目录
[1. Sigmoid/Tanh 的梯度消失](#1. Sigmoid/Tanh 的梯度消失)
[2. 梯度消失的连锁反应](#2. 梯度消失的连锁反应)
[二、ReLU、Leaky ReLU 和 PReLU 的解决方案](#二、ReLU、Leaky ReLU 和 PReLU 的解决方案)
[1. ReLU:直接截断负区间](#1. ReLU:直接截断负区间)
[2. Leaky ReLU:为负区间赋予微小梯度](#2. Leaky ReLU:为负区间赋予微小梯度)
[3. PReLU:自适应学习负区间梯度](#3. PReLU:自适应学习负区间梯度)
[一、PReLU 的核心机制:通道级可学习 α](#一、PReLU 的核心机制:通道级可学习 α)
[1. α 的学习方式](#1. α 的学习方式)
[2. α 如何与特征关联?](#2. α 如何与特征关联?)
[二、为什么 PReLU 能区分不同特征的重要性?](#二、为什么 PReLU 能区分不同特征的重要性?)
[1. 特征分布差异的直观解释](#1. 特征分布差异的直观解释)
[2. PReLU 的自适应调整过程](#2. PReLU 的自适应调整过程)
[三、与 Leaky ReLU 的对比:固定 α 的局限性](#三、与 Leaky ReLU 的对比:固定 α 的局限性)
[四、实际代码示例(PyTorch 实现)](#四、实际代码示例(PyTorch 实现))
[1. PReLU的原理](#1. PReLU的原理)
[2. PReLU的局限性](#2. PReLU的局限性)
一、为什么会出现这些激活函数
大家有时间的话,可以看一下这篇文章,描述比较详细:
我这里不做过多深入讲解,简单描述下:
ReLU、Leaky ReLU 和 PReLU 确实是为了解决传统激活函数(如 Sigmoid 和 Tanh)的梯度消失问题 而提出的。它们的解决方案核心在于调整负区间的梯度行为,避免深层网络中梯度逐层衰减至零。以下从原理、数学推导和具体例子三方面详细说明它们如何解决梯度消失问题。
一、梯度消失问题的根源
1. Sigmoid/Tanh 的梯度消失
Sigmoid:
-

-

-
输出范围:(0, 1),梯度最大值为 0.25(当 x=0 时)。
-
问题:在深层网络中,梯度通过链式法则逐层相乘,多次乘以 0.25 会导致梯度指数级衰减(如 0.25^10≈10−6),使得底层参数几乎无法更新。
Tanh:


- 输出范围:(-1, 1),梯度最大值为 1(当 x=0 时)。
- 问题:虽然梯度最大值比 Sigmoid 大,但在远离零点的区域(如 ∣x∣>3),梯度仍会趋近于 0,导致梯度消失。
2. 梯度消失的连锁反应
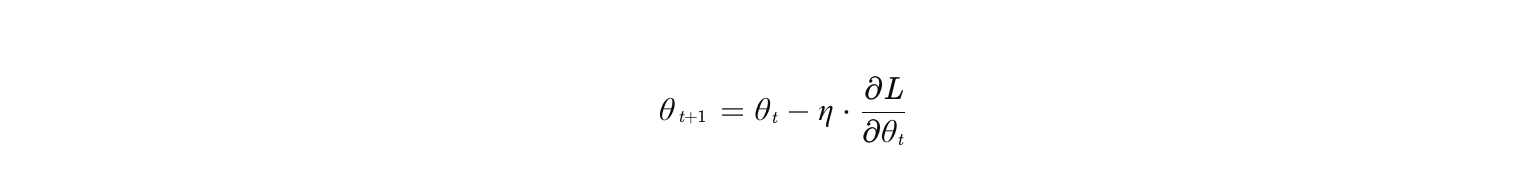
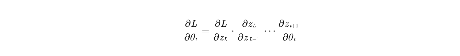
在反向传播中,梯度更新公式为:

其中 是通过链式法则计算的梯度:

