2512 青少年等级考试机器人理论真题

单选题(20题,共80分)
第1题
下列选项中,关于传感器描述正确的是?
A.将非电的物理量转化为数字信号的器件
B.将非电的物理量转化为模拟信号的器件
C.将非电的物理量转化为电信号的器件
D.将电信号转化为其他形式信号的器件
第2题
下列选项中,属于半导体材料的是?
A.电阻
B.发光二极管
C.铜导线
D.纯净水
第3题
下列电路符号中,用于标识光敏电阻的是?
A.
B.
C.
D.
第4题
下列选项中,说法错误的是?
A.电路搭设完毕,通电前要检查电路
B.电路搭设时,因为电阻没有极性,无需考虑方向
C.电路搭设时,需要注意LED引脚的极性
D.电路搭设时,可以带电插拔元器件
第5题
在电路的基本组成中,LED灯属于?
A.导线
B.电源
C.开关
D.用电器
【参考答案】
第6题
下列选项中,用于表示电压单位的是?
A.I
B.U
C.R
D.V
第7题
下列选项中,通常用作数字信号传感器的是?
A.LED
B.按键开关
C.电位器
D.蜂鸣器
第8题
通常情况下,Arduino UNO/Nano主控板的工作电压是?
A.1.5V
B.3.5V
C.5V
D.7-12V
第9题
Arduino UNO/Nano主控板,程序模块如下,程序中变量val值的范围是?
A.0/1
B.0/1023
C.0~255
D.0~1023
第10题
下列选项中,控制LED灯亮度的变化,所对应的程序块是?
A.
B.
C.
D.
第11题
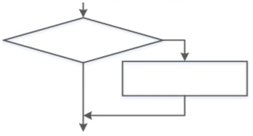
流程图如下,与该流程图对应的程序模块是?
A.
B.
C.
D.
第12题
下列选项中,与表达式0≤x≤5所对应的是?
A.
B.
C.
D.
第13题
程序模块如下,程序运行后,串口监视器输出的值是?
A.0.00
B.255
C.256
D.256.00
第14题
通过旋转电位器控制舵机的转动,下列选项中,可实现变量angle值的范围在45~135之间的程序是?
A.
B.
C.
D.
第15题
程序模块如下,程序运行后,串口监视器输出的结果是?
A.**
B.***
C.****
D.******
第16题
程序模块如下,下列选项中,可与该模块对应的器件是?
A.电位器
B.按键模块
C.LED
D.蜂鸣器
第17题
获取按键模块的返回值,下列选项中,可使用的程序模块是?
A.
B.
C.
D.
第18题
Arduino UNO/Nano主控板,电路原理图和程序如下图所示,通过引脚5控制LED灯的状态,下列选项中,LED灯点亮所对应的电路连接是?


A.节点A连接到5V引脚,节点B连接到引脚5
B.节点A连接到GND,节点B连接到引脚5
C.节点A连接到引脚5,节点B连接到5V引脚
D.节点A连接到引脚5,节点B连接到GND
第19题
Arduino UNO/Nano主控板,下图程序模块控制板载LED灯闪烁3次,程序中变量val的值是?
A.2
B.3
C.-2
D.-3
【参考答案】
第20题
Arduino UNO/Nano主控板,通过超声波传感器检测障碍物的距离来控制舵机旋转角度的变化,舵机连接到主控板的6引脚,当障碍物靠近时,舵机的转动角度增大,部分程序如下图所示,其中红框A对应的程序是?
A.
B.
C.
D.
多选题(5题,共10分)
第1题
下列有关Arduino的描述中,正确的是?
A.Arduino仅指硬件主控板
B.Arduino仅指软件开发平台Arduino IDE
C.Arduino是指开源硬件和软件平台
D.Arduino以开源的方式进行推广
第2题
下列选项中,属于模拟信号的是?
A.汽车行驶的速度
B.一个人身体的高度
C.室外温度
D.水龙头水的流量
第3题
如图所示电路,11和12分别表示流经电阻R1和R2的电流,U1和U2分别表示电阻R1和R2两端的电压,U表示电源电压,I表示总的电流,下列选项中,正确的是?
A.I1=I2
B.I=I1+I2
C.U1=U2
D.U=U1+U2
第4题
程序设计三种基本结构包含有?
A.顺序结构
B.循环结构
C.选择结构
D.单分支结构
第5题
下列选项中,属于执行器的是?
A.按键
B.舵机
C.LED
D.蜂呜器
判断题(5题,共10分)
第1题
在潮湿的环境下,人体的安全电压为36V。
A.正确
B.错误
第2题
器件引脚的标识符为GND,表示该引脚可以连接到电源的正极。
A.正确
B.错误
第3题
并联电路中,各支路两端的电压相等。
A.正确
B.错误
第4题
电路中,当按键模块按下时,输出高电平。
A.正确
B.错误
第5题
Mixly程序中,所有非零值均表示真。
A.正确
B.错误
