系统性学习C++-第十六讲-AVL树实现
- [1. AVL的概念](#1. AVL的概念)
- [2. AVL 树的实现](#2. AVL 树的实现)
-
- [2.1 AVL 树的结构](#2.1 AVL 树的结构)
- [2.2 AVL 树的插入](#2.2 AVL 树的插入)
-
- [2.2.1 AVL 树插入一个值的大概过程](#2.2.1 AVL 树插入一个值的大概过程)
- [2.2.2 平衡因子更新](#2.2.2 平衡因子更新)
- [2.2.3 插入结点及更新平衡因子的代码实现](#2.2.3 插入结点及更新平衡因子的代码实现)
- [2.3 旋转](#2.3 旋转)
-
- [2.3.1 旋转的原则](#2.3.1 旋转的原则)
- [2.3.2 右单旋](#2.3.2 右单旋)
- [2.3.3 右单旋代码实现](#2.3.3 右单旋代码实现)
- [2.3.4 左单旋](#2.3.4 左单旋)
- [2.3.5 左单旋代码实现](#2.3.5 左单旋代码实现)
- [2.3.6 左右双旋](#2.3.6 左右双旋)
- [2.3.7 左右双旋代码实现](#2.3.7 左右双旋代码实现)
- [2.3.8 右左双旋](#2.3.8 右左双旋)
- [2.3.9 右左双旋代码实现](#2.3.9 右左双旋代码实现)
- [2.4 AVL树的查找](#2.4 AVL树的查找)
- [2.5 AVL树平衡检测](#2.5 AVL树平衡检测)
- [2.6 AVL 树的删除](#2.6 AVL 树的删除)
1. AVL的概念
-
AVL 树是最先发明的自平衡二叉查找树,AVL 是⼀颗空树,或者具备下列性质的二叉搜索树:它的左右子树都是 AVL 树,且左右子树的高度差的绝对值不超过 1 。AVL 树是⼀颗高度平衡搜索二叉树,通过控制高度差去控制平衡。
-
AVL 树得名于它的发明者 G.M.Adelson-Velsky 和 E.M.Landis 是两个前苏联的科学家,他们在 1962 年的论文《An algorithm for the organization of information》中发表了它。
-
AVL 树实现这里我们引入⼀个平衡因子 (balance factor) 的概念,每个结点都有⼀个平衡因子,任何结点的平衡因子等于右子树的高度减去左子树的高度,也就是说任何结点的平衡因子等于 0 / 1 / -1 ,AVL 树并不是必须要平衡因子,但是有了平衡因子可以更方便我们去进行观察和控制树是否平衡,就像⼀个风向标⼀样。
-
思考一下为什么 AVL 树是高度平衡搜索二叉树,要求高度差不超过 1 ,而不是高度差是 0 呢?0 不是更好的平衡吗?画画图分析我们发现,不是不想这样设计,⽽是有些情况是做不到高度差是 0 的。比如一棵树是 2 个结点,4 个结点等情况下,高度差最好就是 1 ,⽆法做到高度差是 0 。
-
AVL 树整体结点数量和分布和完全二叉树类似,高度可以控制在logN ,那么增删查改的效率也可以控制在O(logN) ,相比二叉搜索树有了本质的提升。

