GrabCut 是计算机视觉领域中一种经典的交互式图像分割算法,由 Microsoft Research Cambridge 在 2004 年提出,最初发表在 SIGGRAPH 会议上。该算法旨在从图像中分离出前景对象和背景,特别适用于前景与背景颜色分布复杂、边界模糊的场景。GrabCut 的名称来源于 "Graph Cut",它将图像分割问题转化为图论中的最小割(Min-Cut)问题,通过能量最小化来实现分割。
与传统的图像分割方法(如阈值分割或边缘检测)相比,GrabCut 具有更高的准确性和鲁棒性。它允许用户通过简单的交互(如绘制矩形框或标记前景/背景像素)来初始化分割过程,然后算法自动迭代优化结果。这使得 GrabCut 广泛应用于图像编辑软件(如 Photoshop 的 Magic Wand 工具的变体)、医疗图像分析、物体识别等领域。
在 OpenCV 中,GrabCut 被实现为 cv2.grabCut 函数,支持 Python、C++ 等语言调用。作为一个半监督算法,GrabCut 结合了颜色信息、纹理信息和用户输入,能够处理高分辨率图像,并在几秒钟内完成分割。算法的核心是使用高斯混合模型(Gaussian Mixture Model, GMM)来建模前景和背景的颜色分布,并通过图割优化边界。
GrabCut 的基本原理
GrabCut 的原理建立在能量最小化框架上,将图像分割视为一个标记问题:为每个像素分配一个标签(前景或背景)。算法假设图像由前景(Foreground)和背景(Background)组成,用户提供粗略的初始标记(如一个包围前景的矩形框),然后算法通过迭代优化来细化分割。
1. 能量函数的定义
GrabCut 使用一个能量函数 E 来量化分割的好坏。这个能量函数由两部分组成:数据项(Data Term)和平滑项(Smoothness Term)。
- 数据项(Unary Term):表示单个像素属于前景或背景的概率。基于颜色分布模型,如果一个像素的颜色更接近前景模型,则其属于前景的能量较低。
- 平滑项(Binary Term):表示相邻像素的标签一致性。如果两个相邻像素颜色相似但标签不同,则会增加能量惩罚,以鼓励平滑的边界。
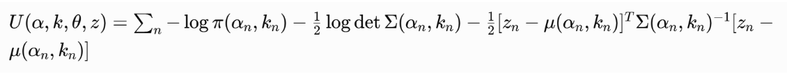
数学上,能量函数定义为:

其中:
- α:每个像素的标签(0 为背景,1 为前景)。
- k:每个像素所属的 GMM 组件。
- θ:GMM 参数(均值、协方差等)。
- z:图像像素值。
数据项 U 计算为:

这本质上是 GMM 的负对数似然。
平滑项 V 基于相邻像素的颜色差异:

其中 C 是相邻像素对,γ 和 β 是常数,用于控制平滑强度。
通过最小化 E,算法找到最优分割。
2. GMM 在 GrabCut 中的作用
GrabCut 使用 GMM 来建模颜色分布。通常,前景和背景各使用 5 个高斯组件(可配置)。GMM 是一种概率模型,能捕捉多模态颜色分布(如前景有红色和绿色区域)。
初始时,根据用户提供的矩形框,外侧像素视为背景,内侧视为前景(但不完全确定)。算法使用 K-Means 或 EM 算法拟合 GMM 参数。
3. Graph Cut 的应用
GrabCut 将图像建模为一个图(Graph),像素作为节点,前景源点(Source)和背景汇点(Sink)作为特殊节点。
- 每个像素节点与源点/汇点连接,边权重基于数据项(属于前景/背景的概率)。
- 相邻像素间连接,边权重基于平滑项(颜色相似度)。
然后,使用最大流/最小割算法(如 Boykov-Kolmogorov 算法)找到最小割,将图分为源点侧(前景)和汇点侧(背景)。
4. 迭代优化
GrabCut 是迭代的:先估计 GMM 参数,然后进行图割更新标签,再用新标签更新 GMM,重复直到收敛。这使得分割从粗糙到精细。
与原始 Graph Cut 相比,GrabCut 的创新在于:
- 减少用户交互:只需一个矩形框,而非逐像素标记。
- 处理颜色重叠:通过 GMM 更好地建模复杂分布。
- 边界细化:引入"硬分割"和"软分割"概念,使用掩码表示可能的前景/背景。
GrabCut 的局限性包括对纹理不敏感(主要依赖颜色)、计算密集(高分辨率图像需优化),以及对初始矩形敏感(如果矩形太松散,可能出错)。
GrabCut 算法详细流程
GrabCut 的算法可以分为初始化、迭代优化和后处理三个阶段。以下是逐步剖析。
1. 初始化阶段
- 用户输入:用户提供一个矩形框(Bounding Box),包围感兴趣的前景对象。框外像素标记为确定背景(BG),框内像素标记为可能前景(PR_FG)或未知。
- 掩码创建:OpenCV 中使用一个掩码数组,值包括:
- 0: 确定背景 (GC_BGD)
- 1: 确定前景 (GC_FGD)
- 2: 可能背景 (GC_PR_BGD)
- 3: 可能前景 (GC_PR_FGD) 初始时,矩形外为 0,内为 3。
- GMM 初始化:收集框外像素作为背景样本,框内作为前景样本。使用 K-Means 聚类初始化 GMM(每个 GMM 有 K=5 个组件)。
- 参数设置:设置迭代次数(默认 5)、GMM 组件数等。
2. 迭代优化阶段
算法循环执行以下步骤,直到能量收敛或达到最大迭代:
a. 像素分配到 GMM 组件: 对于每个像素,根据其颜色,计算属于每个 GMM 组件的概率,并分配到概率最高的组件。
数学上,对于像素 n 的颜色 z_n,组件 k 的权重为:

