此分类用于记录吴恩达深度学习课程的学习笔记。
课程相关信息链接如下:
- 原课程视频链接:双语字幕吴恩达深度学习deeplearning.ai
- github课程资料,含课件与笔记:吴恩达深度学习教学资料
- 课程配套练习(中英)与答案:吴恩达深度学习课后习题与答案
本篇为第五课的第一周内容,1.8的内容以及一些相关基础的补充。
本周为第五课的第一周内容,与 CV 相对应的,这一课所有内容的中心只有一个:自然语言处理(Natural Language Processing,NLP) 。
应用在深度学习里,它是专门用来进行文本与序列信息建模 的模型和技术,本质上是在全连接网络与统计语言模型基础上的一次"结构化特化",也是人工智能中最贴近人类思维表达方式 的重要研究方向之一。
这一整节课同样涉及大量需要反复消化的内容,横跨机器学习、概率统计、线性代数以及语言学直觉。
语言不像图像那样"直观可见",更多是抽象符号与上下文关系的组合,因此理解门槛反而更高 。
因此,我同样会尽量补足必要的背景知识,尽可能用比喻和实例降低理解难度。
本篇的内容关于RNN 中的梯度现象,是对 RNN 中存在的问题的阐述,也是对之后的门控机制的引入内容。
1. RNN 中的梯度现象
在很久之前,我们就介绍过深度学习训练中的梯度现象,这种情况主要出现在深层神经网络中,在反向传播中随着层层的梯度计算导致梯度过大或过小,从而出现梯度爆炸或者梯度消失,导致网络无法训练。
而在 RNN 中,即使是我们演示过的单层 RNN ,也可能产生梯度现象,而且这一问题会显得更加隐蔽,却也更加严重 ,其原因就在于 RNN 的时间反向传播特性。
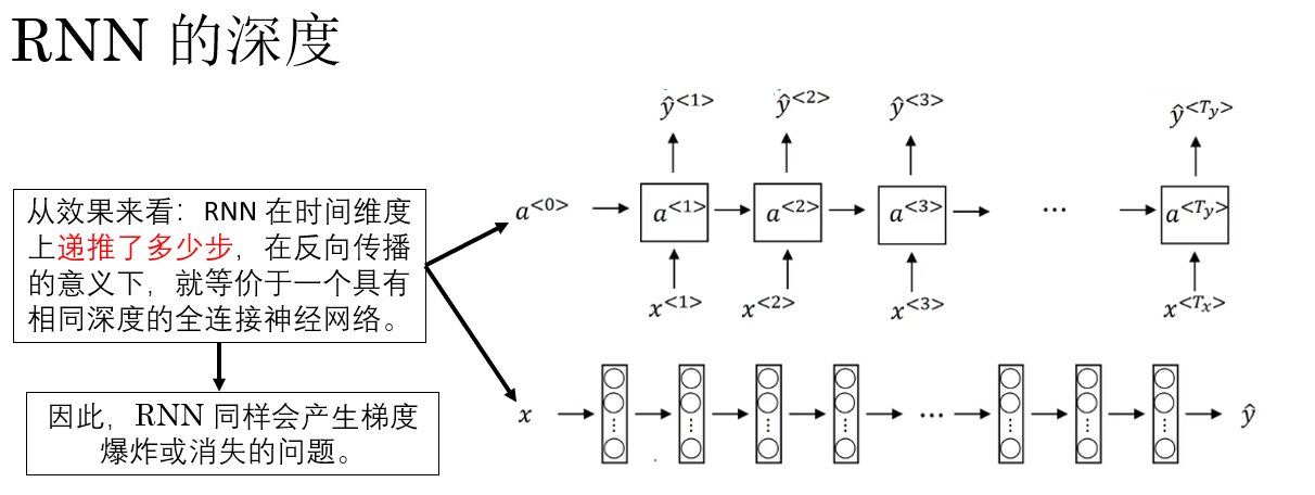
1.1 RNN 的深度
首先,我们知道:RNN 的"深度"并不体现在空间结构上,而是体现在时间维度上。
因此,虽然我们画出来的 RNN 看起来只有一层,但在训练时,RNN 会在时间维度上被"展开"为一个共享参数的深层网络 ,就像这样:

