,认为 GRPO 会导致模型有偏置的优化。

-
论文标题:Understanding R1-Zero-Like Training: A Critical Perspective
-
Github 链接:github.com/sail-sg/und...
在 DeepSeek-R1-Zero 的训练过程中,就已有模型的响应长度在整个训练阶段持续增长的现象,而在 DeepSeek-V3.2 Speciale 中仍然存在。
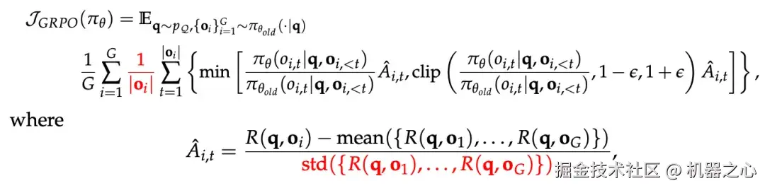
以下公式是经典的 GRPO 损失函数,论文作者很贴心地把影响优化过程的部分标红了:

GRPO 的目标函数结构中存在了:
- 长度偏置(Length Bias)
该偏置来源于目标函数中对每个序列引入的归一化因子:
。
-
当优势函数为正值时(表示对应的响应是正确的):较短的响应会产生更大的梯度更新幅度,从而使策略在优化过程中更倾向于生成简短的正确答案。
-
当优势函数为负值时(表示对应的响应是错误的):较长的错误响应所受到的惩罚反而更弱,从而导致策略在错误样本中偏向于生成更长的回答。
这解释了:即便不引入任何「显式鼓励长推理链」的机制,GRPO 训练出的模型也会自然呈现出响应长度不断增长的趋势,躲避惩罚,生成又错又长的回复。
- 难度偏置(Difficulty Bias)
该偏置来源于优势函数中对优势函数进行标准化时所使用的分母:

这会导致当某些问题的回报标准差较小,尤其是题目过于困难,几乎所有回报都为 0 的时候,在策略更新过程中将被赋予更大的梯度权重,忽视了那些难度适中的实际问题。
我们从 DeepSeek-V3.2 的技术报告中发现,难度偏置已经被优化了,而长度偏置仍然被保留。这或许是 DeepSeek-V3.2 Speciale 超级耗 token 的罪魁祸首。

上述「长度偏置」问题其实由来已久,在 GRPO 的前身 PPO 方法中就早已存在。但是,在 PPO 的损失函数公式中其实并没有「长度偏置」这一项,而在 PPO 的大多开源实现中,却大都加入了这一项。
作者推测,这种不一致性可能源自预训练阶段:
所有 token 会被打包进一个固定长度的上下文窗口,通过对上下文长度进行归一化可以有效提升数值稳定性。
但在 RL 微调阶段保持相同的实现方式会,按照响应长度对损失进行归一化。但响应长度不是常数且在不同样本之间变化剧烈,从而无意中引入了一个长度偏置。
由此可见,理论和实际实现之间总有些许的差别。等到 DeepSeek-V4 的上线,这个问题会不会就此解决呢?