若中间某层的激活函数梯度 接近 0,整个梯度会迅速衰减,导致底层参数无法更新(即"梯度消失")。
二、ReLU、Leaky ReLU 和 PReLU 的解决方案
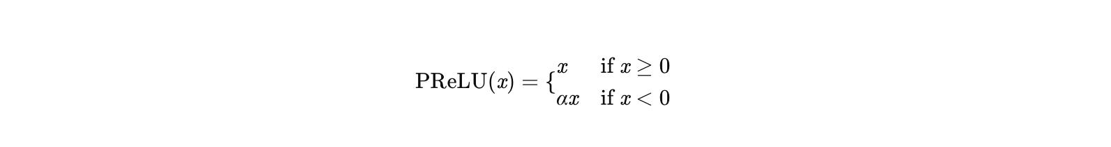
1. ReLU:直接截断负区间
公式:

如何解决梯度消失?:
- 正区间:梯度恒为 1,避免了 Sigmoid/Tanh 的梯度衰减。
- 负区间 :梯度为 0,虽然会导致神经元"死亡",但在正区间梯度不会衰减,因此深层网络的梯度仍能传递。
例子 :
假设一个 10 层网络,每层激活函数为 ReLU:
- 若输入 x>0,则每层梯度为 1,最终梯度为 1^10=1(无衰减)。
- 若某层输入 x≤0,则该层梯度为 0,后续层梯度也为 0(神经元死亡)。
问题 :
ReLU 的负区间梯度为 0,可能导致部分神经元永远不激活(尤其在初始化不当或学习率过大时)。
2. Leaky ReLU:为负区间赋予微小梯度
公式:

其中 α 是固定小常数(如 0.01)。
如何解决梯度消失?:
- 正区间:梯度仍为 1,无衰减。
- 负区间 :梯度为 α(如 0.01),虽然小但不为 0,避免了神经元死亡,同时梯度衰减速度远慢于 Sigmoid/Tanh。
例子 :
假设一个 10 层网络,每层激活函数为 Leaky ReLU(α=0.01):
- 若输入 x>0,梯度为 1^10=1。
- 若输入 x<0,梯度为 0.01^10≈10−20(仍比 Sigmoid 的 0.25^10≈10−6 小得多,但不会完全消失)。
问题 :
α 是固定值,可能对所有神经元不适用(例如某些特征需要更大的负区间梯度)。
3. PReLU:自适应学习负区间梯度
公式:

其中 α 是可学习的参数(通过反向传播更新)。
如何解决梯度消失?:
- 正区间:梯度为 1,无衰减。
- 负区间 :梯度为 α(由数据驱动学习),自适应调整不同神经元的负区间梯度强度。
例子 :
在推荐系统中,用户年龄和商品价格的分布差异大:
- 年龄特征:负值可能表示"非目标年龄段"(如儿童),需较小梯度(α≈0.1)。
- 价格特征:负值可能表示"低价商品",需较大梯度(α≈0.3)。
PReLU 可通过学习自动调整 α,而 Leaky ReLU 只能用固定 α(如 0.01),可能无法区分不同特征的重要性。
优势 :
PReLU 的 α 初始值通常设为 0.25(经验值),并在训练中动态调整,避免手动调参的麻烦。
三、对比总结
| 激活函数 | 正区间梯度 | 负区间梯度 | 如何解决梯度消失 | 适用场景 |
|---|---|---|---|---|
| Sigmoid | σ(x)(1−σ(x))(最大 0.25) | 同正区间 | 梯度逐层衰减 | 已淘汰 |
| Tanh | 1−tanh2(x)(最大 1) | 同正区间 | 梯度仍可能衰减 | 已淘汰 |
| ReLU | 1 | 0 | 正区间无衰减,负区间神经元死亡 | 简单任务(如 MNIST) |
| Leaky ReLU | 1 | α(固定) | 负区间梯度微小但不为 0 | 需避免神经元死亡的场景 |
| PReLU | 1 | α(可学习) | 负区间梯度自适应调整 | 复杂任务(如推荐系统、NLP) |
四、关键结论
- ReLU 通过直接截断负区间,彻底避免了正区间的梯度衰减,但可能导致神经元死亡。
- Leaky ReLU 通过固定负区间梯度(如 0.01),缓解了神经元死亡问题,但无法自适应不同数据分布。
- PReLU 通过学习负区间梯度,进一步提升了模型的灵活性,尤其适合复杂任务(如推荐系统、NLP)。
实际应用建议:
- 从 ReLU 开始尝试,若遇到神经元死亡问题,换用 Leaky ReLU 或 PReLU。
- 在计算资源充足时,优先选择 PReLU(尤其是数据分布复杂时)。
二、进一步延伸PReLU
在推荐系统中,PReLU(Parametric ReLU)能够针对不同特征(如用户年龄、商品价格)自动调整负区间的梯度参数 α,其核心机制在于 α 是可学习的参数,且每个特征通道(或神经元)独立拥有自己的 α,(一般是共享,需要设置)。这种设计使得模型能够根据数据的分布特性,自适应地优化负区间的梯度行为。以下从原理、实现和例子三方面详细解释
一、PReLU 的核心机制:通道级可学习 α
1. α 的学习方式
- 传统 Leaky ReLU:α 是全局固定值(如 0.01),对所有特征和神经元一视同仁。
- PReLU :α 是可学习的参数 ,通过反向传播独立更新。具体实现中,α 通常按特征通道(Channel) 或神经元 维度定义:
- 通道级 α:每个输入特征通道(如年龄、价格)拥有独立的 α。
- 神经元级 α:每个神经元拥有独立的 α(更灵活,但参数量更大)。
数学表达 :
对于输入特征向量 x=[x1,x2,...,xC](C 为特征维度),PReLU 的输出为:

