技术栈
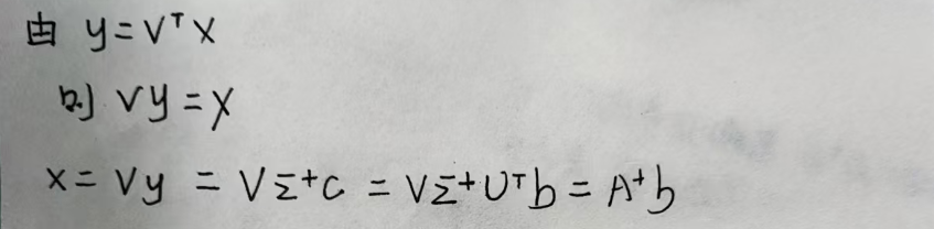
SVD求解最小二乘(手写推导)
甄心爱学习
2025-12-28 19:14
推导过程
补充
(用到的性质用蓝笔标出来了)
1.正交矩阵的性质
2.对称正定矩阵的性质
3.SVD分解的具体方法
4.满秩与秩亏
这里看看AI的解释吧,有点忘了
5.广义逆的定义
线性代数
算法
svd
上一篇:
AI prompt总结
下一篇:
modelsim使用教程,仿真技巧,精华帖
相关推荐
kishu_iOS&AI
1 分钟前
机器学习 —— 线性回归(2)
人工智能
·
python
·
算法
·
机器学习
·
线性回归
NULL指向我
4 分钟前
信号处理学习笔记6:ADC采样线性处理实测拟合
人工智能
·
算法
·
机器学习
汽车仪器仪表相关领域
7 分钟前
NHXJ-02汽车悬架检验台 实操型实战手册
人工智能
·
功能测试
·
测试工具
·
算法
·
安全
·
单元测试
·
可用性测试
源码之屋
8 分钟前
计算机毕业设计:Python天气数据采集与可视化分析平台 Django框架 线性回归 数据分析 大数据 机器学习 大模型 气象数据(建议收藏)✅
人工智能
·
python
·
深度学习
·
算法
·
django
·
线性回归
·
课程设计
我爱C编程
9 分钟前
【3.2】FFT/IFFT变换的数学原理概述与MATLAB仿真
算法
·
matlab
·
fpga
·
fft
·
ifft
chao189844
16 分钟前
基于改进二进制粒子群算法的含需求响应机组组合问题MATLAB实现
开发语言
·
算法
·
matlab
Imxyk
24 分钟前
P9242 [蓝桥杯 2023 省 B] 接龙数列
c++
·
算法
·
图论
炽烈小老头
27 分钟前
【每天学习一点算法 2026/04/10】Excel表列序号
学习
·
算法
郝学胜-神的一滴
28 分钟前
二叉树后序遍历:从递归到非递归的优雅实现
数据结构
·
c++
·
程序人生
·
算法
·
栈
宝贝儿好
30 分钟前
【LLM】第一章:分词算法BPE、WordPiece、Unigram、分词工具jieba
人工智能
·
python
·
深度学习
·
神经网络
·
算法
·
语言模型
·
自然语言处理
热门推荐
01
GitHub 镜像站点
02
一周AI热点速览(2026.03.31-04.06):GPT-6曝光、谷歌开源Gemma 4、资本狂飙与模型军备竞赛
03
OpenClaw 请求超时 llm request timed out 怎么解决?3 种方案实测,附完整排查流程
04
AI 编程效率翻倍:Superpowers Skills 上手清单 + 完整指南
05
MySQL表约束详解:8大核心约束实战指南
06
实测!Gemma 4 成功跑在安卓手机上:离线 AI 助手终于来了
07
Oh My Codex 快速使用指南
08
VMware Workstation Pro 17 虚拟机完整安装教程(2026最新)
09
CodeBuddy与WorkBuddy深度对比:腾讯两款AI工具差异及实操指南
10
UV安装并设置国内源