也就是说,如果序列长度为 \(T\),那么在反向传播时,梯度就需要沿着时间轴,从第 \(T\) 个时刻一路反传回第 \(1\) 个时刻。
需要说明的是,这里时间展开的长度 \(T\) 指的是 RNN 在时间维度上的递推步数 ,在我们介绍的基础 RNN 场景下,通常等同于输入序列的长度 \(T_x\),而非生成序列的长度 \(T_y\)。
最终,从效果上看,这相当于: 同一组权重矩阵被反复相乘了 \(T\) 次。
因此,在 RNN 中,我们同样有必要了解训练中出现梯度现象的处理方法。
1.2 梯度爆炸的处理:梯度裁剪(Gradient Clipping)
在 RNN 的梯度问题中,梯度爆炸通常是最先、也是最容易被观察到的现象 。
其表现非常直观:损失函数在训练过程中剧烈震荡,甚至直接变为 NaN,参数更新完全失控,模型无法继续训练。
与梯度消失不同,梯度爆炸并不是"学不到",而是 "学得太猛" 。
因此,相比梯度消失,梯度爆炸问题更容易被控制和缓解。这很好理解:东西多了我们可以扔,但少了我们不能凭空创造出来。
而其中一种最常见、也最直接的方法,就是梯度裁剪(Gradient Clipping)。
梯度裁剪的思想非常简单,可以概括为一句话:
当梯度过大时,不让它继续放大更新幅度。
也就是说,我们并不试图改变梯度的"方向",而只是限制梯度的"大小",从而避免一次参数更新步长过大,破坏训练稳定性。
再打个比方:在下坡骑车时,我们的方向是对的,但速度太快容易摔,所以我们通过"刹车"来控制风险。
梯度裁剪,本质上就是反向传播阶段的"数值刹车"。
在实际使用中,最常见的是基于梯度范数(norm)的裁剪方式 。
设所有参数的梯度拼接成一个向量 \(g\),其 \(L_2\) 范数为:
\\\lVert g \\rVert_=\\sqrt{g_1\^2 + g_2\^2 + \\cdots + g_n\^2} \\
我们用 \(L_2\) 范数 衡量梯度的整体大小 ,它反映的是这一次反向传播中,参数更新"总体有多激进"。
下一步,给定一个阈值 \(c\),梯度裁剪的规则是:
\g = \\begin{cases} g, \& \\lVert g \\rVert \\le c \\\\ \\dfrac{c}{\\lVert g \\rVert} \\, g, \& \\lVert g \\rVert \> c \\end{cases} \\
也就是说:
- 如果梯度范数在可接受范围内:不做任何处理。
- 如果梯度范数超过阈值:整体缩放,使其范数恰好等于 \(c\)。
这样操作下来,你会发现:梯度裁剪并不会改变梯度各分量之间的相对比例,只是统一缩放其大小到合适程度。
这样,在反向传播中,梯度裁剪就会阻断"指数级放大"的最坏情况 , 保证参数更新始终处在一个稳定区间,从而让训练过程"至少可以继续进行下去"。

要强调的是:在实际训练中时,梯度裁剪几乎是默认配置,而不是可选技巧。
但是,梯度裁剪也有其局限性:梯度裁剪只能缓解梯度爆炸,无法解决梯度消失。
原因很简单:
- 梯度爆炸是"数值过大"的问题 → 可以强行压缩
- 梯度消失是"信号本身接近于 0" → 裁剪无能为力
因此,对于梯度消失这一更常见也更难缓解的梯度现象,我们需要别的解决方案,这也是我们下面要讨论的主要内容。
2. RNN 中的梯度消失:长距离依赖问题
我们知道,RNN 擅长处理序列数据,并能够逐步积累历史信息。然而,在长序列训练中,梯度消失会让早期时间步的影响被逐渐"抹掉",这就导致了著名的 长距离依赖问题 :模型难以捕捉序列中相隔较远的信息。
我们用之前的反向传播例子来演示一下这个问题:

注意我们标红的字体:当序列过长时,与结尾距离很远的最初几步信息很难实现有效更新。因此梯度已经在层层连乘中所剩无几了。
这样带来的后果是什么?来看看:

这就是 RNN 中的梯度消失现象,它直接导致 RNN 难以捕捉序列中相隔较远的依赖关系,显然,这对模型性能的影响是巨大的。
那么如何缓解 RNN 中的梯度消失现象?
你可能想到了我们之前介绍过的残差网络,即通过在 RNN 中引入残差连接 ,为梯度提供了一条直接传递的通路,可以在一定程度上缓解梯度消失问题,使深层或长序列的训练更加稳定。这的确是一种可行的改进方案。但残差路径虽然提供了梯度直通通道,但无法进行信息选择性控制 ,对于非常长序列仍然存在梯度衰减。
因此,在 RNN 中,我们有一种更好的技术:门控机制 ,这是在实际实验和部署中我们更常使用的方法,它不仅能保持梯度稳定传递,还能智能控制信息流。
其原理较为复杂,我们经过本篇的引用,在下一篇来详细展开它。
3. 总结
| 概念 | 原理 | 比喻 |
|---|---|---|
| 梯度现象(Gradient Phenomena) | 在深层网络或 RNN 的反向传播中,梯度可能过大或过小,导致训练不稳定,即梯度爆炸或梯度消失 | 就像水流管道,如果水压过大管道爆裂,水压过小又无法输送水 |
| RNN 的"深度" | RNN 在时间维度上展开为共享参数的深层网络,梯度需要沿时间轴反向传播,连续乘以权重矩阵 \(T\) 次 | 好比一个接力赛,每一棒都必须传递能量,接力棒越多,总能量损耗越大 |
| 梯度裁剪(Gradient Clipping) | 当梯度范数超过阈值 \(c\) 时,对梯度整体缩放,使其范数等于 \(c\);不改变梯度方向,只调整大小 | 就像给过快下坡的车装刹车,保持安全速度 |
| RNN 的长距离依赖问题 | 梯度在层层连乘或长序列反向传播中逐渐趋近 0,早期时间步的影响被"抹掉",导致长距离依赖难以学习 | 像传话游戏,信息经过太多人,最开始的话慢慢被模糊甚至忘掉 |