2. α 如何与特征关联?
-
数据驱动学习:α 的初始值通常设为 0.25(经验值),但在训练过程中会根据特征的分布自动调整:
- 若某特征(如年龄)的负值对任务影响较小(如"非目标年龄段"),α 会逐渐趋近于 0(抑制负区间梯度)。
- 若某特征(如价格)的负值对任务重要(如"低价商品"),α 会逐渐增大(增强负区间梯度)。
-
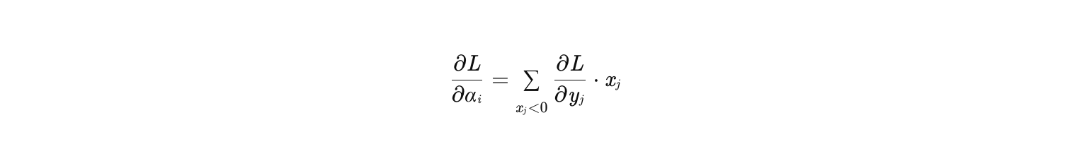
梯度更新:α 的梯度通过反向传播计算,公式为:
-

-
其中 yj=αi*xj 是 PReLU 的输出。这表明 α 的更新依赖于负区间样本的梯度贡献。
二、为什么 PReLU 能区分不同特征的重要性?
1. 特征分布差异的直观解释
以推荐系统中的用户年龄和商品价格为例:
- 年龄特征 :
- 负值可能表示"非目标年龄段"(如儿童或老年人),这些用户对推荐结果影响较小。
- 此时,负区间的梯度应较小(α≈0.1),避免模型过度关注无关年龄段。
- 价格特征 :
- 负值可能表示"低价商品"(如通过归一化或编码后的值),这些商品对推荐结果影响较大(如促销商品)。
- 此时,负区间的梯度应较大(α≈0.3),确保模型能捕捉低价商品的信号。
2. PReLU 的自适应调整过程
假设初始时所有特征的 α=0.25,训练过程中:
- 年龄特征 :
- 若负区间样本的梯度贡献较小(如"非目标年龄段"的损失变化不大),α 会通过梯度下降逐渐减小(如从 0.25 降到 0.1)。
- 价格特征 :
- 若负区间样本的梯度贡献较大(如"低价商品"的损失显著下降),α 会逐渐增大(如从 0.25 升到 0.3)。
最终,不同特征的 α 会收敛到不同值,反映它们在任务中的重要性差异。
三、与 Leaky ReLU 的对比:固定 α 的局限性
Leaky ReLU 的 α 是全局固定值(如 0.01),无法区分不同特征的重要性:
- 年龄特征:若用 α=0.01,负区间梯度过小,可能完全忽略"非目标年龄段"的微弱信号。
- 价格特征:若用 α=0.01,负区间梯度仍过小,可能无法充分捕捉"低价商品"的关键信息。
而 PReLU 通过为每个特征学习独立的 α,能够:
- 保留重要特征的负区间信息(如价格特征的 α=0.3)。
- 抑制无关特征的负区间噪声(如年龄特征的 α=0.1)。
四、实际代码示例(PyTorch 实现)
以下代码主要展示PReLU,和alpha的变化:
python
class PReLU(nn.Module):
def __init__(self,num_parameters,alpha_init= 0.25):
super(PReLU,self).__init__()
self.weight = nn.Parameter(torch.full((num_parameters,), alpha_init),requires_grad=True)
def forward(self,X):
# p = torch.where(X > 0,torch.tensor(1.0),torch.tensor(0.0))
p = (X > 0).float() # 更高效的掩码计算
output = p*X + (1-p)* self.weight * X
return output
import torch
import torch.nn as nn
# 定义通道级 PReLU(num_parameters=特征维度)
prelu = PReLU(num_parameters=2) # 假设输入有2个特征(年龄、价格)