b. 更新 GMM 参数: 使用分配后的像素更新每个组件的均值 μ、协方差 Σ 和权重 π(通过 EM 算法的 M 步)。

c. 构建图(Graph):
- 节点:每个像素 + 源点 S(前景) + 汇点 T(背景)。
- 边:
- 从像素到 S:权重为 -log(Pr(像素属于前景)),基于 GMM。
- 从像素到 T:权重为 -log(Pr(像素属于背景))。
- 相邻像素间:权重为 γexp(−β∥zm−zn∥2) 如果标签不同,否则 0。
- 对于确定标签的像素,设置无限权重强制标签。
d. 计算最小割: 使用 max-flow/min-cut 算法(如 Ford-Fulkerson 或 Dinic)找到最小割。割后,S 侧像素标记为前景,T 侧为背景。
e. 更新掩码: 根据新标签更新掩码。如果像素在边界附近,可能标记为 PR_FG/PR_BGD 以允许进一步优化。
迭代通常 3-5 次即可收敛。每个迭代的计算复杂度为 O(N),N 为像素数,但实际因图大小而异。
3. 后处理阶段
- 边界细化:GrabCut 可能产生锯齿边界,可结合形态学操作(如膨胀/腐蚀)或 Watershed 算法细化。
- 输出:最终掩码用于提取前景(e.g., 像素值乘以掩码)。
- 用户修正:如果结果不理想,用户可手动标记更多像素(e.g., 用画笔标记前景/背景),然后重新运行 GrabCut。
伪代码表示:
text
Initialize mask with rectangle
Initialize GMMs for FG and BG
While not converged:
Assign each pixel to GMM component
Update GMM parameters
Build graph with unary and binary terms
Compute min-cut to update labels
Update mask
Output segmented image
在 OpenCV 中,cv2.grabCut(img, mask, rect, bgdModel, fgdModel, iterCount, mode) 封装了这些步骤。bgdModel 和 fgdModel 是临时数组,用于存储 GMM 参数。
算法的数学基础源于 Markov Random Field (MRF),GrabCut 通过 GMM 扩展了颜色模型,使其更鲁棒。相比 Boykov 的原始 Graph Cut,GrabCut 减少了用户输入,提高了自动化程度。
实际应用中,GrabCut 的性能取决于图像质量:高对比度图像效果好,低对比度需更多迭代或用户干预。计算开销主要在图割阶段,可用 GPU 加速。
OpenCV 中的 GrabCut 实现
OpenCV(Open Source Computer Vision Library)从版本 2.0 开始支持 GrabCut,作为 cv 模块的一部分。在 Python 中,通过 import cv2 调用。
关键函数:cv2.grabCut
参数:
- img: 输入图像 (3 通道 BGR)。
- mask: 初始掩码 (单通道 uint8)。
- rect: 初始矩形 (x, y, w, h),或 None 如果用掩码初始化。
- bgdModel, fgdModel: 临时数组 (np.float64, shape=(1,65)),用于 GMM。
- iterCount: 迭代次数。
- mode: 初始化模式 (cv2.GC_INIT_WITH_RECT 或 cv2.GC_INIT_WITH_MASK)。
返回:更新后的 mask, bgdModel, fgdModel。
OpenCV 的实现忠实于原论文,但优化了速度,使用了高效的 max-flow 库。默认 GMM 组件为 5,用户不可直接修改,但可通过多次调用细化。
常见问题:
- 内存溢出:大图像需分块处理。
- 颜色空间:RGB/BGR 效果类似,但 HSV 可改善某些场景。
- 集成:常与 cv2.selectROI 结合,选择矩形。
python示例
python
import cv2
import numpy as np
# ---------------- 全局变量 ----------------
img = None
img_show = None
mask = None
bgdModel = None
fgdModel = None
drawing = False
rect_start = None
rect = None
mode = None
initialized = False
BRUSH_SIZE = 5
# ---------------- GrabCut ----------------
def apply_grabcut(init=False):
global initialized
if init:
cv2.grabCut(
img, mask, rect,
bgdModel, fgdModel,
iterCount=5,
mode=cv2.GC_INIT_WITH_RECT
)