2. AVL 树的实现
2.1 AVL 树的结构
cpp
template<class K, class V>
struct AVLTreeNode
{
// 需要parent指针,后续更新平衡因⼦可以看到
pair<K, V> _kv;
AVLTreeNode<K, V>* _left;
AVLTreeNode<K, V>* _right;
AVLTreeNode<K, V>* _parent;
int _bf; // balance factor
AVLTreeNode(const pair<K, V>& kv)
:_kv(kv)
, _left(nullptr)
, _right(nullptr)
, _parent(nullptr)
,_bf(0)
{}
};
template<class K, class V>
class AVLTree
{
typedef AVLTreeNode<K, V> Node;
public:
//...
private:
Node* _root = nullptr;
};
2.2 AVL 树的插入
2.2.1 AVL 树插入一个值的大概过程
-
插入一个值按二叉搜索树规则进行插入。
-
新增结点以后,只会影响祖先结点的高度,也就是可能会影响部分祖先结点的平衡因子,所以更新从 新增结点 -> 根结点 路径上的平衡因子,实际中最坏情况下要更新到根,有些情况更新到中间就可以停止了,具体情况我们下面再详细分析。
-
更新平衡因子过程中没有出现问题,则插入结束
-
更新平衡因子过程中出现不平衡,对不平衡子树旋转,旋转后本质调平衡的同时,本质降低了子树的高度,不会再影响上一层,所以插入结束。
2.2.2 平衡因子更新
更新原则:
-
平衡因子 = 右子树高度 - 左子树高度
-
只有子树高度变化才会影响当前结点平衡因子。
-
插入结点,会增加高度,所以新增结点在
parent的右子树,parent的平衡因子++,新增结点在parent的左⼦树,parent平衡因子-- -
parent所在子树的高度是否变化决定了是否会继续往上更新
更新停止条件:
-
更新后
parent的平衡因子等于 0 ,更新中parent的平衡因子变化为-1 -> 0或者1 -> 0,说明更新前parent子树⼀边高⼀边低,新增的结点插入在低的那边,插入后parent所在的子树高度不变,不会影响parent的父亲结点的平衡因子,更新结束。 -
更新后
parent的平衡因子等于 1 或 -1 ,更新前更新中parent的平衡因子变化为0 -> 1或者0->-1,说明更新前parent子树两边⼀样高,新增的插入结点后,parent所在的子树⼀边高⼀边低,parent所在的子树符合平衡要求,但是高度增加了 1 ,会影响parent的父亲结点的平衡因子,所以要继续向上更新。 -
更新后
parent的平衡因子等于 2 或 -2 ,更新前更新中parent的平衡因子变化为1 -> 2或者-1 -> -2,说明更新前parent子树⼀边高⼀边低,新增的插入结点在高的那边,parent所在的子树高的那边更高了,破坏了平衡,parent所在的子树不符合平衡要求,需要旋转处理,旋转的目标有两个:-
- 把
parent子树旋转平衡。
- 把
-
- 降低
parent子树的高度,恢复到插入结点以前的高度。所以旋转后也不需要继续往上更新,插入结束。
- 降低
-
-
不断更新,更新到根,根的平衡因⼦是 1 或 -1 也停止了。
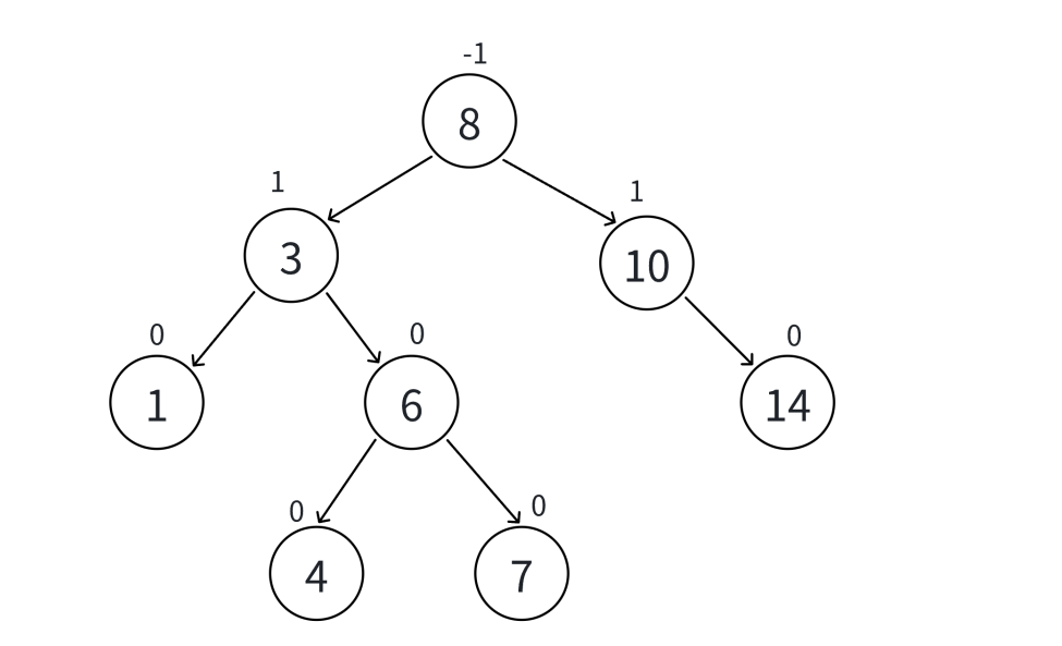
示例一:更新到 10 结点,平衡因子为 2 ,10 所在的子树已经不平衡,需要旋转处理