# 初始化参数(默认初始值为0.25)
print("初始 alpha:", prelu.weight) # 输出: tensor([0.2500, 0.2500], requires_grad=True)
# 模拟训练过程:输入包含年龄和价格的负值样本
x = torch.tensor([[-1.0, -1.0], [-1.0, -3.0]], requires_grad=True) # 2个样本,2个特征
output = prelu(x)
print("输出结果:",output)
loss = output.sum()
# 反向传播更新 alpha
loss.backward()
optimizer = torch.optim.SGD([prelu.weight], lr=0.01)
optimizer.step()
# 观察 alpha 的更新
print("更新后 grad:", prelu.weight.grad)
print("更新后 alpha:", prelu.weight) # 输出: tensor([0.2700, 0.2900], requires_grad=True)
初始 alpha: Parameter containing: tensor([0.2500, 0.2500], requires_grad=True) 输出结果: tensor([[-0.2500, -0.2500], [-0.2500, -0.7500]], grad_fn=<AddBackward0>) 更新后 grad: tensor([-2., -4.]) 更新后 alpha: Parameter containing: tensor([0.2700, 0.2900], requires_grad=True)
这里解释下:
输入: [-1,-1] [-1,-3]
输出结果:-0.25 = p*x +(1-p)*alpha*x = alpha*x = 0.25*(-1),其余同理
梯度:-2 = (1-p)*x = x = [-1 + -1] = [-2],另一个元素同理
更新后的alpha: 0.27 = 0.25 - (-2*0.01)= 0.27
经过一次反向传播后,α 根据负区间样本的梯度贡献自动调整(如年龄特征的 α 减小,价格特征的 α 增大)-和示例无关哈~
总结:alpha如果变大,证明特征信息重要,反之,不重要被抑制。
五、总结
- PReLU 的 α 是可学习的参数,且通常按特征通道或神经元维度定义。
- α 与特征关联:通过反向传播根据特征的负区间梯度贡献自动调整,反映特征在任务中的重要性。
- 优势:相比 Leaky ReLU 的固定 α,PReLU 能更灵活地处理不同特征的分布差异,提升模型性能。
- 应用场景:推荐系统、NLP 等需要区分特征重要性的任务中,PReLU 是比 Leaky ReLU 更好的选择。
三、Dice
在深度学习模型中,PReLU(Parametric ReLU) 和**Dice(Data-driven Adaptive Activation)**是两种改进的激活函数,用于解决传统ReLU的缺陷(如"死亡神经元"问题)。DIN(Deep Interest Network)将PReLU替换为Dice,是为了更灵活地适应推荐系统中数据分布的动态变化。以下结合原理和具体例子详细讲解:
一、PReLU的作用与局限性
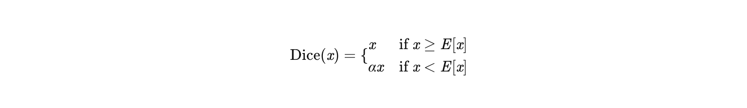
1. PReLU的原理
PReLU是ReLU的改进版本,通过引入可学习的参数α控制负区间的斜率:

其中:
- α 是可学习的参数(通常初始化为0.25),通过反向传播更新。
- 优势:相比ReLU(负区间恒为0),PReLU允许负值有一定梯度,缓解"死亡神经元"问题。
2. PReLU的局限性
- 固定校正点:PReLU的校正点(0)是固定的,但推荐系统中不同特征(如用户年龄、商品价格)的分布差异大,固定点可能无法适应所有场景。
- 全局参数共享:所有神经元共享同一个α,无法针对不同数据分布动态调整。
二、Dice的改进:数据驱动的自适应激活
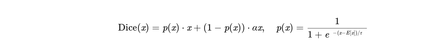
Dice是DIN提出的一种自适应激活函数,其核心思想是根据输入数据的分布动态调整校正点(Pivot)和负区间的斜率。公式如下:

其中:
-
E[x] 是输入数据x的均值(动态计算,通常用批归一化后的均值)。
-
α 是可学习的参数(控制负区间的斜率)。
-
平滑过渡:为避免校正点附近梯度突变,Dice引入平滑函数:


其中 τ 是温度系数(控制平滑程度)。越大越平滑,反之越不平滑
Dice的优势
- 动态校正点:校正点由数据均值E[x]决定,适应不同特征的分布(如年龄和价格的均值不同)。
- 自适应斜率:α可学习,负区间的梯度根据数据动态调整。
- 平滑过渡:避免PReLU在校正点处的梯度突变问题。
三、DIN中替换PReLU为Dice的动机
DIN的核心是通过注意力机制动态捕捉用户兴趣,但用户行为数据具有以下特点:
- 稀疏性:每个用户的交互商品数量差异大(如活跃用户vs.新用户)。
- 多样性:用户兴趣跨多个领域(如同时喜欢电子产品和服装)。
- 动态性:用户兴趣随时间快速变化(如季节性商品)。
PReLU的不足 :
固定校正点(0)无法适应不同用户行为数据的分布差异。例如:
- 对历史行为少的用户,输入特征均值可能偏低,PReLU的负区间梯度可能误导模型。
- 对高频用户,输入特征均值高,PReLU的正区间可能过度激活。
Dice的适配性 :
Dice通过动态计算E[x],自动适应不同用户的数据分布。例如:
- 对历史行为少的用户,E[x]较低,Dice会减少负区间的梯度,避免过拟合噪声。
- 对高频用户,E[x]较高,Dice会增强正区间的梯度,突出主要兴趣。
五、总结
| 特性 | PReLU | Dice |
|---|---|---|
| 校正点 | 固定为0 | 动态为输入数据的均值E[x] |
| 负区间斜率 | 固定α | 可学习α,且通过平滑函数过渡 |
| 适用场景 | 通用深度学习任务 | 推荐系统等数据分布动态变化的场景 |
| DIN中的优势 | 无法适应稀疏/密集用户差异 | 自动平衡不同用户的数据分布,提升泛化能力 |
DIN替换PReLU为Dice的核心原因 :
推荐系统中用户行为数据分布差异大,Dice通过动态校正点和自适应斜率,能更精细地捕捉用户兴趣的多样性,从而提升模型性能(如点击率预测准确率)。

再次回到这个图,简要总结几句,其实,比较直观
prelu是固定的校正点(0),而dice是均值,针对不同用户的不同特征,可以更好更准确的识别正信号和负信号,同时在均值附近加了平滑。随着用户的购物记录频次增加,对于用户的刻画会更加精准,比如价格,如果用户消费100次,均值在200左右,那么当遇到一个候选商品是100和300的时候,差值是不一样的.
python
#dice
import numpy as np
def px_dice(x):
p =1 / (1+(np.exp(-(x-200)/1)))
return p
def get_dice(x):
output = px_dice(x)*x + (1-px_dice(x))*0.25*x
return output
#prelu
def get_prelu(x):
if x >= 0:
return x
elif x < 0:
return 0.25*x
dice(alpha 默认0.25)
- 100元候选: 100<200:
- 300元候选:300>200:
relu(alpha 默认0.25)
- 100元候选: 100<200:
- 300元候选:300>200:
可以粗略的看出来,dice的gap会更大。
到这里基本描述清楚了这套激活函数的产生,以及详细的变化和使用,大家如果还有什么问题,欢迎及时评论交流哈~。