initialized = True
else:
cv2.grabCut(
img, mask, None,
bgdModel, fgdModel,
iterCount=3,
mode=cv2.GC_EVAL
)
show_result()
def show_result():
mask_bin = np.where(
(mask == cv2.GC_FGD) | (mask == cv2.GC_PR_FGD),
255, 0
).astype(np.uint8)
res = cv2.bitwise_and(img, img, mask=mask_bin)
cv2.imshow("Result", res)
# ---------------- 鼠标回调 ----------------
def mouse_cb(event, x, y, flags, param):
global drawing, rect_start, rect, img_show, mode
# Ctrl + 左键 → 画矩形
if event == cv2.EVENT_LBUTTONDOWN and flags & cv2.EVENT_FLAG_CTRLKEY:
rect_start = (x, y)
drawing = True
elif event == cv2.EVENT_MOUSEMOVE and drawing and rect_start:
img_show = img.copy()
cv2.rectangle(img_show, rect_start, (x, y), (255, 0, 0), 2)
elif event == cv2.EVENT_LBUTTONUP and rect_start:
x0, y0 = rect_start
rect = (min(x0, x), min(y0, y), abs(x-x0), abs(y-y0))
drawing = False
rect_start = None
apply_grabcut(init=True)
# 左键 → 可能前景
elif event == cv2.EVENT_LBUTTONDOWN:
mode = cv2.GC_PR_FGD
drawing = True
# 右键 → 可能背景
elif event == cv2.EVENT_RBUTTONDOWN:
mode = cv2.GC_PR_BGD
drawing = True
elif event == cv2.EVENT_MOUSEMOVE and drawing and initialized:
cv2.circle(img_show, (x, y), BRUSH_SIZE,
(0, 255, 0) if mode == cv2.GC_PR_FGD else (0, 0, 255), -1)
cv2.circle(mask, (x, y), BRUSH_SIZE, mode, -1)
elif event in (cv2.EVENT_LBUTTONUP, cv2.EVENT_RBUTTONUP):
drawing = False
# ---------------- 主函数 ----------------
def main():
global img, img_show, mask, bgdModel, fgdModel
img = cv2.imread("lena.png")
if img is None:
print("图像读取失败")
return
img_show = img.copy()
mask = np.zeros(img.shape[:2], np.uint8)
bgdModel = np.zeros((1, 65), np.float64)
fgdModel = np.zeros((1, 65), np.float64)
cv2.namedWindow("Image")
cv2.namedWindow("Result")
cv2.setMouseCallback("Image", mouse_cb)
print("""
操作说明:
Ctrl + 左键拖动 → 矩形初始化(必须)
左键拖动 → 可能前景
右键拖动 → 可能背景
Space → 执行 GrabCut
r → 重置
Esc → 退出
""")
while True:
cv2.imshow("Image", img_show)
k = cv2.waitKey(1) & 0xFF
if k == ord(' '):
if initialized:
apply_grabcut()
elif k == ord('r'):
img_show = img.copy()
mask[:] = 0
print("已重置")
elif k == 27:
break
cv2.destroyAllWindows()
if __name__ == "__main__":
main()
结论
GrabCut 是图像分割的里程碑算法,结合了概率模型和图论,实现了高效的交互分割。在 OpenCV 中,它易于集成到更大系统中,如结合深度学习(e.g., 使用 U-Net 预分割后用 GrabCut 细化)。