示例二:更新到中间结点,3 为根的子树高度不变,不会影响上一层,更新结束

示例三:最坏更新到根停止

2.2.3 插入结点及更新平衡因子的代码实现
cpp
bool Insert(const pair<K, V>& kv)
{
if (_root == nullptr)
{
_root = new Node(kv);
return true;
}
Node* parent = nullptr;
Node* cur = _root;
while (cur)
{
if (cur->_kv.first < kv.first)
{
parent = cur;
cur = cur->_right;
}
else if (cur->_kv.first > kv.first)
{
parent = cur;
cur = cur->_left;
}
else
{
return false;
}
}
cur = new Node(kv);
if (parent->_kv.first < kv.first)
{
parent->_right = cur;
}
else
{
parent->_left = cur;
}
cur->_parent = parent;
// 更新平衡因⼦
while (parent)
{
// 更新平衡因⼦
if (cur == parent->_left)
parent->_bf--;
else
parent->_bf++;
if (parent->_bf == 0)
{
// 更新结束
break;
}
else if (parent->_bf == 1 || parent->_bf == -1)
{
// 继续往上更新
cur = parent;
parent = parent->_parent;
}
else if (parent->_bf == 2 || parent->_bf == -2)
{
// 不平衡了,旋转处理
break;
}
else
{
assert(false);
}
}
return true;
}
2.3 旋转
2.3.1 旋转的原则
-
保持搜索树的规则
-
让旋转的树从不满足变平衡,其次降低旋转树的高度
旋转总共分为四种,左单旋 / 右单旋 / 左右双旋 / 右左双旋。
说明:下面的图中,有些结点我们给的是具体值,如 10 和 5 等结点,这里是为了方便讲解,实际中是什么值都可以,
只要大小关系符合搜索树的性质即可。
2.3.2 右单旋
-
本 图1 战术的是 10 为根的树,有 a / b / c 抽象为三棵高度为
h的子树(h >= 0),a / b / c 均符合 AVL 树的要求。10 可能是整棵树的根,也可能是⼀个整棵树中局部的子树的根。这里 a / b / c 是高度为 h 的子树,是⼀种概括抽象表示,他代表了所有右单旋的场景,实际右单旋形态有很多种,具体 图2 / 图3 / 图4 / 图5 进行了详细描述。 -
在 a 子树中插入⼀个新结点,导致 a 子树的高度从
h变成h + 1,不断向上更新平衡因子,导致 10 的平衡因子从 -1 变成 -2 ,10 为根的树左右高度差超过 1 ,违反平衡规则。10 为根的树左边太高了,需要往右边旋转,控制两棵树的平衡。 -
旋转核心步骤,因为 5 < b子树的值 < 10,将 b 变成 10 的左子树,10 变成 5 的右子树,5 变成这棵树新的根,符合搜索树的规则,控制了平衡,同时这棵的高度恢复到了插入之前的 h + 2 ,符合旋转原则。如果插入之前 10 整棵树的⼀个局部子树,旋转后不会再影响上一层,插入结束了。
图1:

图2:
图3:

图4:

图5:

2.3.3 右单旋代码实现
cpp
void RotateR(Node* parent)
{
Node* subL = parent->_left;
Node* subLR = subL->_right;
// 需要注意除了要修改孩⼦指针指向,还是修改⽗亲
parent->_left = subLR;
if (subLR)
subLR->_parent = parent;
Node* parentParent = parent->_parent;
subL->_right = parent;
parent->_parent = subL;
// parent有可能是整棵树的根,也可能是局部的⼦树
// 如果是整棵树的根,要修改_root
// 如果是局部的指针要跟上⼀层链接
if (parentParent == nullptr)
{
_root = subL;
subL->_parent = nullptr;
}
else
{
if (parent == parentParent->_left)
{
parentParent->_left = subL;
}
else
{
parentParent->_right = subL;
}
subL->_parent = parentParent;
}
parent->_bf = subL->_bf = 0;
}
2.3.4 左单旋
-
本 图6 展示的是 10 为根的树,有 a / b / c 抽象为三棵高度为
h的子树( h >= 0 ),a / b / c 均符合 AVL 树的要求。10 可能是整棵树的根,也可能是一个整棵树中局部的子树的根。这里 a / b / c 是高度为 h 的子树,是一种概括抽象表示,他代表了所有右单旋的场景,实际右单旋形态有很多种,具体跟上面左旋类似。 -
在
a子树中插入一个新结点,导致a子树的高度从h变成h+1,不断向上更新平衡因子,导致 10 的平衡因子从 1 变成 2 ,10 为根的树左右高度差超过 1 ,违反平衡规则。10 为根的树右边太高了,需要往左边旋转,控制两棵树的平衡。 -
旋转核心步骤,因为 10 <
b子树的值 < 15,将b变成 10 的右子树,10 变成 15 的左子树,15 变成这棵树新的根,符合搜索树的规则,控制了平衡,同时这棵的高度恢复到了插入之前的h + 2,符合旋转原则。如果插入之前 10 整棵树的⼀个局部子树,旋转后不会再影响上一层,插入结束了。
图6:

2.3.5 左单旋代码实现
cpp
void RotateL(Node* parent)
{
Node* subR = parent->_right;
Node* subRL = subR->_left;
parent->_right = subRL;
if(subRL)
subRL->_parent = parent;
Node* parentParent = parent->_parent;
subR->_left = parent;
parent->_parent = subR;
if (parentParent == nullptr)
{
_root = subR;
subR->_parent = nullptr;
}
else
{
if (parent == parentParent->_left)
{
parentParent->_left = subR;
}
else
{
parentParent->_right = subR;
}
subR->_parent = parentParent;
}
parent->_bf = subR->_bf = 0;
}
2.3.6 左右双旋
通过 图7 和 图8 可以看到,左边高时,如果插入位置不是在 a 子树,而是插入在 b 子树,b 子树高度从 h 变成 h+1 ,引发旋转,
右单旋无法解决问题,右单旋后,我们的树依旧不平衡。右单旋解决的纯粹的左边高,但是插入在 b 子树中,
10 为根的子树不再是单纯的左边高,对于 10 是左边高,但是对于 5 是右边高,需要用两次旋转才能解决,以 5 为旋转点进行⼀个左单旋,
以 10 为旋转点进行⼀个右单旋,这棵树这棵树就平衡了。
图7:

图8:

- 图7 和 图8 分别为左右双旋中
h==0和h==1具体场景分析,下⾯我们将 a / b / c 子树抽象为高度h的 AVL 子树进行分析,另外我们需要把b子树的细节进一步展开为 8 和左子树高度为h - 1的e和f子树,因为我们要对b的⽗亲 5 为旋转点进行左单旋,左单旋需要动b树中的左子树。b⼦树中新增结点的位置不同,平衡因子更新的细节也不同,通过观察 8 的平衡因子不同,这里我们要分三个场景讨论。 - 场景 1 :
h >= 1时,新增结点插入在e子树,e子树高度从h-1并为h并不断更新 8 -> 5 -> 10 平衡因子,引发旋转,其中 8 的平衡因子为 -1 ,旋转后 8 和 5 平衡因子为 0 ,10 平衡因子为 1 。 - 场景2:
h >= 1时,新增结点插入在f子树,f子树高度从h-1变为h并不断更新 8 -> 5 -> 10 平衡因子,引发旋转,其中 8 的平衡因子为 1 ,旋转后 8 和 10 平衡因⼦为 0 ,5 平衡因子为 -1 。 - 场景3:
h == 0时,a / b / c 都是空树,b自己就是⼀个新增结点,不断更新 5 -> 10 平衡因子,引发旋转,其中 8 的平衡因子为 0 ,旋转后 8 和 10 和 5 平衡因子均为 0 。

2.3.7 左右双旋代码实现
cpp
void RotateLR(Node* parent)
{
Node* subL = parent->_left;
Node* subLR = subL->_right;
int bf = subLR->_bf;
RotateL(parent->_left);
RotateR(parent);
if (bf == 0)
{
subL->_bf = 0;
subLR->_bf = 0;
parent->_bf = 0;
}
else if (bf == -1)
{
subL->_bf = 0;
subLR->_bf = 0;
parent->_bf = 1;
}
else if(bf == 1)
{
subL->_bf = -1;
subLR->_bf = 0;
parent->_bf = 0;
}
else
{
assert(false);
}
}
2.3.8 右左双旋
-
跟左右双旋类似,下⾯我们将 a / b / c 子树抽象为高度
h的 AVL 子树进行分析,另外我们需要把b子树的细节进⼀步展开为 12 和左⼦树高度为h-1的e和f子树,因为我们要对b的父亲 15 为旋转点进行右单旋,右单旋需要动b树中的右子树。b子树中新增结点的位置不同,平衡因子更新的细节也不同,通过观察 12 的平衡因子不同,这⾥我们要分三个场景讨论。 -
场景1:
h >= 1时,新增结点插入在e子树,e子树⾼度从h-1变为h并不断更新 12 -> 15 -> 10 平衡因子,引发旋转,其中 12 的平衡因子为 -1 ,旋转后 10 和 12 平衡因⼦为 0 ,15 平衡因子为 1 。 -
场景2:
h >= 1时,新增结点插入在f子树,f子树高度从h-1变为h并不断更新 12 -> 15 -> 10 平衡因子,引发旋转,其中 12 的平衡因子为 1 ,旋转后 15 和 12 平衡因⼦为 0 ,10 平衡因子为 -1 -
场景3:
h == 0时,a / b / c 都是空树,b自己就是⼀个新增结点,不断更新 15 -> 10 平衡因子,引发旋转,其中 12 的平衡因⼦为 0 ,旋转后 10 和 12 和 15 平衡因子均为 0 。

