一、向量的内积与正交性
1、向量的内积
(1)定义:
(2)性质:
2、向量的长度
(1)定义:
(2)单位向量与单位化:
3、向量的正交
4、施密特正交法
一个线性无关的向量组不一定能作为一个规范正交基,但能使用施密特正交法将其转化为一个规范正交基(前提是向量组中所含的向量数等于向量维数),或者转化为互相正交的向量组,以下即为施密特正交法的操作步骤
5、正交矩阵
(1)定义:
(2)性质:
6、例题
二、方阵的特征值与特征向量
1、特征值与特征向量的定义
2、特征值与特征向量的求法
(1)求解步骤:
(2)求解步骤说明:
(3)特例:
3、特征值与特征向量的性质

4、例题





三、相似矩阵与对角化
1、相似矩阵的定义

2、相似矩阵的性质


3、方阵的对角化
(1)可对角化的定义:

(2)方阵可对角化的两个充要条件(满足一个充要条件即可,或者说两个充要条件和方阵可对角化互为充要条件):
①一个充要条件:


②另一个充要条件:

(3)方阵可对角化的充分条件:

4、例题


四、对称矩阵的对角化
1、对称矩阵的特征值与特征向量


2、对称矩阵对角化的步骤

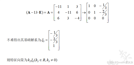
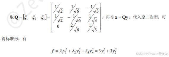
3、例题






五、二次型及标准形
1、二次型的定义及矩阵表示
(1)二次型的定义:

(2)二次型的矩阵表示:

2、二次型的标准形
(1)二次型的标准形的定义:

(2)规范形:
在二次型的标准形中,若平方项的系数只有1、-1和0,则称此标准形为规范形
标准形与其对应的规范形的正/负惯性指数相同,其对应的规范形可由换元法求出,即通过换元将标准形中每一项的非零系数转换为1或-1
3、化二次型为标准形
(1)可逆变换与正交变换:

(2)合同矩阵:


(3)化二次型为标准形的两种方法:
①正交变换法:

②配方法:




(4)二次型的标准形不唯一,但规范形唯一。
4、例题





六、正定二次型
1、正定二次型的定义

2、正定二次型的判别


3、例题