2.3.9 右左双旋代码实现
cpp
void RotateRL(Node* parent)
{
Node* subR = parent->_right;
Node* subRL = subR->_left;
int bf = subRL->_bf;
RotateR(parent->_right);
RotateL(parent);
if (bf == 0)
{
subR->_bf = 0;
subRL->_bf = 0;
parent->_bf = 0;
}
else if (bf == 1)
{
subR->_bf = 0;
subRL->_bf = 0;
parent->_bf = -1;
}
else if (bf == -1)
{
subR->_bf = 1;
subRL->_bf = 0;
parent->_bf = 0;
}
else
{
assert(false);
}
}
2.4 AVL树的查找
那⼆叉搜索树逻辑实现即可,搜索效率为 O(logN)
cpp
Node* Find(const K& key)
{
Node* cur = _root;
while (cur)
{
if (cur->_kv.first < key)
{
cur = cur->_right;
}
else if (cur->_kv.first > key)
{
cur = cur->_left;
}
else
{
return cur;
}
}
return nullptr;
}
2.5 AVL树平衡检测
我们实现的 AVL 树是否合格,我们通过检查左右子树高度差的的程序进行反向验证,同时检查一下结点的平衡因子更新是否出现了问题。
cpp
int _Height(Node* root)
{
if (root == nullptr)
return 0;
int leftHeight = _Height(root->_left);
int rightHeight = _Height(root->_right);
return leftHeight > rightHeight ? leftHeight + 1 : rightHeight + 1;
}
bool _IsBalanceTree(Node* root)
{
// 空树也是AVL树
if (nullptr == root)
return true;
// 计算pRoot结点的平衡因⼦:即pRoot左右⼦树的⾼度差
int leftHeight = _Height(root->_left);
int rightHeight = _Height(root->_right);
int diff = rightHeight - leftHeight;
// 如果计算出的平衡因⼦与pRoot的平衡因⼦不相等,或者
// pRoot平衡因⼦的绝对值超过1,则⼀定不是AVL树
if (abs(diff) >= 2)
{
cout << root->_kv.first << "⾼度差异常" << endl;
return false;
}
if (root->_bf != diff)
{
cout << root->_kv.first << "平衡因⼦异常" << endl;
return false;
}
// pRoot的左和右如果都是AVL树,则该树⼀定是AVL树
return _IsBalanceTree(root->_left) && _IsBalanceTree(root->_right);
}
// 测试代码
void TestAVLTree1()
{
AVLTree<int, int> t;
// 常规的测试⽤例
//int a[] = { 16, 3, 7, 11, 9, 26, 18, 14, 15 };
// 特殊的带有双旋场景的测试⽤例
int a[] = { 4, 2, 6, 1, 3, 5, 15, 7, 16, 14 };
for (auto e : a)
{
t.Insert({ e, e });
}
t.InOrder();
cout << t.IsBalanceTree() << endl;
}
// 插⼊⼀堆随机值,测试平衡,顺便测试⼀下⾼度和性能等
void TestAVLTree2()
{
const int N = 100000;
vector<int> v;
v.reserve(N);
srand(time(0));
for (size_t i = 0; i < N; i++)
{
v.push_back(rand()+i);
}
size_t begin2 = clock();
AVLTree<int, int> t;
for (auto e : v)
{
t.Insert(make_pair(e, e));
}
size_t end2 = clock();
cout << "Insert:" << end2 - begin2 << endl;
cout << t.IsBalanceTree() << endl;
cout << "Height:" << t.Height() << endl;
cout << "Size:" << t.Size() << endl;
size_t begin1 = clock();
// 确定在的值
/*for (auto e : v)
{
t.Find(e);
}*/
// 随机值
for (size_t i = 0; i < N; i++)
{
t.Find((rand() + i));
}
size_t end1 = clock();
cout << "Find:" << end1 - begin1 << endl;
}
2.6 AVL 树的删除
AVL 树的删除本章节不做讲解,有兴趣的同学可参考:《殷⼈昆 数据结构:⽤⾯向对象⽅法与C++语⾔描述》中讲解。